Mixed Graphs Test 3

Welcome to your Mixed Graphs Test 3

Question No. 1

Directions For Questions

Study the following table carefully to answer the questions that follow:

Year A B C D E
2009 2.5 5.2 1.6 0.6 4.2
2010 3.7 6.1 1.9 1.8 5.1
2011 2.9 6.9 2.4 1.2 3.7
2012 5.4 7.2 2.8 2.7 5.2
2013 4.2 6.4 1.5 5.4 4.4
2014 5.6 8.4 3.5 3.6 6.3

Total number of Engineering passed from university E in the years 20

Question No. 2

Directions For Questions

Study the following table carefully to answer the questions that follow:

Year A B C D E
2009 2.5 5.2 1.6 0.6 4.2
2010 3.7 6.1 1.9 1.8 5.1
2011 2.9 6.9 2.4 1.2 3.7
2012 5.4 7.2 2.8 2.7 5.2
2013 4.2 6.4 1.5 5.4 4.4
2014 5.6 8.4 3.5 3.6 6.3

What was the average number of Engineering passed togeth

Question No. 3

Directions For Questions

Study the following table carefully to answer the questions that follow:

Year A B C D E
2009 2.5 5.2 1.6 0.6 4.2
2010 3.7 6.1 1.9 1.8 5.1
2011 2.9 6.9 2.4 1.2 3.7
2012 5.4 7.2 2.8 2.7 5.2
2013 4.2 6.4 1.5 5.4 4.4
2014 5.6 8.4 3.5 3.6 6.3

In which university the number of the Engi

Question No. 4

Directions For Questions

Following chart showing the marks of three student in 6 subjects of class VIII.

Vishal got how many percentage point more than P

Question No. 5

Directions For Questions

Following chart showing the marks of three student in 6 subjects of class VIII.

Find the average marks

Question No. 6

Directions For Questions

Following chart showing the marks of three student in 6 subjects of class VIII.

Vishal got what percentage more marks in Math’s, Science and social

Question No. 7

Directions For Questions

Following chart showing the marks of three student in 6 subjects of class VIII.

Find the ratio of marks obtain in mathematics

Question No. 8

Directions For Questions

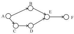
Direction: The following sketch show the pipeline carrying material from one location to another. Each location has a demand for material. The demand at location B is 500, at location E is also 500, at location F is 700, at location C is 300 and at location D is 200. Each arrow indicates the direction of material flow through the pipeline. The flow from B to E is 400. The quantity of material flow is such that the demands at all these location are exactly net the capacity of each pipeline is 1500.

Location A is responsible for supply the material.

The quantity of material moved to

Question No. 9

Directions For Questions

Direction: The following sketch show the pipeline carrying material from one location to another. Each location has a demand for material. The demand at location B is 500, at location E is also 500, at location F is 700, at location C is 300 and at location D is 200. Each arrow indicates the direction of material flow through the pipeline. The flow from B to E is 400. The quantity of material flow is such that the demands at all these location are exactly net the capacity of each pipeline is 1500.

Location A is responsible for supply the material.

What is the free capacity available in A to C pipe

Question No. 10

Directions For Questions

Direction: The following sketch show the pipeline carrying material from one location to another. Each location has a demand for material. The demand at location B is 500, at location E is also 500, at location F is 700, at location C is 300 and at location D is 200. Each arrow indicates the direction of material flow through the pipeline. The flow from B to E is 400. The quantity of material flow is such that the demands at all these location are exactly net the capacity of each pipeline is 1500.

Location A is responsible for supply the material.

The free capacity available at A to B pipel

Leave a Comment