1.MABELA, MABLE, MABUSE, MABEPEARLIf the above given words are arranged in the dictionary, then the last word is:
A. MABELA
B. MABLE
C.MABUSE
D. MABEPEARL
Solutions
The dictionary order of the given words is as follows,
MABELA
MABEPEARL
MABLE
MABUSE
Thus the last word as per dictionary order is MABUSE.
2. Which of the following is a velocity-time graph for uniform motion of a car?
A. 
B. 
C. 
D. 
Solutions
The Correct Answer is Option 1 i.e

- The slope of a Velocity–time graph of an object moving with uniform velocity is a straight line and parallel to x-axis when velocity is taken along the y-axis and time is taken along the x-axis.
- It is the graph of velocity against time. It shows how the velocity changes with respect to time.
- The slope of a velocity-time graph determines its acceleration.
Calculation of distance using velocity-time graph:
Let two points A and B on the slope of the graph.
3. The work done in one complete revolution of the moon around the earth is equal to:
A. Zero
B. Gravitational force × diameter of the orbit of the moon
C. Centripetal force × radius of the orbit of the moon
D. Gravitational force × circumference of the orbit of the moon
Solutions
- The formula for Work done (W) = Fd cos θ,
- Where F = Force applied
- d = displacement of the object
- In the present case, after one complete revolution of the moon around the earth the displacement (d) would be zero.
- Thus, Work done = Fd cos θ
= zero (as d = zero).
- So, the work done in one complete revolution of the moon around the earth is equal to Zero.
4. In plants, the carbohydrates which are NOT used immediately are stored in the form of:
A. Fatty acids
B. Fats
C. Amino acids
D. Starch
Solutions
The plants store their carbohydrates in terms of their usage in the life cycle of the organism.
The carbohydrates which are NOT used immediately are stored in the form of Starch in the plants.
The Fats are stored in the Adipose Tissues of the living organisms which are located beneath the upper layer of the skin.
Adipose Tissues provide energy when the reserves of the carbohydrates are exhausted and are the ‘energy bank’ of the last resort.
5. Which one of the following triad represents Dobereiner’s Triad?
A. Na, Sr, Br
B. Li, K, Na
C. Li, Ca, C1
D. Li, Na, K
Solutions
- The Triad in the present case is Li, Na, K (Lithium, Sodium, Potassium)
- Dobereiner’s Triad refers to such a thread of elements where the atomic mass of the middle element of a triad is the arithmetic mean of the atomic masses of the other two elements.
- In the present case, the atomic mass of the elements is as follows:
- Atomic Mass of Li = 7, Atomic Mass of Na = 23 and Atomic Mass of K = 39.
- Sum of Atomic Masses of Li and K = 7 + 39 = 46
- Arithmetic Mean will be 23 which is the Atomic Mass of Na.
- Thus, Triad in the present case is Li, Na, K (Lithium, Sodium, Potassium).
6. Use each of the following figures only once and form three groups. The three groups thus formed are:

A. (1, 5, 9), (2, 6, 7), (4, 3, 8)
B. (1, 5, 7), (2, 3, 9), (4, 6, 8)
C. (1, 5, 7), (2, 6, 8), (4, 3, 9)
D. (1, 5, 7), (2, 6, 9), (4, 3, 8)
Solutions
The given figure 1, 5 and 7 have two diagonal lines intersecting each other and one shape inside the bigger figure. So they form a group.
Figure 2, 6 and 9 have two diagonal and one vertical line intersecting each other with a smaller shape inside the figure. So they form a group.
Figure 3, 4 and 8 have one vertical and one horizontal line intersecting each other with a shape inside the figure so they form a group.
Thus the set that forms groups are (1, 5, 7), (2, 6, 9), (4, 3, 8).
7. As per the given Venn diagram, the total number of students who play Cricket as well as Football but not Kabaddi is ______.

A. P
B. V
C. T
D. R
Solutions
The total number of students who play Cricket as well as Football but not Kabaddi is represented by the letter which is in intersection of Cricket and Football but not in Kabaddi, which is V.
8. One-third of Poojitha’s age three years ago plus one-half of her age two years from now is twenty years. How old is he now?
A. 25 years
B. 23 years
C. 26 years
D. 24 years
Solutions
Let Poojitha’s age be ‘x’ years,
One-third of Poojitha’s age three years ago plus one-half of her age two years from now is twenty years,
⇒ (x – 3)/3 + (x + 2)/2 = 20
⇒ 2x – 6 + 3x + 6 = 120
⇒ x = 24
∴ Poojitha’s present age is 24 years.
9. One of the most famous speeches in U.S. Presidential history is ‘The Gettysburg Address’. Name the US President who gave this epochal speech.
A. John F. Kennedy
B. George Washington
C. Theodore Roosevelt
D. Abraham Lincoln
Solutions
- The famous speeches in U.S. Presidential history is ‘The Gettysburg Address’ was given by Abraham Lincoln.
- In his speech, Lincoln rejected slavery during the Civil War.
- The speech was given on 19th November 1863 after the armies of the Union had defeated the armies of the Confederacy.
- He said, “Civil War was not just an effort to preserve the Union, but to bring ‘equality’ to all the citizens.”
10. Ravichandran Ashwin became the fastest player in the world (in terms of number of test matches) to get 300 wickets in test cricket in November 2017. Whose record did Ashwin break?
A. Dennis Lillee
B. Malcolm Marshall
C. Muthiah Muralitharam
D. Richard Hadlee
Solutions
- Ravichandran Ashwin became the fastest player to get 300 wickets in test cricket in November 2017. He broke the record of Dennis Lillee of Australia.
- This record was earlier held by Dennis Lillee of Australia who reached this record in 56 tests.
- Ravichandran Ashwin became the quickest bowler to reach 300 test wickets in just 54 tests.
- He reached this milestone in the Second Test of India versus Sri Lanka in Nagpur on 27th November 2017.
11. A ball of 0.1 kg is dropped from rest. When it falls through a distance of 2 m, the work done by the force of gravity is (g = 9.8 m/s2):
A. -1.96 J
B. 1.96 J
C. 0.98 J
D. -0.98 J
Solutions
- The work done by the force of gravity is 1.96 J.
- The Work done = fs,
- Where f = force acting on the object and s = displacement (Displacement of the ball is 2 m)
- Now, Force (f) = ma,
- Where m = mass of the object and a = acceleration due to gravity
- Force in present case = ma = 0.1 kg × 9.8 m/s2
- Thus, Work would be = fs = m × a × s
= 0.1 × 9.8 × 2 = 1.96 J.
12. If WASP STINGS HARD is coded as @%Z, HARD TO HEAL is coded as Z65 and HEAL LONG TIME is coded as 896, what is the code the HARD?
A. 5
B. @
C. 9
D. Z
Solutions
The given information can be represented as,
WASP STINGS HARD → @%Z
HARD TO HEAL → Z65
HEAL LONG TIME → 896
If we compare 1st and 2ndstatement then the only common letter is Z.
Thus,code for HARD is Z.
13. How many kilometres are there in one metre?
A. 0.01
B. 0.0001
C. 0.1
D. 0.001
Solutions
- There are 0.001 kilometres in one metre.
- One kilometre consists of 1000 metres.
- So, one metre would have 1/1000 kilometres
= 0.001 kilometres
Thus, there are 0.001 kilometres in one metre.
14. In the circle below, chord
is extended to meet the tangent
at D. If
=5cm and
=6cm, find the length of
.

A. 6 cm
B. √30 cm
C. 4 cm
D. 5 cm
Solutions
DB × DA = DE2
⇒ DB × (5 + DB) = 62
⇒ DB × (5 + DB) = 36
∴ BD = 4 cm
15. Which of the following will give a terminating decimal?
A. 12/36
B. 9/36
C. 3/36
D. 6/36
Solutions
Option 1: 12/36 = 1/3 = 0.3333333…..
Option 2: 9/36 = 1/4 = 0.25
Option 3: 3/36 = 1/12 = 0.0833333…
Option 4: 6/36 = 1/6 = 0.166666….
∴ 9/36 gives a terminating decimal
16. Find the missing word for the related pair.
Road : Car ∷ Sea : ?
A. Fish
B. Water
C. River
D. Ship
Solutions
Car runs on road. Similarly, ship runs on sea.
Thus, Sea is related to Ship.
17. Consider the given question and decide which of the following statements is sufficient to answer the question.
What is the colour of the granite in the kitchen?
Statements:
1. The colour of the granite is the colour of the wall.
2. The colour of the granite is very bright.
A. Neither 1 nor 2 is sufficient to answer the given question.
B. 1 alone is sufficient while 2 alone is not sufficient to answer the given question.
C. 2 alone is sufficient while 1 alone is not sufficient to answer the given question.
D. Both 1 and 2 are sufficient to answer the given question.
Solutions
In Conclusion 1, the colour of granite is same as of wall, but we don’t know about the colour of the wall. So, this conclusion is not sufficient to tell the colour of granite.
In conclusion 2, the colour of granite is bright, but we don’t know the exact colour of granite. So, this conclusion is not sufficient to tell the colour of granite.
Thus, neither conclusion 1 nor 2 is sufficient to answer the given question.
18. A wheel has diameter 84 cm. The number of complete revolutions it will take to cover 792 m is:
A. 300
B. 350
C. 330
D. 320
Solutions
Diameter of wheel = 42 cm
Radius of wheel = 42 cm
Circumference of wheel = 2πr
Distance = 792 m = 79200 cm
Number of revolutions, n = distance/2πr
⇒ n = 79200/ {2 × (22/7) × 42}
∴ Number of revolutions, n = 300
19. Which of the following gases turns lime water milky?
A. O3
B. CO
C. O2
D. CO2
Solutions
- CO2 gases turn lime water milky.
- The chemical formula for lime water is Ca(OH)2 .
- When CO2 is added to lime water, the Calcium Carbonate is formed which forms milky solution in water.
- Ca(OH)2(aq) + CO2(g) → CaCO3(s) + H2O(l)
- Thus, CO2 gases turn lime water milky due to the formation of Calcium Carbonate.
20. Ammonium nitrate, on thermal decomposition, produces:
A. NH3 and NO
B. N2O and H2O
C. N2 and H2O
D. NH3 and NO2
Solutions
Ammonium nitrate (NH4NO3), on thermal decomposition, produces N2O and H2O.
The result of the reaction is the formation of Nitrous Oxide (N2O) and Water (H2O).
NH4NO3 → N2O + 2H2O
Thus, N2O and H2O is formed on thermal decomposition of Ammonium Nitrate.
21. The Dr. B. C. Roy awards, instituted in 1962, are given to eminent achievers primarily from which field?
A. Law
B. Medicine
C. Journalism
D. Sports
Solutions
The correct answer is Medicine.
Important Points
- The Dr B. C. Roy awards, instituted in 1962, are given to eminent achievers in the field of Medicine.
- The awards are named after the noted doctor Bidhan Chandra Roy.
- The Medical Council of India confers the awards to the experts of the field.
- In 2018, they were given to H. S. Shashidhar and BK Mishra for their eminent contribution to the field of medicine.
22. Consider the given statement to be true and decide which of the conclusion(s) logically follow(s) from the statement.
Statement:
Weight is also a force.
Conclusions:
1. The unit of weight is Newton.
2. The unit of weight is Kilogram.
A. Both conclusions 1 and 2 follow
B. Only conclusion 1 follows.
C. Only conclusion 2 follows.
D. Neither conclusion 1 nor 2 follows.
Solutions
Since the statement says that weight is a force, we can conclude they have the same units of measurement.
Therefore, the unit of weight would be Newton.
Thus, conclusion 1 follows.
However, the information given is not sufficient to decide that Kilogram is the unit of weight.
Hence, only conclusion 1 follows.
23. A total amount of Rs. 1560 is to be divided among A, B and C such that A gets 50% of what B gets and B gets 20% of what C gets. How much will B get?
A. Rs. 540
B. Rs. 440
C. Rs. 280
D. Rs. 240
Solutions
Let C = 100x
A gets 50% of what B gets and B gets 20% of what C gets,
⇒ B = 20x and A = 10x
Total amount = Rs. 1560
⇒ 130x = 1560
⇒ x = 12
∴ B gets = Rs. 240
24. Given 17 × 29 = 493, then 170 × 0.029 = ?
A. 0.493
B. 4.93
C. 49.3
D. 0.0493
Solutions
17 × 29 = 493,
⇒ 170 × 0.029 = 17 × 29 × 10/1000 = 4.93
25. In a computer game, there are builders and destroyers. Together there are 20 of them. Some of them try to build a wall around a castle while the rest try to demolish it. Each of the builders can build the wall alone in 15 hours while any of the destroyers can demolish it in 10 hours. If all 20 builders and destroyers are made active when there is no wall and the wall get built in 3 hours, how many of them are destroyers?
A. 7
B. 5
C. 8
D. 6
Solutions
Let the total work be 30 units, (LCM of 15 and 10)
Each of the builders can build the wall alone in 15 hours while any of the destroyers can demolish it in 10 hours, and when they work together the wall gets built in 3 hours,
⇒ 1 hour work of Builder and Destroyer = 30/3 = 10 units
⇒ 1 hour work of Builder = 30/15 = 2 units
⇒ 1 hour work of Destroyer = 30/10 = -3 units
⇒ Difference between the work done = 10
Let the number of destroyers be x and number of builders be (20 – x),
⇒ 2(20 – x) – 3x = 10
⇒ x = 6
∴ Number of destroyers is 6.
26. X leaves his house facing west, drives 100 km, then turns right and drives 100 km. He then turns left and drives 50 km. In which direction is X facing in relation to his starting point?
A. North west
B. North east
C. South west
D. South east
Solutions
The given information can be represented as,

Thus X is to the north-west direction with respect to its start point.
27. The square root of 27225 is:
A. 165
B. 175
C. 155
D. 145
Solutions
Square root of 27225
Using factorization:
27225 = 3 × 3 × 5 × 5 × 11 × 11
∴ Square root will be = 3 × 5 × 11 = 165
∴ √27225 = 165
28. Which of the following is a Non-Luminous body?
A. Glowing bulb
B. Burning candle
C. Firefly
D. Moon
Solutions
- Amongst the following options, Moon is the Non-Luminous body.
- The Luminous Body is an object which emits its own light and shines as a result of it.
- Glowing Bulb and Burning Candle produces light due to the conversion of the heat energy into light energy.
- Firefly emits light due to the phenomenon of bioluminescence.
- Moon does not produce its own light and shines in the light reflected from the sun.
- Thus, the Moon is the Non-Luminous body.
29. Which of the following is not the properties of an ionic compound?
A. Low melting and boiling points
B. Solid and hard
C. High melting and boiling points
D. Soluble in water and insoluble in petrol
Solutions
- The properties of the ionic compounds include:-
- Solid structure and hard surface
- High Melting and boiling points
- Solubility in water
- The ionic compounds have high melting and boiling points due to the strong forces of attraction present between the particles of the compound.
- The ionic bonding grants strength to the structure.
- Thus, Low melting and boiling points are not the property of an ionic compound.
30. The difference between Charles’ and Shriya’s ages is 6 years. When they married each other 30 years ago, 4 times Cahrle’s age was the same as 5 times the age of Shriya. What is the current sum of their ages?
A. 114 years
B. 110 years
C. 112 years
D. 115 years
Solutions
The difference between Charles’ and Shriya’s ages is 6 years,
⇒ C – S = 6 —-(1)
When they married each other 30 years ago, 4 times Cahrle’s age was the same as 5 times the age of Shriya,
⇒ 4(C – 30) = 5(S – 30)
⇒ 4C – 120 = 5S – 150
⇒ 5S – 4C = 30 —-(2)
From equation 1 and 2,
C = 60 and S = 54
∴ Sum of their current age = 114 years
31. Name the type of mirror used in the headlight of vehicles:
A. Plane mirror
B. Concave mirror
C. Convex mirror
D. Plano-convex mirror
Solutions
The Concave mirror is used in the headlights of the vehicles.
The headlights need to cover a large area in order to view the road in front of the vehicle.
The Concave Mirror disperses the light rays.
Due to the dispersion of the light, the rays spread in a large area in front of the vehicle.
Thus, the Concave mirror is correct answer.
32. Which of the following statements is INCORRECT?
A. Solids have a definite volume
B. Solids have an indefinite shape
C. Solids are rigid
D. Solids are almost incompressible
Solutions
- The properties of solids are as follows:-
- Solids have a definite shape
- Solids have a definite volume
- Solids are rigid in structure.
- The particles in solids are closely packed, thus, they are hard in structure.
- Solids unlike liquids and gases have a definite shape as the constituent particles are incompressible.
- Thus, solids do not have an indefinite shape.
33. Select the odd figure out of the given series.

A. 4
B. 1
C. 3
D. 2
Solutions
In alphabetical series M is on 13th position, W is on 23rd position and J is on 10th position. But E is not on 20th position.
Thus third figure is the odd one out.
34. Who is the Chief Executive Officer (CEO) of JP Morgan India as of February 2018?
A. Usha Ananthasubramanian
B. Kalpana Morparia
C. Shanthi Ekambaram
D. Naina Lal Kidwai
Solutions
The Chief Executive Officer (CEO) of JP Morgan India as of February 2018 is Kalpana Morparia.
The earlier CEO of JP Morgan In Southeast dia Madhav Kalyan has been elevated as the head of corporate banking in South and South East Asia.
Kalpana Morparia has been promoted to the position of CEO as a result in February 2018.
Thus, Kalpana Morparia is the correct answer.
35. Which one of the following elements has the lowest atomic mass?
A. Nitrogen
B. Helium
C. Lithium
D. Hydrogen
Solutions
- The lowest atomic mass of the elements is hydrogen.
- The Atomic Mass is the sum of the mass of protons and neutrons present in the atom of the element.
- The atomic mass of hydrogen is 1 unit, Helium is 4 units, Lithium is 6 units and that of Nitrogen is 14 units.
- The elements are arranged in the periodic table in the increasing order of their atomic masses.
- Hydrogen is the first element in the Periodic Table.
36. Read the given question and decide which of the following argument(s) is/are correct.
Hydrogen is in a cylinder.
Argument 1: Hydrogen is in a liquid state.
Argument 2: Hydrogen is in a gaseous state.
A. Neither argument 1 nor 2 is correct
B. Only argument 1 is correct
C. Only argument 2 is correct
D. Ether argument 1 or 2 is correct.
Solutions
Hydrogen is in cylinder, but it can be in either liquid or gaseous state.
Thus, either argument 1 or 2 is correct.
37. The second equation of motion gives the relation between:
A. Velocity and acceleration
B. Velocity and time
C. Position and velocity
D. Position and time
Solutions
- The second equation of motion gives the relation between the position and time.
- The equation is
- s = ut + ½ at2 where,
- s = distance traveled by the object, (position of the object)
- u = initial velocity
- t = time
- a = acceleration of the object
- Thus, the relation between the position and time is given by the second equation of motion.
38. The amount of BaSO4 formed on mixing an aqueous solution of 2.08 gm of BaCl2 excess of dilute H2SO4 is _______.
(atomic weights: Ba = 137, Cl = 35.5, S = 32, O = 16)
A. 2.33 g
B. 2.08 g
C. 23.3 g
D. 1.04 g
Solutions
- The reaction taking place is:-
- BaCl2+ H2SO4 → BaSO4 + 2HCl
- The mass of one mole of BaCl2 will be = 137 + 35.52 × 2
= 137 + 71.04 = 208 g/mol
- The molar mass of BaSO4 is 137 + 32 + 16 × 4 = 233 g/mol
Now, from the above balanced reaction,
Since, 208 g of BaCl2 produces = 233 g of BaSO4
So, 1 g of BaCl2 produces =233/208 g of BaSO4
hence, 2.08 g of BaCl2 will produce = 233/208×2.08 g of BaSO4
2.08 g of BaCl2 will produce = 2.33 g of BaSO4
Therefore, option (1) is correct.
39. In ΔABC, AB = 8 cm. ∠A is bisected internally to intersect BC at D. BD = 6 cm and DC = 7.5 cm. What is the length of CA?
A. 12 cm
B. 12.5 cm
C. 10.5 cm
D. 10 cm
Solutions
Given:
In ΔABC, AB = 8cm
∠A bisected internally to intersect BC at D.
AB = 8 cm, BD = 6 cm and DC = 7.5 cm
Concept used:

In a triangle, the angle bisector of an angle is divides the opposite side to the angle in the ratio of the remaining two sides.
AB/AC=BD/DC
Calculation:
AB = 8 cm, ∠A is bisected internally to intersect BC at D,
⇒ AB/AC = BD/CD
⇒ 8/AC = 6/7.5
∴ AC = 10 cm
40. Select the missing figure based on the given related pair of figures.

A. 
B. 
C. 
D. 
Solutions
Juice is made from fruits and apple is a fruit. Similarly, wool yarn comes from sheep.
41. A sum of money invested for 2 years and 9 months at the rate of 8% simple interest per annum became Rs. 732 at the end of the period. What was the sum that was initially invested?
A. Rs. 600
B. Rs. 575
C. Rs. 500
D. Rs. 550
Solutions
Let the sum invested be Rs. P
Amount = Rs. 732, Rate = 8% and Time = 2 + 9/12 years = 11/4 years
⇒ SI = A – P = 732 – P
⇒ SI = P × R × T/100
⇒ (732 – P) = P × R × T/100
⇒ (732 – P) = P × 8/100 × 11/4
∴ Sum invested, P = Rs. 600
42. Direction: Study the table given below and answer the following question.
| City | Population | Literate | Illiterate | % of literates |
| A | 200 | 150 | 50 | – |
| B | – | 200 | 100 | 66.6 |
| C | 150 | 50 | 100 | – |
| D | 120 | – | 90 | 25 |
Based on the given data, the total percentage of literates in the four cities together, round to one decimal, is ______.
A. 55.7
B. 55
C. 55.8
D. 55.9
Solutions
Population of City A = 200
Literates in City A = 150
Population of City B = 200/ (2/3) × 100 = 300
Literates in City B = 200
Population of City C = 150
Literates in City C = 50
Population of City D = 120
Literates in City D = 120 × 25/100 = 30
⇒ Total population of all the city = 770
⇒ Total Literate population of all the city = 430
∴ Literate Population = 430/770 × 100 = 55.84%
43. Find the first negative term of the below A.P.129, 120, 111, 102, …
A. 15th term
B. 14th term
C. 16th term
D. 13th term
Solutions
Series 129, 120, 111, 102, …
Common difference, d = -9, First term, a = 129
For negative term, Tn = a + (n – 1)d< 0
⇒ 129 + (n – 1)(-9) < 0
⇒ 129 – 9n + 9 < 0
⇒ 138 – 9n < 0
⇒ -9n < -138
⇒ 9n > 138
⇒ n > 15.33
∴ 16th term is the first negative term.
44. The given problem figure is embedded in one of the given answer figures. Which is that answer figure?

A. A
B. D
C. C
D. B
Solutions
The figure D has the same geometry as the question image as shown below.

Thus, figure D is the answer.
45. 3rd January 2018 was a Wednesday. Which of the following years will also have 3rd January on a Wednesday?
A. 2022
B. 2023
C. 2020
D. 2024
Solutions
When we proceed forward by one year, then 1 day is gained and vice versa. When we proceed forward by one leap year, then 2 days are gained and vice versa.
If any year is divided by 4 without any reminder then that year is known as a leap year.
2018/4 = 504 and the remainder is 2. So this year is not a leap year.
2018 is not a leap year, so 3rd January 2018 is Wednesday.
2019: not a leap year, so 3rd January 2019 is Thursday,
2020: a leap year, so 3rd January 2020 is Friday.
2021: not a leap year, 3rd January 2021 is Sunday.
2022: not a leap year, 3rd January 2022 is Monday.
2023: not a leap year, 3rd January 2023 is Tuesday.
2024: a leap year, 3rd January 2024 is Wednesday.
Thus 3rd January 2024 is a Wednesday.
46. Solve the following. ![]()
A. 37
B. 29
C. 30
D. 14
Solutions
![]()
By BODMAS,
⇒ {30 – (12 × 8 ÷ 2 ÷ 3)} = ?
⇒ {30 – (12 × 4 ÷ 3)} = ?
⇒ {30 – (12 × 4 ÷ 3)} = ?
∴ ? = 14
47. Which Indian female mountaineer recently created the fastest record of scaling Mount Everest back-to-back twice within 5 days?
A. Bachendri Pal
B. Premlatha Agarwal
C. Arunima Sinha
D. Anshu Jamsenpa
Solutions
Anshu Jamsenpa created the fastest record of scaling Mount Everest back-to-back twice within 5 days.
She scaled the Everest on 16th May 2017 and again on 21st May 2017 to set the record.
She runs a travel business with her husband and is a mother of two children.
Earlier the record was held by Nepalese climber Chhurim Sherpa in 2012.
48. Who is the Deputy Chief Minister of Bihar ?
A. Ram Vilas Paswan
B. Sushil Kumar Modi
C. Lalu Prasad Yadav
D. Shatrughan Sinha
Solutions
- Sushil Kumar Modi is the Deputy Chief Minister of Bihar as of February 2018.
- He is holding the post since 27th July 2017.
- The Chief Minister is Nitish Kumar.
Important Points
The current Deputy Chief Minister of Bihar is Tejashwi Yadav.
49. The process of taking up a permanent shape, size, and function to form a permanent tissue is called:
A. Differentiation
B. Formation
C. Calcification
D. Unification
Solutions
Differentiation is the process of taking up a permanent shape, size, and function to form a permanent tissue.
During the process of differentiation, cells combine to form a specific tissue.
The tissue acquired a specialized function as a result.
The process of differentiation usually takes place during the stage of embryonic development.
50. Select the figure which does NOT belong to the group.

A. C
B. B
C. A
D. D
Solutions
Figure B, C and D have vertical or horizontal lines but in the figure A the lines are in the diagonal direction.
Thus, figure A does not belong to the group.
51. Which of the options depicts the correct mirror image of the given figure?

A. 
B. ![]()
C. 
D. ![]()
Solutions

Thus, the mirror image of the given image is at option 4.
52. Which of the following options correctly describes the given statement?
Statement:There are four rooks in a game of chess.
A. Never
B. Sometimes
C. Always
D. Often
Solutions
In a game of Chess there are 2 kings, 2 queens, 4 rooks, 4 bishops, 4 knights and 16 pawns.
It’s a truth that there are 4 rooks. And game can’t be played by less than 4 number of rooks.
Often is a adverb meaning “many times on different occasions”, but rooks should always be there while playing a game. So, we can’t use sometimes and often.
There are always four rooks in a game of chess.
53. Consider the given statement as true and decide which of the given conclusions can definitely be drawn from the given statements:
Statement:
All rivers are holy. All gods are holy.
Conclusion:
1. All rivers are gods.
2. All gods are rivers.
A. Neither 1 or 2 follows
B. Only conclusion 1 follows
C. Only conclusion 2 follows
D. Both 1 and 2 follows
Solutions
The least possible Venn diagram for the given statements is as follows,

Conclusion:
1. All rivers are gods → it’s possible but not definite, thus false.
2. All gods are rivers → it’s possible but not definite, thus false.
Thus, neither conclusion 1 nor 2 follows.
54. Ryaan is Vehaan’s mother’s sister’s father’s only son’s son. How is Ryaan related to Vehaan?
A. Cousin
B. Nephew
C. Uncle
D. Son
Solutions
The given information can be represented as,


Thus, Ryaan is Vehaan’s cousin.
55. Dakshin Gangotri is a research base station set up by Indian scientists. Where is it located?
A. Cauvery Basin
B. Sri Lanka
C. Sundarbans Delta
D. Antarctica
Solutions
Dakshin Gangotri is a research base station set up by Indian scientists in Antarctica.
It was administered by the Indian Antarctic Program under the National Centre for Antarctic and Ocean Research (NCAOR).
It started functioning on 26th January 1984.
It is located around 2500 km from the South Pole and is used for research about climate change and ocean topography.
56. The ratio of the heights of Nani and Leelu is 4 : 3. If Leelu is 1.2 m tall, then what is the height of Nani?
A. 1.6 m
B. 0.9 m
C. 2 m
D. 1.8 m
Solutions
Ratio of the heights of Nani and Leelu is 4 : 3 and Leelu is 1.2 m tall,
⇒ Height of Nani = 1.2/3 × 4 = 1.6 m
57. The SI unit of electric charge is:
A. Ampere
B. Coulomb
C. Ohm
D. Volt
Solutions
The SI unit of electric charge is the Coulomb (C).
Ampere (A) is the SI unit of the Electric current.
Ohm is the unit for the measurement of the electric resistance.
Volt (v) is the SI unit for the potential difference between two points in an electric circuit.
58. Select the appropriate combination of mathematical operators to be sequentially placed between the numbers given on the left of the following equation so that LHS = RHS.
5 * 0 * 3 * 5 = 20
A. + × –
B. – + ×
C. × + –
D. + – ×
Solutions
Let’s check each option,
+ × – : 5 + 0 × 3 – 5 = 0
– + ×: 5 – 0 + 3 × 5 = 20
× + – : 5 × 0 + 3 – 5 = -2
+ – × : 5 + 0 – 3 × 5 = -10
Thus, the correct combination is (- + ×).
59. Consider the given argument and decide which of the given assumptions is (are) implicit.
Argument:
“A visit of school students to botanical garden to widen their knowledge of natural resources has been arranged” – a message on the notice board in the school.
Assumptions:
1. Botanical gardens are full of natural resources.
2. School students are likely to understand more through interaction with the new environment.
A. Only assumption 2 is implicit
B. Both assumptions 1 and 2 are implicit
C. Only assumption 1 is implicit.
D. Neither assumption 1 nor 2 is implicit
Solutions
A botanical garden is a garden dedicated to the collection, cultivation, preservation and display of a wide range of plants labelled with their botanical names. In short it doesn’t contain all the natural resources, but only plants. So, assumption 1 is not implicit.
The second assumption provides the information regarding why the trip is being conducted, i.e., ‘students are likely to understand more by interacting with a new environment’. Hence, assumption 2 is implicit.
60. If X has two sisters – Y and Z, and W’s mother is the sister of Y’s father, then W is Z’s ______.
A. Cousin
B. Father
C. Niece
D. Mother
Solutions
The given information can be represented as,


Thus, W is Z’s cousin.
61. Which of the following does NOT act as both, metal and non-metal?
A. Boron
B. Bismuth
C. Arsenic
D. Germanium
Solutions
The correct answer is Option 2, i.e Bismuth.
The elements which show the properties of both metals and non-metals are called metalloids.
Bismuth is NOT a metalloid but a metal.
The properties depend on the conditions of temperature and pressure.
The examples of metalloids are Silicon, Germanium, Arsenic, and Boron.
62. ______ is not an endocrine gland in humans.
A. The pineal gland
B. The pituitary gland
C. The liver
D. The adrenal gland
Solutions
- The liver is not an endocrine gland in human beings.
- The Endocrine Glands fall under the endocrine system which secretes hormones.
- This hormone release directly into the blood.
- The pituitary gland is the growth hormone in human beings.
- Adrenal gland is located near the kidneys and controls the emotions and crisis situations.
- Pineal Gland is located in the brain and releases melatonin in the blood. It also controls the circadian rhythm in humans.
- Thus, the liver is the correct answer.
63. Select the number missing from the given sequence.
1, 2, 6, ______, 120, 720
A. 12
B. 24
C. 9
D. 50
Solutions
The logic here is as follows,
1 × 2 = 2
2 × 3 = 6
6 × 4 = 24
24 × 5 = 120
120 × 6 = 720
Thus, the missing number is 24.
64. A can complete a task alone in 8 days, while B takes 12 days to do it by herself. Together with C it takes them 4 days to complete the work. If C and D together can complete the task in 15 days, then how many days will D need to complete the task by herself?
A. 30
B. 40
C. 36
D. 32
Solutions
A can complete a task alone in 8 days, while B takes 12 days to do it by herself. Together with C it takes them 4 days to complete the work,
Let the total work be 24 units,
⇒ 1 day work of A = 3 units
⇒ 1 day work of B = 2 units
⇒ 1 day work of (A, B and C) = 6 units
⇒ 1 day work of C = 1 units
⇒ C takes 24 days to complete the work alone.
C and D together can complete the task in 15 days,
Let the total work be 120 units,
⇒ 1 day work of C = 5 units
⇒ 1 day work of (C and D) = 8 units
⇒ 1 day work of D = 3 units
∴ D takes 40 days to complete the work alone.
65. Which of the following films is India’s official entry to Oscars 2018?
A. Bahubali
B. A death in the Gunj
C. Newton
D. Lipstick under my Burkha
Solutions
The official entry of India into the Oscars is Newton.
It is a story of a government clerk upholding the rule of law during elections in a Naxalite affected area.
Newton has been nominated in the Best Foreign Language Film category.
It is directed by Amit V Masurkar and stars Rajkumar Rao in the main role.
66. Which of the following can inhabit the most inhabitable habitats like hot springs, deep sea, thermal vents and ice in Antarctica?
A. Bacteria
B. Viruses
C. Amoeba
D. Euglena
Solutions
- Bacteria can inhabit the most inhabitable habitats like hot springs, deep sea, thermal vents and ice in Antarctica.
- The bacteria can live in the high temperature exceeding 100⁰C like in volcanoes.
- It can also withstand extremely cold temperatures and can survive in adverse situations.
- Viruses need favourable conditions for survival and cannot live in extreme conditions.
- Amoeba cannot survive in extreme temperatures as well.
- Thus, Bacteria is the correct answer.
67. After buying a toy for Rs. 66, Raghu managed to sell it at a profit of 15%. The selling price of the toy was:
A. Rs. 75.20
B. Rs. 75.90
C. Rs. 76.90
D. Rs. 70.80
Solutions
CP of the article = Rs. 66 and profit percent = 15
∴ SP = 66 × 115/100 = Rs. 75.90
68. What does Coulomb’s Law state?
A. The magnitude of the force of attraction (or repulsion) between two-point charges is directly proportional to the product of the quantity of the two charges and to the square of the distance between them.
B. The magnitude of the force of attraction (or repulsion) between two-point charges is inversely proportional to the product of the quantity of the two charges and directly proportional to the square of the distance between them.
C. The magnitude of the force of attraction (or repulsion) between two-point charges is inversely proportional to the product of the quantity of the two charges as well as to the square of the distance between them.
D. The magnitude of the force of attraction (or repulsion) between two-point charges is directly proportional to the product of the quantity of the two charges and inversely proportional to the square of the distance between them.
Solutions
CONCEPT:
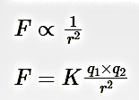
- Coulomb’s law: When two charged particles of charges q1 and q2 are separated by a distance r from each other then the electrostatic force between them is directly proportional to the multiplication of charges of two particles and inversely proportional to the square of the distance between them.
Force (F) ∝ q1 × q2

Where K is a constant = 9 × 109 Nm2/C2
EXPLANATION:
- Coulomb’s Law talks about the magnitude of the attraction between the two charges.
- It says that the force is directly proportional to the product of the quantity of the two charges and inversely proportional to the square of the distance between them. So option 4 is correct.
69. If the number x4441 is divisible by 11, what is the face value of x?
A. 5
B. 3
C. 2
D. 4
Solutions
Divisibility rule of 11 is,
(x + 4 + 1) – (4 + 4) is divisible by 11,
⇒ For (x – 3) to be divisible by 11, x = 3
∴ Value of x = 3
70. The Indian and Japanese Prime Ministers have recently signed a high-speed rail project deal that will connect Mumbai with which major city?
A. Bangalore
B. Ahmedabad
C. Hyderabad
D. New Delhi
Solutions
India is collaborating with Japan to set up a high-speed rail link between Mumbai and Ahmedabad.
Japan will be providing soft loan for a sum of around ₹88,000 crores to India for the project.
The project is witnessing problems due to delays in the land acquisition which is pushing up the cost of the project greatly.
71. Who is the director of Indian cinema’s highest grossing film Bahubali?
A. Sanjay Leela Bhansali
B. Karan Johar
C. Gautham Vasudev Menon
D. SS Rajamouli
Solutions
- SS Rajamouli is the director of Indian cinema’s highest grossing film Bahubali.
- The Bahubali movie is the first film of the two film series.
- It was released in 2015 and starred Prabhas, Anushka Shetty and Rana Daggubhatti.
- It is based on the fiction story of the kingdom of Mahishmati.
- The second part of the series Bahubali 2: The Conclusion was released in 2017.
- Bahubali 2 is the highest grossing Indian movie of all time.
72. If ABCD is a trapezium, AC and BD are the diagonals intersecting each other at point O, then AC : BD is:
A. AB + AD : DC + BC
B. AB : CD
C. OA – OC : OB – OD
D. AD : BC
Solutions

O is the point where diagonals intersect,
AB ∥ CD
In ΔOAB and ΔOCD,
∠OAB = ∠OCD,
∠OBA = ∠ODC,
∠AOB = ∠COD,
⇒ ΔOAB and ΔOCD are similar,
⇒ OA/OC = OB/OD —-(1)
⇒ OA/OC + 1 = OB/OD + 1
⇒ AC/OC = BD/OD
⇒ AC/BD = OC/OD —-(2)
OA/OC = OB/OD = α (Let)
⇒ OA = αOC, OB = αOD
⇒ OA – OC = αOC – OC = OC(α – 1),
OB – OD = αOD – OD = OD(α – 1)
⇒ (OA – OC) / (OB – OD) = {OC(α – 1)}/{OD(α – 1)}
= OC/OD
∴ AC/BD = (OA – OC) / (OB – OD)
73. Choose the correct figure that replaces the question mark.

A. A
B. B
C. C
D. D
Solutions
We have to choose a figure that will be opposite of figure in 1st box and will join the lines to complete the figure.
Figure 4 is the figure that we need because it is facing towards the 1st box figure and joining the lines too.
74. Select the option that represents the number of triangles in the following figure.

A. 15
B. 12
C. 17
D. 16
Solutions
The figure may be labeled as below:

Staring from left the triangles in the figure are:
cbg, cdg, cag, caf, cge, cfe, cbe, cda, cae, bga, bea, afg, ade, age, gde, gef
Thus, there are total 16 triangles in the given figure.
75. The number of letters that are preceded by a symbol but not followed by a number in the given expression is ______.
$M@A#N2B4O&3C5P+D2
A. 2
B. 4
C. 1
D. 3
Solutions
The letters that are preceded by symbol but not followed by number are as shown below,
$ M @ A #N2B4O&3C5P+D2
Thus, there are 2 such letters that are preceded by symbol but not followed by number.
