1.Which of the following fraction is less than 3/2 and greater than 1/2 ?
A. 5/12
B. 7/12
C. 5/3
D. 3/17
Solutions

2. The product of two co-prime number is 323. Their LCM should be-
A. 1
B. 0
C. None of these
D. 323
Solutions

3. what should come in place of question mark (?) in the following questions?

A. 
B. 
C. 
D
Solutions

4. A sink contains exactly 25 L of water. If the water is drained from the sink until it holds 5L of water less than the quantity drained away, then how many litres of water were drained away?
A. 15
B. 20
C. 14
D. Cannot be determined
Solutions

5. The unit digit in the expression 36234 × 33512 × 39180 − 5429 × 25123 × 31512 is –
A. 8
B. 0
C. 6
D. cannot be determined
Solutions

6.
If
then value of x is:-
A. 12
B. 6
C. 9
D. 3
Solutions
The value of x should be such that the left hand side after completely removing the square root signs should be an integer.

7. what should come in place of question mark (?) in the following questions?

A. 0.02
B. 2
C. 0.2
D. 0.002
Solutions

8. A man whose bowling average is 13.6 takes 5 wickets for 11 runs and thereby decreases his average by 0.6. Find the number of wickets taken by him before his last match.
A. 40
B. 2
C. 90
D. None of these
Solutions

9. If a,b,c,d and e are the integers such that a = 6b = 12c and 2b = 9d = 12e .Then which of the following pairs contains a number that is not an integer ?
A. 
B.
C.
D.
Solutions

10. 75% of a number is 106 more than 35% of the same number. What is 30% of that number ?
A. 127.2
B. 79.5
C. 36.5
D. 96
Solutions

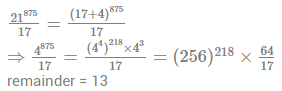
11. What is the remainder when 21875 is divided by 17 ?
A. 13
B. 5
C. 15
D. 10
Solutions

12. Two Numbers are less than a third number by 45% and 20% respectively. How much percent is the second number more than the first ?
A. 65%
B. 
C. 25%
D. None of these
Solutions
Let third number =100
Then first number = 55 and second number = 80,
Difference ⇒ 80 − 55 = 25

13. In a examination, there are 5000 candidates out of which 3000 are boys. If 42% of boys and 61% of girls passed then the %age of failure is :
A. 49.2%
B. 50.4%
C. 97%
D. 48.5%
Solutions
Number of boys = 3000
Number of girls =2000
Failure =58% of boys and 39% of girls 

14. By selling bananas at 20 for Rs. 100, a man loses 4%, In order to gain 25%, how many for Rs. 100 must he sell ?
A. 20
B. 17
C. 15
D. 18
Solutions

15. A company offers three types of successive discounts 1st: 18% and 72% ; 2nd: 40% and 50%; 3rd : 60% and 30 % Which offer is better for a customer ?
A. 1st
B. 2nd
C. 3rd
D. All are equally Good
Solutions

16. If a:b = c:d = e:f = 1:2 then (5a + 3c + 8c) : ( 5b + 3d + 8f) = ?
A. 1:1
B. 1:2
C. 2:1
D. 6:1
Solutions

17. The expenses on rice, wheat and milk are in ratio of 3:12:17. The prices of these articles increased by 50%, 20% and 30% respectively. The total expenses of the family are increased by :
A. 
B. 
C. 
D. 
Solutions
Let the expenses on rice, wheat and milk are 3x,12x and 17x respectively.
Total Expenses (3x + 12x + 17x) = Rs.32x
After Increment, Expenses

18. 3 men or 5 women can finish a piece work in 38 days. How long will 9 men + 4 women take to finish the work?
A. 10 days
B. 20 days
C. 30 days
D. 15 days
Solutions
3m= 5 w
⇒ 9m = 15w
∴ 9 men + 4 women = 15 women + 4 women= 19 Women
5 women can do work in = 38 days
1 women can do work in = 38 × 5 days

19. A does 2/3 work in 20 days. He then calls in B and they together finish the remaining work in 2 days. how long B alone would take to do the whole work?
A. 30 days
B. 7.5 days
C. 8 days
D. 20 days
Solutions

20. Two pipes A and B can fill a cistern in 5 hours and 30 hours respectively. Both the pipes are opened alternatively for 1 hour each. In what time will they fill the cistern ?
A. 4 Hours
B. 4 Hours 20 minutes
C. 8 Hours 40 minutes
D. 8 Hours 20 minutes
Solutions

21. Two cars start at the same time from one point and move along two roads at right angles to each other. Their speeds are 36 km/h and 48 km/h respectively. After 30 seconds distance between them will be.
A. 100m
B. 500m
C. 300m
D. 700m
Solutions

22. A train overtakes two persons walking in the same direction to which the train is going. These persons are walking at the rate of 5 km/h. and 6 km/h respectively and the train passes them completely in 12 seconds and 14 seconds respectively. The speed of the train is :
A. 25 km/h
B. 24 km/h
C. 12 km/h
D. 14 km/h
Solutions
Let the length of the train be x km and its speed = y km/h
Speed of train relative to first man = (y − 5) km/h
Speed of train relative to second man = (y − 6) km/h

23. A man can row 2 km against the stream in 40 minutes and return in 30 minutes.What is the speed of current?
A. 1/4 km/h
B. 2 km/h
C. 1/2 km/h
D. 1 km /h
Solutions

24. Two vessels A and B contain milk and water mixed in ratio 4:3 and 3:4 respectively. Find the ratio in which these mixtures are to be mixed to get a new mixture containing milk and water equally.
A. 4:7
B. 1:1
C. 1:2
D. 7:4
Solutions

25. If the simple interest for 5 years is 40% of the principal, it will be equal to principal after.
A. 3 years
B. 8 years
C. 10 years
D. 12.5 years
Solutions

26. how many years will a sum of Rs. 400 at 10 % p.a. compounded semi-annually become Rs. 441 ?
A. 1 years
B.
years
C. 2 years
D.
years
Solutions

27. If each side of a square is increased by 20% . What is the increase % in its area?
A. 15%
B. 20%
C. 44%
D. 40%
Solutions

28. If the ratio of volumes of two cones is 5:4 and ratio of the radii of their bases is 3:4, then the ratio of their heights will be?
A. 20:9
B. 9:21
C. 21:8
D. 7:20
Solutions

29. The banker’s discount on a certain sum due 3 year hence is13/10 of the true discount. The rate % per annum is :-
A. 3%
B. 10%
C. 5%
D. 7%
Solutions

30. In a race of 200m, A can beat B by 38 m and C by 20m. In a race of 350m C will beat B by :
A. 18 m
B. 35 m
C. 40m
D. 58m
Solutions

31. Study the pie-charts carefully to Answer the Questions that follow :
The budget of a country is represented as :

The angle for income tax is :-
A. 800
B. 900
C. 950
D. 850
Solutions

32. Study the pie-charts carefully to Answer the Questions that follow :
The budget of a country is represented as :

How much the excise more by s. charges if The amount of total budget is 15 crore-
A. 750000
B. 7500000
C. 75000
D. None of these
Solutions

33. Study the pie-charts carefully to Answer the Questions that follow :
The budget of a country is represented as :

If sale tax exceed income tax by 150000 then What is the amount for excise?
A. 220000
B. 225000
C. 150000
D. 350000
Solutions

34. Study the pie-charts carefully to Answer the Questions that follow :
The budget of a country is represented as :

If sale tax + Excise = 50,00,000 then amount of Income Tax – S. Charges = ?
A.1600000
B. 3000000
C. 1500000
D. 150000
Solutions
Sale Tax + Excise ⇒ 50 Lakh
35% + 15% ⇒ 50 lakh
50% = 50 lakh
Income tax – S. charges =25% – 10%=15%
if 50% Represents 50 Lakh

35. Study the pie-charts carefully to Answer the Questions that follow :
The budget of a country is represented as :

What is the ratio of sale tax & Income tax If total Budget is for Rs. 100 crore.
A. 35:8
B. 7:5
C. 37:2
D. 5:7
Solutions
Irrespective of total amount of budget ratio of sale tax to income tax = 35% : 25% ⇒ 7:5
36. A series is given with one term missing. Select the correct alternative from the given ones that will complete the series.
WVU, TSR, QPO, ?
A. NML
B. LMN
C. LMK
D. KLM
Solutions
The pattern followed is as follows:-

37. Select the related word from the given alternatives.
Night : Stars :: Day : ?
A. Sun
B. Blue
C. Work
D. Planet
Solutions
The relationship is as follows :-
‘Stars’ are visible only in night. In the same way, ‘Sun’ is visible only in day.
38. Select the related letters from the given alternatives.
BEH : KNQ :: FIL : ?
A. ONM
B. NLJ
C. ORU
D. OMK
Solutions
The pattern is as follows:-

39. Select the odd word from the given alternatives.
A. Cyan
B. Crimson
C. Indigo
D. Sky blue
Solutions
All the option given belongs to different shade of blue except option ‘b’
40. Select the odd letters from the given alternatives.
A. JPV
B. UIO
C. KQW
D. LRX
Solutions
The pattern followed in option is as follows:-

So, option ‘b’ is odd-one out.
41. The weights of 4 boxes are 30, 20, 60 and 70 kilograms. Which of the following cannot be the total weight, in kilograms, of any combination of these boxes and in a combination a box can be used only once?
A. 180
B. 170
C. 120
D. 150
Solutions
The total weight of all the four boxes = 30 + 20 + 60 + 70 = 180 kg
Going through options we get:-
a180 → Possible if all the four weights are used.
b170 → Not possible as we do not have 10kg weight to remove from the total weight
c120 → Possible if 60kg weight is removed from the total weight.
d150 → Possible if 30kg weight is removed from the total weight.
42. From the given words, select the word which cannot be formed using the letters of the given word.
PROXIMAL
A. MOLAR
B. AXIOM
C. REALM
D. APRIL
Solutions
The word REALM cannot be formed as there is no ‘E’ in PROXIMAL.
43. In the question a statement is given, followed by two arguments, I and II. You have to consider the statement to be true even if it seems to be at variance from commonly known facts. You have to decide which of the given arguments, if any, is a strong argument.
Statement : Should songs be eliminated from Indian movies.
Argument I : Yes, Hollywood movies are hit despite having no songs.
Argument II : No, songs help in increasing the length of the movie.
A. if only argument I is strong.
B. if only argument II is strong.
C. if both I and II are strong.
D. if neither I nor II is strong.
Solutions
Neither of the Argument is strong as they are argue or too far-fetched
44. Which of the following cube in the answer figure cannot be made based on the unfolded cube in the question figure?

A
B
C
D
Solutions
By folding the given figure, we get the following opposite faces:

Hence, figure “a” can’t be made based on the unfolded cube in the question figure.
45. A word is represented by only one set of numbers as given in any one of the alternatives. The sets of numbers given in the alternatives are represented by two classes of alphabets as in two matrices given below. The columns and rows of Matrix-I are numbered from 0 to 4 and that of Matrix-II are numbered from 5 to 9. A letter from these matrices can be represented first by its row and next by its column, e.g., ‘K’ can be represented by 42, 34, etc. and ‘Z’ can be represented by 76, 88, etc. Similarly, you have to identify the set for the word ‘RIDE’.

A. 30,23,85,66
B. 89,30,10,13
C. 10,24,68,78
D. 10,11,88,86
Solutions
Going through options we get:-
[a] I, D, O, V
[b] R, I , D , E
[c] D, J, O, S
[d] D, C, Z, Y
∴ Option ‘b’ is correct.
46. Select the odd letters from the given alternatives.
A. RQS
B. XWV
C. MLN
D. FEG
Solutions

47. If 52 % 32 = 40, 22 % 20 = 4 then find the value of 15 % 11
A. 38
B. 11
C. 39
D. 8
Solutions
The pattern followed is as follows:-

48. In the following question, select the related number from the given alternatives.
11 : 120 : : 13 : ?
A. 165
B. 168
C. 170
D. 169
Solutions

49. In the following question, select the odd number pair from the given alternatives.
A. 12 – 48
B. 7 – 28
C. 5 – 20
D. 11 – 55
Solutions

50. A series is given with one term missing. Select the correct alternative from the given ones that will complete the series.
A, B, D, G, ?
A. K
B. J
C. L
D. I
Solutions

51. In the following question, select the missing number from the given series.
3, 10, 31, 94, ?
A. 19
B. 127
C. 283
D. 317
Solutions
3 → 3 × 3 + 1 = 10
10 → 10 × 3 + 1 = 31
31 → 31 × 3 + 1 = 94
94 → 94 × 3 + 1 = 283
52. Priyank ranks 6th from the bottom and 28th from the top in a class. How many students are there in the class?
A. 31
B. 32
C. 33
D. 34
Solutions

Priyanka is 28th from top means 27 students are ahead of him and he is 6th from the bottom means 5 students are behind him.
∴ Total students = 27 + 1 + 5 = 33
53. In a certain code language, “SURGEON” is written as “QLHDURV” and “CORNER” is written as “OHKULF”. How is “SHADOW” written in that code language?
A. DRTERS
B. TRADEV
C. UQBCFU
D. TFBCPX
Solutions

54. In the following question, select the number which can be placed at the sign of question mark (?) from the given alternatives.

A. 38
B. 40
C. 42
D. 44
Solutions
The pattern, followed is as follows:-
1st column :- 7 × 6 + 6 × 5 = 42 + 30 = 72
3rd column :- 2 × 5 + 5 × 8 = 10 + 40 = 50
Like this, In 2nd column :- 3 × 11 + 11 × 1 = 33 + 11 = 44
55. If a mirror is placed on the line AB, then which of the answer figures is the right image of the given figure?

A
B
C
D
Solutions
Correct mirror image is the figure as shown in option ‘b’.
56. If 6 # 8 = 10 and 5 # 12 = 13, then 9 # 40 = ?
A. 47
B. 63
C. 41
D. 53
Solutions
The pattern followed is as follows:-

57. Select the related word/letters/number from the given alternatives.
2: 14 : : 21: ?
A. 166
B. 165
C. 150
D. 147
Solutions

58. If “S” denotes “multiplied”, “V” denotes “subtracted from”, “M” denotes “added to” and “L” divided by”, then 9 V 11 M 84 L 12 S 6 = ?
A. 40
B. 42
C. 34
D. 44
Solutions

59. In the following question, which one set of letters when sequentially placed at the gaps in the given letter series shall complete it?
W_YZ_X_ZW_Y_
A. ZWZXX
B. YWYYZ
C. XWYYZ
D. XWYXZ
Solutions

60. Select the related word/ letters/number from the given alternatives.
ABCD: MOQS: :FGHI : ?
A. RTXV
B. STTV
C. RTVX
D. RVTW
Solutions

61. Select the odd/words/letters/number/number pair from the given alternatives.
A. 746
B. 692
C. 581
D. 737
Solutions

62. Select the related word/letters/number from the given alternatives.
Dissemble : Feign : : Divulge : ?
A. Mollify
B. Request
C. Agree
D. Disclose
Solutions
Dissemble is a synonym of Feign. In the same way, Divulge is the synonym of Disclose.
63. In a certain code language, “TOMATO” is written as “023402” and “ORIONL” is written as “275269”. How is “NORMAL” written in that code language?
A. 627340
B. 627344
C. 627349
D. 627430
Solutions

64. Arrange the given words in the sequence in which they occur in the dictionary.
i. Foresay
ii. Foreseize
iii. Foreseeable
iv. Foresail
A. i, iii, iv, ii
B. i, iii, ii, iv
C. iii, i, ii, iv
D. iv, i, iii, ii
Solutions
Dictionary Order:- Foresail, Foresay, Foreseeable, Foreseize.
65. In the following question, select the missing number from the given series.

A. 27
B. 28
C. 26
D. 25
Solutions

66. A series is given with one term missing. Select the correct alternative from the given ones that will complete the series.
60, 121, 243, ?
A. 480
B. 487
C. 484
D. 486
Solutions

67. Select the odd word/letters/number/number pair from the given alternatives.
A. AIO
B. OEU
C. UIO
D. BOI
Solutions
All letters in pair have vowels only except BOI which have one consonant and two vowels.
68. Select the odd word/letters/number/number pair from the given alternatives.
A. Narora
B. Rawatbhata
C. Tarapur
D. Bhilai
Solutions
All are atomic power stations except Bhilai which is a steel plant.
69. In the following question, two statements are given each followed by two conclusions I and II. You have to consider the statements to be true even if they seem to be at variance from commonly known facts. You have to decide which of the given conclusions, if any, follows from the given statements.
Statements:
(I) Some bags are hot.
(II) All hot things are cakes.
Conclusion:
(I) All cakes are bags.
(II) All bags are cakes.
A. Conclusion I follows
B. Conclusion II follows
C. Neither I nor II follows
D. Both I and II follows
Solutions

70. A series is given with one term missing. Choose the correct alternative from the given ones that will complete the series.
? , Kerosene, Diesel, Fuel
A. Lubricating oil
B. Asphalt
C. Petrol
D. Wax
Solutions
Petrol, Diesel, Kerosene, Fuel belongs to same category.
71. The first Five Year Plan of the Indian government was based on which of the following economic models?
A. Solow’s Growth Model
B. Harrod – Domar Model
C. Gordon – Loeb Model
D. Lucas island Model
Solutions
The First FYP of India was based on the Harrod – Domar Model. It was launched in 1951 which mainly focused on development of the primary sector.
72. Lees Mody pact was signed in which year?
A. 1932
B. 1934
C. 1938
D. 1933
Solutions
On October 28th, 1933 Lees Mody pact was signed by Bombay Mill Owners Association which earned all Indian industrialists Nehru’s distrust. The British had succeeded once again in divide-and-rule.
73. The Zaid cropping season is from _______.
A. June-September
B. April-June
C. October-January
D. December-March
Solutions
In the Indian sub-continent, the crops grown on irrigated lands which do not have to wait for monsoons, in the short duration between Rabi and Kharif crop season, mainly from April to June, are called Zaid crops.
74. Which of the following attribute in the Preamble states that ‘No one should treat a fellow citizen as inferior?
A. Justice
B. Liberty
C. Equality
D. Fraternity
Solutions
The Preamble in constitution of India gives various attributes of Indian democracy such Liberty, Equality, Fraternity, Socialist, Secular, Republic, Democratic, Justice.
Out of these, Fraternity refers to a feeling of brotherhood and a sense of belonging with the country among its people. The inclusion of this word was proposed by Dr. B.R. Ambedkar himself.
75. Ranjan Roy, who passed away recently, was a renowned _________.
A. Lawyer
B. Actor
C. Chess Player
D. Journalist
Solutions
Senior journalist Ranjan Roy passed away after battling cancer for several years. Roy was the chief of the Times News Network (TNN) and a member of the paper’s national editorial board. An alumnus of Delhi’s St. Stephen’s College and Princeton University, US, Roy started his journalistic career in the Press Trust of India in New Delhi as a trainee in 1982.
76. Which is the most hazardous metal pollutant of automobile exhaust?
A. Iron
B. Cadmium
C. Lead
D. Mercury
Solutions
- The Most hazardous metal pollutant of the automobile exhaust is Lead.
- Lead is a highly toxic metal whose widespread use has caused extensive environmental contamination and health problems.
- Lead is hazardous as it can get into the food chain and cause heart disease.
77. In which game the term “RBI” is used?
A. Boxing
B. Bridge
C. Polo
D. Baseball
Solutions
- The term Run batted in (RBI) is used in Baseball.
- RBI is a statistic used in baseball to credit a batter when the outcome of his at bat results in a run being scored.
78. Which of the following is not the member of G20?
A. Chile
B. Argentina
C. Mexico
D. South Africa
Solutions
Argentina, Australia, Brazil, Canada, China, France,Germany, India, Indonesia, Italy, Japan, Republic of Korea, Mexico, Russia, Saudi Arabia, South Africa, Turkey, the United Kingdom, the United States, European Union are the respective members of G20.
Chile is not the member of G20.
79. Which of the following is the study of soil?
A. Myrmecology
B. Pedology
C. Glaciology
D. Cosmology
Solutions
Myrmecology: Myrmecology is the branch of entomology that deals with ants.
Pedology: The study of soils in their natural environment.
Glaciology: An integration of geophysics, geology, physical geography, geomorphology, climatology, meteorology, hydrology, biology, and ecology.
Cosmology: Study of the origin, evolution, and eventual fate of the universe.
80. Which of the following are valid phases of a computer virus?
A. Only Triggering, Executing
B. Only Propagation, Executing
C. Only Dormant, Propagation, Triggering, Executing
D. Only Dormant, Propagation, Triggering
Solutions
A virus is a program that can “infect” other programs by modifying them and inserting a copy of itself into the program. During its lifetime, a virus goes through different stages which are:
Dormant Phase– virus is idle waiting for some event to happen before it gets activated
Propagation Phase– virus makes an identical copy of itself and attaches itself to another program
Triggering Phase– virus starts performing the function it was intended for
Execution Phase– virus does actual harm such as damaging programs and data files.
81. The study of earthquake is called:
A. Topology
B. Hydrology
C. Limnology
D. Seismology
Solutions
Seismology: Study of earthquakes and the propagation of elastic waves through the Earth or through other planet-like bodies.
Topology: The study of properties of space that are preserved under continuous deformations
Hydrology: Science of studying properties of the earth’s water, and especially its movement in relation to land.
Limnology: Study of Inland waters
82. Article 324-329 of the Indian Constitution deals with which of the following?
A Tribunals
B. Elections
C. Caste System
D. Panchayat System
Solutions
| Article | Description |
| 324 | Superintendence, direction and control of elections to be vested in an Election Commission. |
| 325 | No person to be ineligible for inclusion in, or to claim to be included in a special, electoral roll on grounds of religion, race, caste or sex |
| 326 | Elections on the basis of adult suffrage |
| 327 | Power of Parliament to make provision with respect to elections to Legislatures Subject to the provisions of this constitution |
| 328 | Power of Legislature of a State to make provision with respect to elections |
| 329 | Bar to interference by courts in electoral matters |
83. Which country has been recently renamed as eSwatini by its King Mswati III?
A. Botswana
B. Swaziland
C. Tanzania
D. Gambia
Solutions
King Mswati III of Swaziland has announced renaming of the country to “the Kingdom of eSwatini”. The declaration by King Mswati III was made during celebrations marking the monarch’s birthday as well as 50 years of independence from British colonial rule. The new name, eSwatini, means “land of the Swazis”. It was this name that the king used when he addressed the UN general assembly in 2017.
84. ________ of an input is defined as the change in output per unit of change in the input when all other inputs are held constant.
A. Marginal product
B. Production function
C. Total product
D. Average product
Solutions
The marginal product of an input (factor of production) is the change in output resulting from employing one more unit of a particular input (for instance, the change in output when a firm’s labor is increased from five to six units), assuming that the quantities of other inputs are kept constant.
85. Which is the outermost layer of the atmosphere?
A. Exosphere
B. Stratosphere
C. Middle Circle
D. Ionosphere
Solutions
The exosphere is the outermost layer of Earth’s atmosphere (i.e. the upper limit of the atmosphere).
86. Which of the following subjects does not fall under the Union List?
A. Forests
B. Post
C. Banking
D. Citizenship
Solutions
- “Forests” is not present under the Union List, it falls under the Concurrent List.
- Union List contains 97 items on which Parliament has exclusive power to legislate.
- Railways, Foreign Loans, and Foreign affairs are some of the items that are included in the Union List.
87. Which of the following states has become the first in India to adopt an SOP for determining brain death cases?
A. Gujarat
B. Maharashtra
C. Haryana
D. Kerala
Solutions
Kerala has become the first state to adopt a standard operating procedure (SOP) for determining brain death cases. According to the SOP, a medical board comprising four doctors-at least one should be from the government service-will be authorised to declare a patient brain dead. To check any misuse, the SOP defines brain dead and state of coma in detail.
88. Which is the longest bridge in India?
A. Bandra – Worli Sea Link
B. Mahatma Gandhi Setu
C. Vikramshila Setu
D. Bhupen Hazarika Setu
Solutions
The Bhupen Hazarika Setu or Dhola – Sadiya Bridge is a beam bridge in India, connecting the northeast states of Assam and Arunachal Pradesh. Its length is 9.15 kilometres (5.69 mi) in length and is the longest bridge in India.
- Bhupen Hazarika Setu length – 9.15km
- Bandra – Worli Sea Link length – 5.6 km.
- Mahatma Gandhi Setu length – 5.75km
- Vikramshila Setu length – 4.7 km
89. What is the isotone of 32Ge76 ?
A. 32Ge77
B. 34Se78
C. 36Kr79
D. 32Ge78
Solutions
Isotones are atoms with same neutrons. The no. of neutrons can be found by subtracting atomic number from atomic mass.
No. of Neutrons of 32Ge76 = Atomic mass (in this case 76) – Atomic no. (in this case 32) = 44
No. of Neutrons of 34 Se78 = Atomic mass (in this case 78) – Atomic no. (in this case 34) = 44
Therefore, in both the cases, the number of neutrons is the same. Hence 32Ge76 and 34 Se78 are isotonic.
90. Name the country that lifted the coveted 2018 Sultan Azlan Shah Hockey title.
A. Malaysia
B. Australia
C. England
D. Ireland
Solutions
World champions Australia has lifted the coveted Sultan Azlan Shah Hockey title by outplaying England 2-1 in the finals. Australia has now won the prestigious tournament for the 10th time. England had to settle with the silver medal while Argentina claimed the bronze medal. India finished a disappointed fifth in the six-nation tournament.
91. Which of the following is true for photoperiodic?
A. It occurs only in plants
B. It is related to flowering in plants
C. It is related to feathers of animals
D. It is a reaction to day and night
Solutions
Important points about Photoperiodism:
- It is a physiological reaction of organisms to the length of day or night.
- It occurs in both plants and animals.
- It is basically a developmental response of plants to the relative lengths of light and dark periods.
92. Under Union Budget 2018, Finance Minister Arun Jaitley announced that the President’s monthly salary will be increased to Rs ________ from the earlier Rs 1.5 lakh.
A. Rs 2 lakh
B. Rs 3 lakh
C. Rs 5 lakh
D. Rs 6 lakh
Solutions
While presenting the Union Budget 2018, Finance Minister Arun Jaitley on Thursday announced that the President’s monthly salary will be increased to ₹5 lakh from the earlier ₹1.5 lakh. Further, the Vice President’s monthly salary will be increased to ₹4 lakh from ₹1.25 lakh. The government has proposed a law to automatically revise MPs’ salaries every 5 years.
93. Who among the following has been appointed as the next Commandant of Indian Naval Academy?
A. RB Pandit
B. Tapan Sinha
C. SV Bhokare
D. Bimal Verma
Solutions
Vice Admiral RB Pandit, Flag-Officer-Commanding, Western Fleet at Mumbai, took over as the Commandant of Indian Naval Academy. He replaces Vice Admiral SV Bhokare who handed over responsibilities to Vice Admiral Pandit after a tenure of over 15 months. He has also been the Naval Adviser at the High Commission of India at Islamabad, Pakistan.
94. The National Civil Service Day is celebrated every year on which of the following days?
A. 22nd January
B. 1st May
C. 10th February
D. 21st April
Solutions
Civil Services Day is organized on April 21 every year, when civil servants re-dedicate themselves to the cause of the citizens. It was on this date in 1947 that the 1st Home Minister of Independent India, Sardar Vallabhbhai Patel addressed probationers of Administrative Services Officers. This year observance of the day focussed on Evolving Strategies for Transforming Aspirational Districts
95. To which of the following options is the Sufi sect originally related?
A. Jainism
B. Hinduism
C. Islam
D. Buddhism
Solutions
Sufism arose from within Islam in the 8th-9th centuries C.E. as an ascetic movement.Practitioners of Sufism have been referred to as “Sufis”.
96. Mount St. Helens is an ‘active stratovolcano’ located in ________.
A. Japan
B. India
C. United States of America
D. Chile
Solutions
Mount St. Helens is an active stratovolcano located in Skamania County, Washington, in the Pacific Northwest region of the United States.
The volcano is in Cascade of mountains.
It is part of the Cascade Volcanic Arc in the Pacific Ring of Fire that includes over 160 active volcanoes.
97. The National Achievement Survey (NAS) has been launched by _________.
A. AISSE
B. NCERT
C. RDF
D. ICSE
Solutions
National Achievement Survey (NAS), the largest ever assessment survey on national level was conducted by NCERT. NAS was conducted for the Classes 3, 5 and 8 in government and government-aided schools. The survey is to ascertain learning level of students. The inferences drawn from the analytical reports will be used to design classroom interventions.
98. Where is the famous “Rock Garden” located?
A. Chennai
B. Chandigarh
C. Amritsar
D. Mahabalipuram
Solutions
- The famous “Rock Garden” is located in Chandigarh.
- It is completely built of industrial and home waste and thrown-away items.
- Nek Chand Saini is known for building the Rock Garden of Chandigarh.
99. The Concept of Public Interest Litigation was originated in which country?
A. U.S.
B. Australia
C. Brazil
D. Canada
Solutions
- The term Public Interest Litigation (PIL) was originated in the United States in the mid-1980s.
- The Public interest Litigation is a litigation filed in a court of law, for the protection of “Public Interest”, such as Pollution, Terrorism, Road safety etc.
- It also functions as an effective instrument for changes in the society or social welfare.
100. How much would a 78 kg man weight on the moon? Take g = 1.63 m/s2.
A. 125.38 N
B. 126.76 N
C. 123.25 N
D. 127.14 N
Solutions
Given the weight of a man on the moon, M = 78 kg
We know that, W = Mg
W = (78 × 1.63) = 127.14 N
101. Which among the following is the ICICI bank’s app for remittances?
A. PhonePe
B. Money2India
C. Tez
D. Happay
Solutions
ICICI Bank launched a service which enables Non-Resident Indians (NRIs) to send money to a beneficiary in India using social media platforms like WhatsApp and e-mail. This first-of-its-kind service known as ‘Social Pay’ is available on Money2India (M2I), the bank’s app for remittances. ‘Social Pay’ embraces the medium as a way to simplify money transfers, adding to customer convenience.
102. How many Indian States and Union Territories share the Indian coastline?
A. 9 States and 5 Union Territories
B. 12 States and 3 Union Territories
C. 7 States and 5 Union Territories
D. 5 States and 3 Union Territories
Solutions
Gujarat, Maharashtra, Goa, Karnataka, Kerala, Tamil Nadu, Andhra Pradesh, Odisha and West Bengal.
Union Territories: Pondicherry, Andaman and Nicobar, Lakshadweep, Daman and Diu
103. Which of the following is not a natural source of hydrocarbon?
A. Natural Gas
B. Coal
C. Petroleum
D. Mica
Solutions
There are three main natural sources of hydrocarbons: natural gas, petroleum and coal. Mica is not a source of hydrocarbon.
104. Which of the following substance’s smell is similar to Ethanoic acid?
A. Tomato juice
B. Kerosene
C. Vinegar
D. Lemon
Solutions
Vinegar essentially contains substantial amount of ethanoic acid or acetic acid which can range from 5 to 20%. This gives the vinegar a smell which is similar to Ethanoic acid.
105. Which among the following foreign countries was the first one to trade with India?
A. England
B. Netherlands
C. France
D. Portugal
Solutions
The first European country to establish trade with India was Portugal when in 1498, Vasco Da Gama, a Portuguese explorer came to India through Kerala. After Portugal, other European countries like England, Spain, Italy and France also came to establish trade with India.
106. How do Saprophytes obtain their food?
A. Living plants
B. Living animals
C. Dead and decaying material
D. Inorganic chemical compounds
Solutions
Saprophytes such as fungi and mushroom lack chlorophyll and hence cannot prepare their food. They obtain nutrients from dead and decaying matter. The saprophytes secrete digestive juices on dead and decaying matter and convert it into a solution.
107. Among the following, who has became the first-ever Indian to win gold in javelin throw at the Commonwealth Games?
A. Devender Singh
B. Devendra Jhajharia
C. Kashinath Naik
D. Neeraj Chopra
Solutions
Neeraj Chopra became the first-ever Indian to win gold in javelin throw at the Commonwealth Games. The 20-year-old junior world record holder hurled the javelin to a distance of 86.47m to bag India’s 21st gold at the Commonwealth Games 2018. The medal was India’s first gold and overall third in athletics at CWG 2018.
108. Which one of the following dances is from the state of Odisha?
A. Kuchipudi
B. Bharatanatyam
C. Odissi
D. Mohiniyattam
Solutions
| Odissi | Classical dance that originated in the Hindu temples of Odisha |
| Kuchipudi | Classical dance that originated in a village named Kuchipudi in Andhra Pradesh |
| Bharatanatyam | Classical dance that originated in Tamil Nadu. |
| Mohiniyattam | Classical dance that originated in Kerala |
109. Under Budget 2018, the deduction available for health insurance premium and medical expenditure has been raised from ₹30,000 to ________.
A. Rs 40,000
B. Rs 50,000
C. Rs 45,000
D. Rs 55,000
Solutions
Mr. Jaitley made an effort to ease the cash flows of senior citizens that are largely dependent on interest income. The exemption limit on interest income on bank and post office deposits has been raised from ₹10,000 to ₹50,000 a year. The deduction available for health insurance premium and medical expenditure has been raised from ₹30,000 to ₹50,000.
110. What impact did the boycott of foreign cloth during the Non-cooperation Movement make?
A. Was not agreeable to the masses
B. Had little impact on the economy
C. Made the government relax controls on exports of Indian goods
D. Caused a striking fall in the value of imports of foreign cloth in 1921-22
Solutions
The success of the revolt was a total shock to British authorities and a massive encouragement to millions of Indian nationalists.
111. Which of the following is India’s maximum northern latitude?
A. 35 degree 6 minutes
B. 37 degree 8 minutes
C. 37 degree 6 minutes
D. 8 degree 4 minutes
Solutions
India’s maximum northern latitude in J&K is 37 degree 6 minutes. India extends between 8 degree 4 minutes and 37 degree 6 minutes.
112. Which of the following deficiencies is the cause of Anemia?
A. Vitamin A
B. Vitamin B
C. Vitamin C
D. Vitamin B12
Solutions
- Lack of vitamin B12 causes Anemia.
- Anemia is a condition where there is a low red blood cell count or low haemoglobin level.
- Patients suffering with anemia feel tired, fatigue easily, appear pale, develop palpitations, and become short of breath.
113. Pygmalion point is:
A. The northern most point of India
B. The southern most point of India
C. The eastern most point of India
D. The western most point of India
Solutions
Indira Point, the southernmost point of India in the Andaman and Nicobar Islands is also called as Pygmalion Point
114. Which of the following phenomena makes endoscopy possible?
A. Interference
B. Scattering of light
C. Total internal reflection
D. Diffraction
Solutions
Total internal reflection is a phenomenon in optics which a light ray reaching a medium boundary at greater than the critical angle is completely reflected in the same medium. An endoscope is an instrument used by doctors to examine the inside of the body. It consists of a bundle of optical fibres so as to transmit the image of organs around the corners.
115. Who discovered the nucleus of a cell?
A. Robert Hooke
B .Theodor Schwann
C .Robert Brown
D .Thomas Morgan
Solutions
| Persons | Discovery |
| Robert Hooke | Used the word ‘cell’ as the basic unit of life |
| Robert Brown | Nucleus |
| Theodor Schwann | Cell theory |
| Thomas Morgan | Chromosome theory of heredity |
116. Regur Soil is also known as _______
A Red Soil
B. Black Soil
C. Arid Soil
D. Mixed Red – Yellow Soil
Solutions
Black soil is also called Regur soil. It is black in colour and ideal for growing cotton. This type of soil is typical of the Deccan trap (Basalt) region spread over North – West Deccan plateau and is made up of lava flows.
117. ‘WINGS INDIA 2018’ has been organized by ________.
A. Ministry of Civil Aviation and Airport Authority of India and FICCI
B. Ministry of Commerce and Ministry of Defence
C. Niti Aayog
D. Ministry of Home Affairs and Bureau of Civil Aviation
Solutions
The four-day biennial event ‘WINGS INDIA 2018′, jointly organized by Ministry of Civil Aviation and Airport Authority of India and FICCI took off in Hyderabad. WINGS INDIA 2018 is a platform for interactions, forging alliances, investments and air connectivity between the States and the global aviation players & stakeholders. The theme of the event is ‘India-Global Aviation Hub’.
118. On the bank of which river is Budapest located?
A. Tigris
B. Hudson
C. Nile
D. Danube
Solutions
- The Budapest is located on the banks of Danube river.
- Budapest is the capital city of Hungary.
- The Danube is Europe’s second longest river, after the Volga and flows through 10 countries.
119. Which among the following is the name given to the cursor for the computer language ‘LOGO’?
A. Robot
B. Frog
C. Spider
D. Turtle
Solutions
LOGO was designed in 1967 as an educational programming language. It became famous for its use of turtle graphics with a small cursor in the form of a robot called turtle.
120. Which is the only car in India named after Mr. Sumant Moolgaokar?
A. Tata Sumo
B. Hyundai Santa Fe
C. Tata Safari
D. Hyundai Santro
Solutions
Sumant Moolgaokar was an Indian industrialist who worked with a number of car companies but was chiefly associated with Tata Motors. Tata Sumo vehicle was named after him when he was heading Tata Motors as the MD.








