1. Which of the following Article/Articles cannot be suspended even during emergency?
A. Article 19
B. Article 20 and 21
C. Article 22 and 23
D. Article 24 and 25
Solutions
Article 20 gives protection in respect of conviction for offences. Article 21 gives Right to life, personal liberty and Right to die with dignity (passive euthanasia). Both the articles cannot be suspended even during emergency.
2. Which of these phenomena of light is responsible for the working of the human eye?
A. Reflection
B. Refraction
C. Power of accommodation
D. Persistence of vision
Solutions
The phenomena of light are responsible for the working of the human eye is Refraction.
3. Which of the following Pala Kings established Vikramshila university?
A. Gopala
B. Dharmapala
C. Devapala
D. Devapala 2
Solutions
Dharmapala, the second ruler of Pala dynasty was a pious Buddhist King and is best known for establishing the Vikramshila University. The Vikram Shila University is located at Kahalgaon near Bhagalpur in Bihar. Dharampala had also built a Vihara at Somapu
4. Who among the following was the first president of Constituent Assembly of India?
A. Dr. Sachchidananda Sinha
B. Dr. Rajendra Prasad
C. Professor Harendra Coomar Mookerjee
D. Dr. B R Ambedkar
Solutions
Dr. Sacchidananda Sinha was the first president (temporary chairman) of the Constituent Assembly when it met on December 9, 1946. Dr. Rajendra Prasad then became the President of the Constituent Assembly, and would later become the first President of India.
5. Glucose has ________ carbon molecules.
A. six
B. eight
C. five
D. ten
Solutions
Glucose has six carbon molecules.
6.“Central Bureau of Intelligence and Investigation” is listed in the _______ list given in the Seventh Schedule in the Constitution of India.
A. Union
B. State
C. Global
D. Concurrent
Solutions
CBI is listed in Union list in 7th Schedule of the Constitution. CBI is premier investigating agency which is autonomous and probe the cases of irregularities, corruption scandals etc. and others as recommended by central and state government.
7. What does tooth enamel made up of?
A. calcium phosphate
B. calcium carbon
C. calcium oxide
D. potassium
Solutions
Tooth Enamel is made up of the mineral calcium phosphate, arranged in a crystal structure called hydroxyapatite. Tooth enamel is mainly made of the mineral hydroxyapatite which comprises calcium phosphate, calcium carbonate, calcium fluoride, calcium hydroxide, and citrate.
8. What is the maximum strength of Rajya Sabha ?
A. 232
B. 250
C. 245
D. 240
Solutions
Rajya Sabha is the upper house of parliament which represents the states and union territories. Its membership is fixed to maximum 250 members of which 238 are elected by the representatives of states and union territories while 12 members are nominated by President on account of their excellence in literature, science, art or social service. The present strength of the Rajya Sabha is 245, of whom 233 are representatives of the States/Union Territories and 12 are nominated by the President.
9. What is haemoglobin?
A. A substance found in the leave of plant.
B. substance found in bone maroons.
C. substance found in human blood.
D. secretion from the pituitary gland
Solutions
Haemoglobin (Hb) is a type of globular protein present in red blood cells (RBCs), which transports oxygen in our body through blood.
10. The transfer of pollen grains from the anther to stigma is called?
A. Pollination
B. Diffusion
C. Adoption
D. Fertilization
Solutions
The transfer of pollen grains from the anther to stigma of a flower is called Pollination.
11. Magma which is forced onto Earth’s surface is known as
A. Lava
B. Vent
C. Cone
D. None of the above
Solutions
Magma, when comes out on the surface of the earth through the volcanic opening, is called lava.
12. Which one among the following is the unit raised to protect the naval assets?
A. Sagar Nigrani Bal
B. Sagar Prahari Bal
C. Sagar Suraksha Bal
D. Sagar Rakshak Bal
Solutions
Sagar Prahari Bal is the unit raised to protect naval assets. It is a unit of the Indian navy created in 2009.
13. Indira Gandhi super thermal power project, is located in which of the following state?
A. Uttarakhand
B. Haryana
C. Punjab
D. Uttar Pradesh
Solutions
Indira Gandhi Super Thermal Power Project is located in Jhajjar district of Haryana.
14. Who founded the Rashtrakutas Kingdom?
A. Krishna I
B. Amoghavarsha I
C. Dantidurga
D. Dhruva
Solutions
Dantdurga was a Feudatory of Kirtivarman II. He ruled from c?733 to 756 CE. Dantidurga ascended the throne in c. 733 CE, when he takes control of the northern regions of the Chalukyas Empire.
15. With which sport is Lionel Messi associated?
A. Chess
B. Football
C. Cricket
D. Shooting
Solutions
Lionel Messi also known as Leo Messi, is an Argentine professional footballer who plays as a forward for Ligue 1 club Paris Saint-Germain and captains the Argentina national team.
16. Which of the following was regarded as the God of the Shudras?
A. Rudra
B. Vishnu
C. Pushan
D. Indra
Solutions
During the Later Vedic period, the Pushan, who was supposed to look after cattle, came to be regarded as the Shudras’ God. Other gods of the Later Vedic period included Vishnu (conceived as the preserver and protector of people) and Rudra (the God of animals).
17. Which one of the following is not related to nuclear proliferation?
A. CEATO
B. NATO
C. CTBT
D. NPT
Solutions
All NATO Allies are States Parties to the Nuclear Non-Proliferation Treaty (NPT), which entered into force in 1970. The NPT is the cornerstone of international efforts to prevent the spread of nuclear weapons and weapons technology, and to achieve the goal of nuclear disarmament.
18. Which among the following deserts is located in South America?
A. Sonoran Desert
B. Gibson Desert
C. Atacama Desert
D. Sahara desert
Solutions
The Atacama Desert is a desert in Chile. It is a desert plateau in South America covering a 1,600 km strip of land on the Pacific coast, west of the Andes Mountains.
19. What is the terrestrial part of the Biosphere called?
A. Ecosystem
B. Ecotone
C. Biome
D. Ecotype
Solutions
A natural ecosystem is an assemblage of plants and animals which functions as a unit and is capable of maintaining its identity. There are two main categories of ecosystems: (1) Terrestrial ecosystem or Biomes and
(2) Aquatic ecosystem.
The terrestrial part of the biosphere is divisible into enormous regions called biomes.
20. Which is the capital of Denmark?
A. San Jose
B. Addis Ababa
C. Copenhagen
D. Brussels
Solutions
The capital of Denmark, Copenhagen City is composed of a major seaport and is the main commercial centre of the country. The greater part of Copenhagen lies on the eastern coast of Sjaelland Island and the smaller part, called Christianshavn, is on the Amager Island.
21. Which among the following Union Territory of India has largest Area?
A. Delhi
B. Andaman & Nicobar Islands
C. Dadra & Nagar Haveli
D. Ladakh
Solutions
With 59,146 km² area, Ladakh is the largest Union Territory of India, followed by Jammu & Kashmir (42,241 Km²). India’s third largest Union Territory is Andaman and Nicobar Islands with area of 8,249 Km².
22. In which state Garo Khasi and Jaintia tribes are located?
A. Assam
B. Meghalaya
C. Madhya Pradesh
D. None of these
Solutions
The state of Meghalaya comprises Khasi, Garo and Jaintia hills. The scheduled tribe populations (mainly belonging to khasi, Jaintia and Garo tribes) constitute 85.53% of the total population.
23. Which among the following has the regulatory powers to prevent recurrence of scams in Indian Capital Market?
A. SEBI
B. RBI
C. SBI
D. IOB
Solutions
The various functions of SEBI are:
• To protect the interests of investors in securities market
• To promote the development of securities market
• To regulate the business in stock exchanges and any other securities markets.
24. ________ elects the President and the Vice President and removes judges of Supreme Court and High Court.
A. Ministry of Defence
B. Lok Sabha
C. Prime Minister’s Office
D. Securities and Exchange Board of India
Solutions
President is elected by collegium consist of MPs of both Houses and MLAs of all states and Union Territories. Vice President is elected by MPs of both Houses of Parliament. Members of Lok Sabha and Rajya Sabha needs to pass resolution with two third majority for removal of Judges of Supreme Court and High Court.
25. Which is the first Asian airlines company to procure jet aircraft in its fleet?
A. Garuda Indonesia
B. Singapore Airlines
C. Thai Airways
D. Air India
Solutions
Air India is the first airline company in Asia to procure and operate jet aircraft in its fleet. In 1960, Boeing 707 was inducted by Air India, and it was named as Gauri Shankar.
26. Which institution has mandated ‘penny drop’ verification for NPS fund withdrawal?
A. IRDAI
B. PFRDA
C. SEBI
D. RBI
Solutions
The Pension Fund Regulatory and Development Authority (PFRDA) has made ‘penny drop’ verification mandatory for the withdrawal of funds by subscribers of the National Pension System (NPS), Atal Pension Yojana and NPS Lite as well as modifications in bank account details. Under the process, Central Recordkeeping Agencies (CRA) check the active status of the savings bank account and match the name in the bank account number with the name in the PRAN or according to the documents submitted.
27. Sultan of Johor Cup is associated with which sports?
A. Cricket
B. Hockey
C. Basket Ball
D. Football
Solutions
The Indian junior men’s hockey team defeated New Zealand 6-2 to enter the semifinals of the Sultan of Johor Cup. Indian player Amandeep Lakra hit a hat-trick. The Sultan of Johor Cup is an annual, international under-21 men’s field hockey tournament held in Malaysia.
28. ‘Mahabali’, which was launched under the “Make in India” initiative of Ministry of Defence, is a_:
A. Submarine
B. Anti-ship Missile (AShM)
C. Bollard Pull (BP) Tug
D. Patrol Vessel
Solutions
The 25T Bollard Pull (BP) Tug, ‘Mahabali’ was launched recently at Shoft Shipyard Pvt Ltd, Bharuch, Gujarat, under the “Make in India” initiative of Ministry of Defence. This aligns with the “Aatmanirbhar Bharat” initiative of the Government of India, promoting self-reliance and indigenous production.
29. Which Indian company secured 15000 crore- project for a gas compression plant in the Middle East?
A. Tata Industries
B. Larsen & Toubro
C. Reliance Industries
D. ONGC
Solutions
Larsen & Toubro (L&T)’s hydrocarbon business- L&T Energy Hydrocarbon – LTEH) secured an offshore project for a gas compression plant in the Middle East. The project is worth over Rs 15,000 crore. Larsen & Toubro classifies projects worth over Rs 15,000 crore as “ultra-mega” projects.
30. Which institution regulates the Co-operative banks in India?
A. RBI
B. NABARD
C. Ministry of Cooperation
D. NITI Aayog
Solutions
The Reserve Bank of India (RBI) has announced that District Central Co-operative Banks now have the authority to close their unremunerative branches without the necessity for prior permission from the central bank. However, approval from the Registrar of Cooperative Societies in the respective state will still be required. The cooperative banks were brought under the regulatory framework of the Reserve Bank of India (RBI) in 2020.
31. ‘Agartala-Akhaura cross-border rail link project’ connects India with which country?
A. Nepal
B. Bangladesh
C. Myanmar
D. Thailand
Solutions
Prime Minister Narendra Modi and Bangladesh’s Prime Minister Sheikh Hasina together inaugurated the Agartala-Akhaura cross-border rail link project. This railway connection is expected to enhance cross-border trade and substantially decrease the travel time between Agartala and Kolkata via Dhaka.
32. Which organisation released the ‘Impact of Disaster on Agriculture and Food Security’?
A. NABARD
B. NITI Aayog
C. FAO
D. UNEP
Solutions
According to a report from the Food and Agriculture Organization (FAO) titled ‘The Impact of Disaster on Agriculture and Food Security,’ there has been a significant increase in the frequency of extreme disaster events over the past five decades. In the 1970s, the world experienced approximately 100 disaster events per year. However, in the last two decades, that number has risen to around 400 disasters annually on a global scale. This trend highlights the growing challenges and risks that disasters pose to agriculture and food security worldwide.
33. Which state released the draft State Energy Efficiency Action Plan?
A. Kerala
B. Goa
C. West Bengal
D. Assam
Solutions
The draft State Energy Efficiency Action Plan for Kerala suggests that the state has the potential to achieve significant energy savings by the year 2030. This can be accomplished through various measures such as increasing the adoption of electric vehicles, promoting green buildings, and enhancing energy efficiency in households and industries.
34. ‘Bletchley Declaration’, which was released recently, is associated with which field?
A. Cryptocurrency
B. Artificial Intelligence
C. Economy
D. Climate Change
Solutions
India, along with 27 other countries and the European Union have signed world’s first agreement on artificial intelligence (AI) safety at a meeting in the United Kingdom. The agreement pledges to work together to assess the risks associated with artificial intelligence. It was signed during two-day ‘AI Safety Summit 2023’ at United Kingdom’s World War II code-breaking centre in Bletchley Park. In a statement, the UK government said, the agreement will be known as the Bletchley Declaration.
35. ‘National Efficient Cooking Programme’ is associated with which institution?
A. EESL
B. NABARD
C. NITI Aayog
D. REC
Solutions
Energy Efficiency Services Limited (EESL), a joint venture involving Public Sector Undertakings under the Ministry of Power, has introduced two pioneering programs: the National Efficient Cooking Programme (NECP) and the Energy Efficient Fans Programme (EEFP). These initiatives seek to transform cooking methods in India and underscore the significance of energy-efficient fans. As part of these programs, EESL aims to promote and implement energy-efficient technologies and practices across the country.
36. Which company is the official sponsor of Indian contingent at Hangzhou Asian Games?
A. Byju’s
B. Amul
C. Odisha state
D. Tata
Solutions
Amul will be the Official Sponsor of the Indian Contingent for the XIX Asian Games 2022 to be held in Hangzhou, China from September 23 to October 8 2023. As part of this association, Amul will use the integrated logo in its communication to celebrate the efforts of the sportsperson. The XIX Asian Games 2022 will feature 482 events across 40 sports.
37. Which Indian tennis player won the runners trophy in the US Open doubles final?
A. Rohan Bopanna
B. Somdev Devvarman
C. Chirag Shetty
D. K Srikanth
Solutions
The Indo-Australian tennis pair Rohan Bopanna-Matthew Ebden lost to the defending US Open men’s doubles champions Rajeev Ram-Joe Salisbury, in the finals of US Open. Rajeev Ram and Joe Salisbury became the first men’s doubles team at the US Open to achieve a three-peat in more than 90 years.
38. Vithya Ramraj, who was seen in the news, is associated with which sports?
A. Athletics
B. Chess
C. Cricket
D. Squash
Solutions
Tamil Nadu’s Vithya Ramraj has won the women’s 400m in a personal best 52.40s at the Indian Grand Prix-5 athletics in Chandigarh. Himanshi, the fastest quarter-miler in the Asiad relay team with her 51.76s at the recent inter-State Nationals in Bhubaneswar, could only finish 15th overall.
39. Which country has clinched the SAFF U-16 Championship 2023 title?
A. India
B. Bangladesh
C. Sri Lanka
D. Pakistan
Solutions
India’s U-16 team triumphed in the SAFF U-16 Championship 2023, defeating Bangladesh 2-0. Bharat Lairenjam scored a goal in the first half, while Levis Zangminlun sealed the victory with a second-half goal.
40. Which badminton player has won the China Open title?
A. K Srikanth
B. Viktor Axelsen
C. Lakshya Sen
D. Chirag Shetty
Solutions
Olympic champion Viktor Axelsen clinched his first China Open title after defeating unseeded Lu Guang Zu. His earlier Grand Slam of Super 1000 titles include the All England Open, the Indonesia Open and the Malaysia Open. South Korean top seed An Se Young became the women’s singles champion, beating second seeded Yamaguchi Akane. She landed her ninth title of the year in the women’s singles.
41. Thiruvonam is a festival prevalently celebrated in which state?
A. Kerala
B. Andhra Pradesh
C. Tamil Nadu
D. Karnataka
Solutions
Thiruvonam, the most auspicious day during the Onam festival, is celebrated throughout Kerala. Onam is a harvest festival that celebrates the return of King Mahabali/Maveli to his beloved state. The festival is celebrated for ten days and each day holds a lot of significance. Onam also marks the beginning of the Malayalam year, called Kolla Varsham.
42. Shinon Meeras, a centre showcasing the history of Dard-Shina tribes, was opened in which state/UT?
A. Jammu and Kashmir
B. Maharashtra
C. Goa
D. Jharkhand
Solutions
Recently, Shinon Meeras, a centre showcasing the history of Dard-Shina tribes, was opened to the public at the Gurez Valley in Kashmir. Dard is a strong community of around 38000 people living in the valley, which speaks the rapidly fading Shina language. The first such cultural centre has been curated and developed by the Indian Army and the Lieutenant-Governor’s administration.
43. Kokyet Turban, which was seen in the news, is associated with which state?
A. Manipur
B. Assam
C. West Bengal
D. Rajasthan
Solutions
The traditional Kokyet or turban of the state has been selected as part of the dress code for the Marshals of the Indian Parliament. The Indian government is introducing new uniform codes for both houses of parliament, including Lok Sabha and Rajya Sabha, for an upcoming special parliamentary session. Other items introduced in the uniform code include magenta Nehru jackets for secretariat staff and camouflage attire for security officers.
44. Santiniketan, which was designated as a UNESCO World Heritage Site, is in which state?
A. Uttar Pradesh
B. West Bengal
C. Rajasthan
D. New Delhi
Solutions
Santiniketan, the cultural and educational hub in West Bengal founded by poet Rabindranath Tagore, has been designated as a UNESCO World Heritage Site. The announcement was made during the 45th session of the World Heritage Committee in Saudi Arabia. Established in 1901, Santiniketan was initially a residential school based on Indian traditions and the vision of global unity transcending religious and cultural boundaries. In 1921, it evolved into a world university known as ‘Visva Bharati’.
45. ‘Hoysala Temples’, which received UNESCO World Heritage Tag, are located in which state?
A. Tamil Nadu
B. Karnataka
C. Odisha
D. West Bengal
Solutions
UNESCO has officially added Karnataka’s Sacred Ensembles of Hoysalas to its prestigious World Heritage list.These ancient temples, previously on UNESCO’s Tentative list since 2014, now gain global recognition for their exceptional cultural and historical significance. The Sacred Ensembles of Hoysalas include renowned temples in Belur, such as the Chennakesava Temple, and Halebid, featuring star-shaped architectural plans.
46. How many days advance notice is to be given to speaker of state legislative assembly to move a resolution against him?
A. 7 days
B. 14 days
C. 15 days
D. 30 days
Solutions
The speaker of state legislature can be removed by a resolution passed by a majority of all the then members of the assembly. Such a resolution can be moved only after giving 14 days advance notice to the speaker.
47. Which of the following are the functions of the Central Council of Local Government?
A. Making proposals for legislation
B. Recommending Central financial assistance
C. Examining the possibility of cooperation between the Centre and the states
D. All of the above
Solutions
The Central Council of Local Government typically performs all of the functions mentioned: making proposals for legislation, recommending central financial assistance, and examining the possibility of cooperation between the Centre and the states.
48. Who submits a report to the president regarding the administration of scheduled areas?
A. State Legislature
B. Panchayat
C. Governor
D. Chief Minister
Solutions
The governor has a special responsibility regarding scheduled areas. He has to submit a report to the president regarding the administration of scheduled areas, annually or whenever so required by the president.
49. National Commission for Women was established in which year?
A. 1991
B. 1992
C. 1993
D. 1994
Solutions
The National Commission for Women is a statutory body. It was established by the government of India in January 1992 under the National Commission for Women Act, 1990.
50. From which state the Systematic Voter’s Education and Electoral Participation (SVEEP) programme was started?
A. Orissa
B. Uttrakhand
C. Bihar
D. Uttar Pradesh
Solutions
Systematic Voter’s Education and Electoral Participation (SVEEP) was launched by Election Commission of India was started in 2014 from Bihar. Every aspect of the election process is simulated in the SVEEP programme to ensure enhanced voters’ participation in the polling.
51. Arjun rides his bike 60 km at an average speed of 30 km/h, and again travels 75 km at an average speed of 25 km/h. What is his average speed (approx.) for the entire trip?
A. 17km/h
B. 15 km/h
C. 19 km/h
D. 27 km/h
Solutions

52. ‘A’ alone can do a work in 50 days and ‘B’ alone can do the same work in 80 days. They worked together and were paid a total of Rs.5200. what is the difference between their shares?
A. Rs.1000
B. Rs.600
C. Rs.800
D. Rs.1200
Solutions

53. If the income of Ram is 12.5% more than the income of Shyam, then what percentage of Shyam income is less than Ram’s income.
A. 27%
B. 11.11%
C. 15%
D. 12.5%
Solutions

54. Find the value of 12.5% of 64 + 30% of 750 – 60% of 70
A. 144
B. 165
C. 191
D. 185
Solutions

55. The weight of a bag of a rice is 50 kg and it was misread as 48 kg. Find the error percentage.
A. 4%
B. 2%
C. 8%
D. 10%
Solutions

56. What is the average of the first 10 multiples of 7?
A. 36.5
B. 38.5
C. 25.5
D. 11.5
Solutions

57. A sum of Rs.5200 is invested in a scheme of simple interest. It becomes Rs.6610 in 3 years How much this sum will become in 6 years?
A. Rs. 9200
B. Rs. 6020
C. Rs. 8020
D. Rs. 7330
Solutions

58. If A : B : C = 5 : 4 : 3, then what will be the value of (A/B) : (B/C) : (C/A)?
A. 80:95:24
B. 75:80:36
C. 80:75:36
D. 95: 30:13
Solutions

59.

A. 
B. 
C. 
D. 
Solutions

60. Arun is thrice as efficient as Sunil and is therefore able to finish a piece of work in 60 days less than Sunil. Arun and Sunil can individually complete the work respectively in:
A. 20 and 80 days
B. 40 and 100 days
C. 25 and 85 days
D. 30 and 90 days
Solutions

61. The product of two numbers is 2187. If HCF of these numbers is 27, then the greater number is:
A. 108
B. 85
C. 81
D. 27
Solutions
Let numbers are 27a and 27b
ATQ,
27a × 27b = 2187
ab = 3
Now, co-primes of 3 are (1, 3)
so, the required numbers 27 and 81.
∴ Greater number = 81
62. A man wanted to sell on article with 25% profit but he actually sold at 20% loss for Rs 480. At what price he wanted to sell it to earn the profit?
A. Rs 720
B. Rs 840
C. Rs 600
D. Rs 750
Solutions

63.

A. 2 : 3 : 3
B. 3 : 4 : 5
C. 6 : 8 : 5
D. 9 : 8 : 10
Solutions

64. Two numbers are in the ratio 2 : 5. If 20% of the smaller number added to 20, is equal to the sum of 10% of the larger number and 15 then the larger number is:.
A. 100
B. 200
C. 250
D. 300
Solutions

65. The HCF of two numbers is 12 and their LCM is 72. If one of the two number is 24 then the second number is:
A. 36
B. 60
C. 72
D. 48
Solutions

66. -70 + 28 ÷ (7 – 3) = ?
A. -10.5
B. -9
C. -69
D. -63
Solutions

67. Rohan and Rohit can do a work together in 10 days. Rohan can do the same work in 15 days. Find the time taken by Rohit to do the same work?
A. 25 days
B. 35 days
C. 30 days
D. 32 days
Solutions

68. For a New Year party, 30 whisky bottles are required. How many whisky bottles will be required to the same party if the quantity of whisky in each bottle is reduced to 7/10th of its present?
A. 10.07
B. 35
C. 62.5
D. 42.85
Solutions

69. The length of the platform, which a train 180 m long and travelling at 51 km/hr can cross in 36 seconds is:
A. 330 m
B. 225 m
C. 250 m
D. 300 m
Solutions

70. The average of 40 numbers is 27. If each number is divided by 3, then the average of new set of numbers is:
A. 9
B. 3
C. 27
D. 6
Solutions

71. The HCF of 40, 56, and 96 is:
A. 1
B. 2
C. 4
D. 8
Solutions
8 is the HCF of 40, 56 and 96
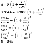
72. At what rate per annum will Rs. 32000 yield a compound interest of Rs. 5044 in 3 years?
A. 10%
B. 
C. 5%
D. 2.5%
Solutions

73.

A. 
B. 
C. 
D. 
Solutions

74. The product of the two successive numbers is 4692. Which is the smaller number among these two?
A. 62
B. 69
C. 68
D. 67
Solutions
x (x + 1) = 4692
x² + x – 4692 = 0
Root of quadratic equation are 68, 69
Smaller number = 68
75. If the sum of twice of fraction and 5 times its reciprocal is 7. What is the fraction?
A. 2/5
B. 5/4
C. 5/2
D. 4/5
Solutions

76. In how many years a sum of Rs 3000 will yield an interest of Rs 1080 at 12% per annum simple interest?
A. 2 years
B. 4 years
C. 3 years
D. 5 years
Solutions

77. Two persons are travelling towards each other from point A and B. The distance between A and B is 50 km. It takes 8Hr to meet them. If the speed of person travelling from A is 4 km/h then what will be the speed of another person?
A. 1.75 km/h
B. 2.5 km/h
C. 1.50 km/h
D. 2.25 km/h
Solutions

78. A wheel has diameter of 42 cm, then how far does the wheel go (in meters) in 16 revolutions?
A. 19 m
B. 20.02 m
C. 21.12 m
D. 25 m
Solutions

79. A & B invested total Rs. 6400 in business and ratio of time period for which A & B invested is 4 : 3. If they got total profit of Rs. 7200 and profit share of A is 3200, then find investment of B?
A. 3000 Rs.
B. 2400 Rs.
C. 3600 Rs.
D. 4000 Rs.
Solutions

80. A mixture of milk and water measures 60 liters. It contains 10% water. How much water should be added to it, so that the water may be 25%?
A. 18 liters
B. 14 liters
C. 16 liters
D. 12 liters
Solutions

81. Solve 49 ÷ 7 [23 – (22 – 20)]
A. 151
B. 147
C. 143
D. 1/3
Solutions
using BODMAS
49 ÷ 7 × [23 – 2)
7 × 21 = 147
82. 107 × 107 + 93 × 93 = ?
A. 21908
B. 20098
C. 19418
D. 19578
Solutions

83. The line graph shows the number of vacancies for management trainees in a certain company. Study the diagram and answer the following questions.

What was the difference in the number of vacancies between the years 2011 and 2014?
A. 25
B. 20
C. 15
D. 30
Solutions

84. The given graph shows the number of candidates appeared and passed (in hundreds) in a test from five different institutions namely A, B, C, D and E.

Find the ratio of students passed in institute A and C with the passed students of institute B.
A. 1:1
B. 2:3
C. 1:2
D. None of these
Solutions
Students passed in institute A = 12
Students passed in institute C = 8
Sum = 12 + 8 = 20
Students passed in institute B = 20
Ratio = 20 : 20 = 1 : 1
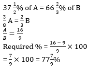
85. The given graph shows the number of candidates appeared and passed (in hundreds) in a test from five different institutions namely A, B, C, D and E.

The total number of students failed in all the five institutes is:
A. 20
B. 25
C. 24
D. 16
Solutions
Students failed in A = 16 – 12 = 4
Students failed in B = 24 – 20 = 4
Students failed in C = 14 – 8 = 6
Students failed in D = 34 – 26 = 8
Students failed in E = 20 – 18 = 2
Total Students failed = 4 + 4 + 6 + 8 + 2
= 24 Students
86. In this question, the statement is followed by two conclusions. Which of the two conclusion(s) is/are true?
Statement: A = B ≥ C ≤ D > G < E < F
Conclusions:
I. A>D
II. F>G
A. Only conclusion II is true.
B. Neither conclusion I nor II is true.
C. Only conclusion I is true.
D. Both conclusions I and II are true.
Solutions
In conclusion (I) between A and D there are 2 opposite signs so we cant define it. In conclusion (II) between F and G there is no opposite signs so it is true.
87. A car travels 5 km West, then turns South and travels 7 km, then turns East and travels 5 km, then turns to its left and travels 2 km. Where is it now with respect to the starting position?
A. 5 km South
B. 9 km South
C. 5 km North
D. 9 km North
Solutions
AB = 5 km south
88. From a point, Lokesh starts walking towards south and after walking 30 metres he turns to his right and walks 20 metres, then he turns right again and walks 30 metres. He finally turns to his left and walk 40 metres. In which direction is he with reference to the starting point?
A. North-West
B. East
C. West
D. South
Solutions

89. Pritam cycles 6 km towards the south direction, he turns right to move 8 km, and again turns towards the northeast to move 10 km. from there is he moves 15 km on the left, how far is he from his original position?
A. 15 km
B. 10 km
C. 55 km
D. 65 km
Solutions

He is at a distance of 15 km from original position.
90. Neha is the daughter of Abhijeet’s only sister Tanishka. Abhijeet’s mother is Kanak. Rishika is Kanak’s mother. Rishika’s husband is Atul. Priya is the mother – in – law of Atul. How is Neha related to Atul ?
A. Daughter
B. Great Grand Daughter
C. Grand Daughter
D. Great Grand Daughter’s Daughter
Solutions

91. Pointing to a photograph, a person tells his friend, she is the grand -daughter of the elder brother of my father. How is the girl in the photograph related to this man?
A. Sister
B. Aunt
C. Maternal Aunt
D. Niece
Solutions

92. Atul, Aishwarya, Sameer, Pallavi, Sharadha and Kuldeep are six members of a business family. Sharadha is the son of Pallavi, who is not the mother of Sharadha. Aishwarya is the brother of Pallavi. Kuldeep and Pallavi are a married couple. Sameer is the daughter of Kuldeep, who is the sister of Atul. How is Sharadha related to Sameer?
A. Brother
B. Mother
C. Father
D. Sister
Solutions

93. In a certain code language, JUMPER is coded as 83, and LAUGH is coded as 49. How will STATEMENT be coded in that language?
A. 122
B. 86
C. 117
D. 89
Solutions

94. If RAM is coded as 41 and ANUJ is coded as 62 , then how will ARJUN be coded as ?
A. 89
B. 80
C. 59
D. 54
Solutions

95. In a code language, ‘PERSON’ is written as ‘PQUTGR’ and ‘PLAY’ is written as ‘ACNR’. How will ‘CRUSH’ be written in that language?
A. HUJWE
B. JUWTE
C. JHNBY
D. HUNWE
Solutions

96. How many triangles are there in the given figure?

A. 14
B. 16
C. 18
D. 20
Solutions
16 triangles
97. How many triangles are present in the following figure.?

A. 14
B. 15
C. 16
D. 13
Solutions

98. Three of the following four letter-clusters are alike in a certain way and one is different. Pick the odd one out.
A. DGJM
B. XWVU
C. LNPR
D. QTVY
Solutions

99. Three of the following four number are alike in a certain way and one is different
A. 133
B. 182
C. 261
D. 224
Solutions
All are divisible by 7 except for option (c)
100. Select the odd word/letter/number from the given alternatives.
A. Silver
B. Gold
C. Copper
D. Silicon
Solutions
Silicon is a semi-conductor and all others are good conductors.
101. In the following question, four groups of three numbers are given. In each group the second and third number are related to the first number by a Logic/Rule/Relation. Three are similar on basis of same Logic/Rule/Relation. Select the odd one out from the given alternatives.
A. (44, 42, 36)
B. (56, 54, 48)
C. (38, 36, 32)
D. (64, 62, 56)
Solutions
–2, –6 series except option (c)
102. In the following Venn diagram which region represents the cat that is a pet but not hungry?

A. U
B. R
C. T
D. S
Solutions
‘T’ represents the region of cat which is pet but not hungry.
103. Select the most suitable Venn diagram to represent the following relationship.
India, Uttar Pradesh, Madhya Pradesh
A
B
C
D
Solutions

104. In a certain code language, ‘+’ represents ‘x’, ‘-‘ represents ‘+’, ‘x’ represents ‘÷’ and ‘÷’ represents ‘-‘. What is the answer to the following question?
2 + 6 × 4 – 15 ÷ 10
A. 4
B. 0
C. -10
D. 8
Solutions
2 × 6 ÷ 4 + 15 – 10
= 3 + 15 – 10 = 8
105. If 3@7 = 20; 9@4 = 26; 7@1 = 16, then what is the value of 17@2?
A. 49
B. 39
C. 38
D. 54
Solutions
17@2 = (17 + 2) × 2 = 38
106. By interchanging the given two signs and numbers, which of the following equations will be correct?
+ and ×, 7 and 2
I. 5 × 4 + 7 – 3 ÷ 2 = 17
II. 7 × 2 – 6 + 4 ÷ 3 = 1
III. 9 – 7 × 2 + 8 ÷ 4 = 21
A. Only I
B. Only II
C. Only III
D. More than one equation is correct
Solutions

107. Pankaj is taller than Vinod, who is shorter than Pramod. Usha is taller than Priyanka but shorter than Vinod. Pramod is shorter than Pankaj. Who is the tallest?
A. Priyanka
B. Pramod
C. Vinod
D. Pankaj
Solutions
Pankaj > Pramod >Vinod > Usha >Priyanka
So, Pankaj is tallest.
108. Shubham, Sonam, Ishani, Neha and Nimishna work in the same company
Nimisha joined company before Ishant but after Sonam, Shubham started working in the company before Sonam but after Neha who is the senior-most among them?
A. Shubham
B. Neha
C. Nimisha
D. Sonam
Solutions
Neha is senior
Neha > Shubham > Sonam > Nimisha > Ishant.
109. Six friends M, N, O, P, Q and R are sitting around a circular table facing towards the centre. M is sitting second left to the P and N is sitting just opposite to M and O cannot be sit either side of M and Q is immediate right to the M. Who is sitting between R and Q?
A. O
B. R
C. N
D. M
Solutions

110. There are seven people sitting in a row facing North. N is sitting third to the right of T. M is sitting third to the left of T. L is sitting to the immediate left of N. O is sitting to the immediate right of M. If T and N exchange their seats and M and O exchange their seats, then who will be sitting in the middle of the row?
A. M
B. T
C. L
D. N
Solutions

111. Choose the letter-cluster that relates to the fifth term in the same way as the second term relates to the first term, and the fourth term relates to the third term.
EXCITE : ETICXE :: MEDICAL : LACIDEM :: PEOPLE : ?
A. EELLOP
B. EELLPO
C. ELPOEP
D. EELOLP
Solutions

112. Choose the letter-cluster that relates to the fifth term in the same way as the second term relates to the first term, and the fourth term relates to the third term.
RISE: IRHV:: FALL: UZOO :: TERM:?
A. GVJN
B. GUIM
C. GVIM
D. GVIN
Solutions

113. Select the option that is related to the third number in the same way as the second number is related to the first word.
5 : 648 :: 7 : ?
A. 1536
B. 1029
C. 375
D. 300
Solutions

114. Arrange the given words in the sequence in which they occur in dictionary.
1. Scripture
2. Scrutiny
3. Script
4. Scramble
5. Science
A. 5 4 3 2 1
B. 5 4 3 1 2
C. 4 5 3 1 2
D. 3 5 4 1 2
Solutions
Correct dictionary sequence :-
5. Science
4. Scramble
3. Script
1. Scripture
2. Scrutiny
115. In the following question, select the word which cannot be formed using the letters of the given word.
ENCOURAGING
A. GRAIN
B. RAGING
C. GAUGE
D. ENCOURAGE
Solutions
‘ENCOURAGE’; there is no double ‘E’ in the given word.
116. Which of the following cube in the answer figure cannot be made based on the unfolded cube in the question figure?

A
B
C
D
117. May 4, 2023 was Thursday. What day of the week lies on January 1, 2024?
A. Saturday
B. Monday
C. Sunday
D. Tuesday
Solutions
May → Thursday
Count extra day in every month till st Jan
Remaining days in May →
June →
July →
Aug. →
Sep. →
Oct. →
Nov. →
Dec →
Jan →
118. Which letter-cluster will replace the question mark (?) to complete the series?
BGME, ? , JMQG, NPSH, RSUI
A. FJPF
B. FJOH
C. FJOG
D. FJOF
Solutions

119. Which number should replace the question mark (?) in the given series?
40, 50, 41, 52, 44, 56, 49, 62, ?
A. 56
B. 52
C. 53
D. 54
Solutions

120. Select the correct mirror image of the given figure when the mirror is placed at MN as shown below.

A. 
B. 
C. 
D. 








