Quadratic & Other Test 1

Welcome to your Quadratic & Other Test 1

Question No.1

1.


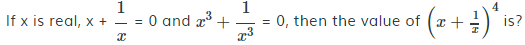
Question No.2

2.

Question No.3

 In each question two equations numbered I and II are given. You have to solve both the equations and mark the appropriate option.

I. 28x2 − 79x + 55 = 0 

II. 72y− 91y + 24 = 0


Question No.4

At a shop, the price of rice per kg is Rs.15 less than the price of wheat per kg, while the price of black gram is Rs.10 more than the price of wheat per kg. A customer bought six kg each of rice, wheat and black gram for Rs.780. What is the price of two kg of rice and three kg of the black gram? 

Question No.5

 If the equations x2 - px + q = 0 and x2 + qx - p = 0 have a common root, then which one of the following will hold true?

Question No.6

If x2 - y2 = 80 and x - y = 8, then the average of x and y is?

Question No.7

7.

Question No.8

 Two number x and y (x > y) are such that their sum is equal to three times their difference. Then value of  will be?

Question No.9

If a and b be positive integers such that a2 - b2 = 19, then the value of a is?

Question No.10

 

Leave a Comment