1. A convex mirror of focal length f (in air) is immersed in a liquid . The focal length of the mirror in liquid (μ−4/3) will be:
A. (4/3) f
B. (3/4) f
C. (7/3) f
D. F
Solutions
The focal length of the mirrors does not depend on the refractive index of the medium.
The incident ray angle and angle of reflection will remain the same as long as the immersed object is not lens. Therefore, the focal length will remain the same as F.
2. Select the most appropriate term for the given set of items.

A. Fine arts
B. Pictures
C. Culture
D. Technology
Solutions
The images are of computer, floppy disc, compact disc and camera. All these are electronic devices which are used in our daily life. These devices are part of technology.
Thus, the appropriate term for the given set of items is Technology.
3. Who is the MD and CEO of Allahabad Bank as of March 2018?
A. Arundhati Bhattacharya
B. Chitra Ramakrishna
C. Shikha Sharma
D. Usha AnanthSubramanian
Solutions
Current MD and CEO is Mallikarjun Rao
Usha AnanthSubramanian was the MD and CEO of Allahabad Bank in March 2018.
Usha AnanthaSubramanian was appointed as an MD and CEO of Allahabad Bank in May 2017 and sacked from this position in Aug 2018. She also served as an MD and CEO of Punjab National Bank between August 2015 and May 2017.
The central government has dismissed Usha from the position of MD and CEO of Allahabad Bank on 13 Aug 2018, due to her alleged involvement in PNB scam.
4. If 9 × 6 = 45, 7 × 4 = 33 and 6 × 4 = 20, then what is the value of 5 × 3?
A. 13
B. 16
C. 24
D. 10
Solutions
The logic here is as follows,
92 – 62 = 81 – 36 = 45
72 – 42 = 49 – 16 = 33
62 – 42 = 36 – 16 = 20
Similarly,
52 – 32 = 25 – 9 = 16Thus, the value of 5 × 3 = 16.
5. Tapas, Avi and Rishi shared a cake. Tapas had 1/2 of it, Rishi had 1/3 of it and Avi had the rest. What was Avi’s share of the cake?
A. 3/5
B. 2/6
C. 3/6
D. 1/6
Solutions
GIVEN:
Tapas part in cake = 1/2
Rishi part in cake = 1/3
FORMULA USED:
Part of Avi = 1 – Part of Tapas – Part of Rishi
CALCULATION:
Let the total cake be 1 unit.
Tapas = 1/2
Rishi = 1/3
⇒ Avi = 1 – 1/2 – 1/3 = 1/6∴ Avi’s share of cake = 1/6
6. Negative acceleration occurs in the opposite direction of:
A. Velocity
B. Force
C. Distance
D. Momentum
Solutions
The correct answer is Velocity.
CONCEPT:
- Velocity: The rate of change of displacement of a body is called the velocity of that body.
- Velocity is a vector quantity that has both magnitudes as well as direction.
- Acceleration: The rate of change of velocity is called the acceleration of the body.
- Acceleration is also a vector quantity.
- Retardation/Negative acceleration: When the acceleration of the body is in the opposite direction of the velocity is called deceleration.
- It is a negative acceleration of the body.
EXPLANATION:
- The direction of acceleration is determined by the general principle that if an object is slowing down, the acceleration is in the opposite direction of the motion.
- Therefore, from this principle, it becomes clear that when an object is slowing down, the acceleration is in the opposite direction of velocity. This is a negative acceleration. So option 1 is correct.
7. Which of the following numbers will have an irrational square root?
A. 2048
B. 2401
C. 1024
D. 4096
Solutions
Checking through options:
⇒ √2048 = √(512 × 4) = √(4 × 256 × 2) = 32√2
⇒ √2401 = 49
⇒ √1024 = √(256 × 4) = 32
⇒ √4096 = √(256 × 16) = 64
∴ 2048 has irrational roots.
8. In the circle below, chord AB is extended to meet the tangent DC at D. If AB = 12 cm and DC = 8 cm, find the length of BD.

A. 4√6 cm
B. 6 cm
C. 4 cm
D. 5 cm
Solutions
According to Chord tangent theorem,
⇒ CD2 = AD × BD
⇒ 8 × 8 = (12 + BD) × BD
⇒ 12BD + BD2 = 64
⇒ BD2 + 16BD – 4BD – 64 = 0
⇒ BD(BD + 16) – 4(BD + 16) = 0
∴ BD = 4 cm
9. In which of the few process highly reactive metals are obtained from pure molten ore?
A. Calcination
B. Electrolysis
C. Roasting
D. Reduction by an appropriate reducing agent
Solutions
- Metals of high reactivity such as magnesium, calcium, sodium etc. are extracted from purified molten ore by the Electrolysis process.
- In Electrolysis (Electrolytic reduction) process, electric current is passed througcathodeh the molten state of metal ores. In this process positively charged metal is deposited over the .
Additional Information
- Calcination
- It is the process in which the ore of the metal is heated to a high temperature in the absence or limited supply of oxygen.
- The prominent use of this process is to remove carbon from limestone through combustion to yield calcium oxide.
- Carbon dioxide is given out as a by-product in the calcination process.
- Reaction- ZnCO (s) —> ZnO(s) + CO (g)
- Roasting
- It is the process in which the ore is heated to high temperatures in the presence of excess supply of air or oxygen.
- It is mostly done for sulphide ores.
- During roasting, moisture and non-metallic impurities in the form of volatile gases are released.
- Example: Roasting ZnS may yield ZnO; roasting HgS may yield free Hg metal.
- Reaction- 2ZnS(s) + 3O2 (g)—-> 2ZnO(s) + 2SO2 (g)
10. A ladder 13 m long reaches a window which is 12 m above the ground on side of a street. Keeping its foot at the same point, the ladder is turned to the other side of the street to reach a window 5 m high, then the width of the street is:
A. 17 m
B. 16 m
C. 14 m
D. 15 m
Solutions

The length of the ladder = 13 m = AC = CE
The height of the wall at which ladder touches = AB = 12m
In ΔABC,
⇒ BC2 = 169 – 144 = 25
⇒ BC = 5 m
If the ladder turn to next side,
Keeping foot at same point C and other point is D.
⇒ CE = 13
In ΔCDE,
⇒ CD2 = 169 – 25
⇒ CD = 12m
Width of street = BC + CD = 5 + 12 = 17 m
11. Which of the following is a Saprotroph?
A. Pigeon
B. Mushroom
C. Algae
D. Man
Solutions
- Saprotrophs are the organisms that feed on the dead and decaying organic mass.
- They release hydrolysing enzymes to digest the nutrients and then absorb the simple digested nutrients like monosaccharides, amino acids, glycerol’s etc.
- Examples Water molds, E.coli.
- Pigeon is omnivorous.
- Algae are autotrophs.
- Man is omnivorous.
12. An increase in price of which of these products will have a ripple effect in increasing the prices of many products, thereby resulting in inflation?
A. Automobiles
B. Petroleum
C. Smartphones
D. Medicines
Solutions
When the price of petroleum increases, it causes scarcity of the raw material. This has a domino effect on the entire supply chain due to which cost-push inflation occurs.
Cost-push inflation results when the factors of production become costly. Since, petroleum is the basic commodity in the production chain, the increase in its cost causes cost-push inflation.
13. From the option given, select the rotated version of the following image.

A. C
B. B
C. D
D. A
Solutions
When the given image is rotated 90 degrees the image looks like given below,

Thus, the required image if figure D.
14. Consider the given statement true and decide which of the conclusions logically follow(s) from the information given in the statement.
Statement:
The population in metro cities in increasing tremendously which leads to the shortage of living space and a drop-in living conditions of the people.
Conclusion:
1.Government should re-plan city development
2.Government should demolish illegal buildings and build cottages for people.
A. Neither conclusion 1 nor 2 follows.
B. Only conclusion 2 follows.
C. Both conclusions 1 and 2 follow.
D. Only conclusion 1 follows.
Solutions
The statement does not mention the existence of illegal buildings.
Therefore, conclusion 2 is invalid and does not follow.
Since the statement highlights the issue of a shortage of living space in the city, it can be concluded that the city needs re-planning.
Therefore, conclusion 1 follows.
Hence, only conclusion 1 follows.
15. Which of the following is the last element in the Newlands Law of Octaves classification?
A. Radium
B. Thorium
C. Iron
D. Rhodium
Solutions
Newlands Law of Octaves classification attempted to arrange elements by the atomic weight
According to Newlands Law of Octaves classification, the eighth element starting from the given one kind is a repetition of the first element in the given kind
This is similar to the property of musical notes
The eighth element would have similar atomic weight as that of the first one
In this way, Thorium was the last element in the Newlands Law of Octaves classification
16. If the difference between the mode and median is 2, then find the difference between the median and mean(in the given order).
A. 2
B. 1
C. 3
D. 4
Solutions
Concept:
Relation between mode, median and mean is given by:
Mode = 3 × median – 2 × mean
Calculation:
Given:
Mode – median = 2
As we know
Mode = 3 × median – 2 × mean
Now, Mode = median + 2
⇒ (2 + median) = 3median – 2mean
⇒ 2Median – 2Mean = 2
⇒ Median – Mean = 1
∴ The difference between the median and mean is 1.
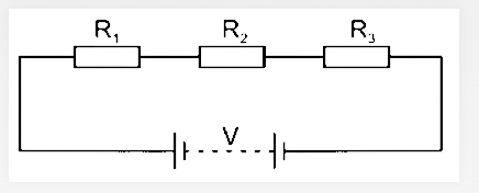
17. When a number of resistors are connected in series in a circuit, the value of current ________ across each resistor.
A. Becomes half
B. Remains the same
C. Increases
D. Decreases
Solutions
Concept:
Parallel Circuit: When resistors are connected with several conducting paths between the sources of emf. In a parallel connection, the voltage remains the same across all resistors, but the current will be different.

Total resistance 1R=1R1+1R2+1R3
Current in each resistor is different and can be calculated by using Ohm’s law
I1=VR1,I2=VR2,I3=VR3
The total current is the sum of the three separate currents
I=I1+I2+I3
Series Circuit: When resistors are connected with only one conducting path they are said to be connected in series. The same current flows through the all resistances but the voltage drop will be different and proportional to the resistance.
The total resistance in a series circuit is given as

R = R1 + R2 + R3
In a series connection, the resistances are connected end-to-end
Explanation:
From the above explanation, we can see that,
- The resistors that are arranged in a series in a circuit are chained together such that they have a common current flowing through them.
- Thus, the value of current flowing through them remains the same because the current flowing through the first resistor must pass through the second and so forth.
18. In the morning X and Y are walking towards each other in a park. When they meet each other, Y’s shadow falls straight in front of X. In which direction was X facing?
A. West
B. North
C. East
D. South
Solutions
As it is morning then source of light is in east. And shadow falls to the opposite direction of source of light.
Thus, shadow of Y should fall towards west.
As X and Y were walking towards each other, and shadow of Y falls straight in front of X, X is towards west of Y and is facing Y.
Thus, X is facing east direction.
19. Name the metal that can be easily cut with a knife:
A. Copper
B. Sodium
C. Gold
D. Aluminium
Solutions
The alkali metals of Group 1A are known as soft metals. They have low boiling point and are good conductors of electricity.
Lithium, sodium, potassium, rubidium, caesium, and francium are Group 1A metals. Amongst them, sodium and potassium can be cut with knife.
20. Which gas is released when water is added to bleaching powder?
A. Carbon dioxide
B. Oxygen
C. Chlorine
D. Hydrogen
Solutions
Bleaching powder or calcium hypochlorite is used as a bleaching agent of impurities in water. It is an inorganic compound with the formula Ca(ClO)2.
When it reacts with water, it hydrolyses to hypochlorous acid, HOCl, which hydrolyzes further to Hydrochloric Acid HCl, releasing the strong smell due to Chlorine.
This Chlorine acts as a disinfectant.
Bleaching Powder is soluble in water.
21. Which of the following is not a triangular number?
A. 15
B. 3
C. 10
D. 5
Solutions
Triangular number will satisfy following conditions,
Xn = n(n + 1) /2
⇒ X1 = 1
⇒ X2 = 3
⇒ X3 = 6
⇒ X4 = 10
⇒ X5 = 15
∴ 5 is not a triangular number.
22. Consider the given statements true and decide which of the given conclusions can definitely be drawn from the given statements.
Statements:
Some fruits are vegetables.
Some vegetables are not edible.
Conclusions:
1. Some fruits are not edible.2. Some vegetables are fruits.
A. Conclusion 2 is correct.
B. Conclusion 1 is correct.
C. Both inclusions 1 and 2 are correct.
D. Neither conclusion 1 nor 2 is correct.
Solutions
The least possible Venn diagram for the given statements is as follows,

1. Some fruits are not edible → it’s possible but not definite, hence, false.
2. Some vegetables are fruits → it’s true.
Thus, only conclusion 2 follows.
23. Consider the given question and decide which of the following statement(s) is/are sufficient to answer the question.
Is (X – 5) even? X is a real number.
Statement:
- X – 15 belongs to integer
- X – 10 is an odd integer
A. Both statements 1 and 2 are sufficient
B. Statement 2 alone is sufficient while statement 1 alone is insufficient
C. Neither statement 1 nor 2 is sufficient
D. Statement 1 alone is sufficient while statement 2 alone is insufficient
Solutions
Statement 1:
X – 15 = integer
⇒ X is also an integer
Statement 2:
X – 10 = odd integer
⇒ X is an odd integer.
⇒ (X – 5) is even
.∴ Statement 2 alone is sufficient while statement 1 alone is insufficient.
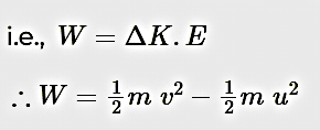
24. A 4.0 kg object is moving horizontally with a speed of 5.0 m/s. To increase its speed to 10 m/s, the amount of work required to be done on this object is:
A. 150 J
B. 50 J
C. 75 J
D. 100 J
Solutions
CONCEPT:
- The work-energy theorem is also called the principle of work and kinetic energy.
- The work-energy theorem states that the total work done by all the forces is equal to change in kinetic energy of the particle.
Total work done = change in kinetic energy
Total work done (W) = KEf – KEi

Where,
KEf is final kinetic energy,
KEi is initial kinetic energy,
u is initial velocity,
v is the final velocity
CALCULATION:
Given-
m = 4 kg, u = 5 m/s, v = 10 m/s
- Due to horizontal movement, the potential energy remains constant. The work done is due to change in kinetic energy given by
- W = 1/2 mv2 – 1/2 mu2
- W = 1/2 m (v2 – u2)
- W = 1/2 × 4 × (102– 52)
- W = 2 × (100 – 25)
- W = 150 J
25. Who is the author of the speculative fiction book ‘Half of What I say’?
A. Namita Gokhale
B. Shashi Tharoor
C. Anil Menon
D. K.R. Meera
Solutions
The author of the speculative, well-written fiction book ‘Half of What I say’ is Anil Menon. The women protagonists in the novel are bold and fearless.
This novel tells the story about a place of fiction and truth in the middle of personal, social and political cataclysm.
Anil’s first novel “The Beast with Nine Billion Feet” was shortlisted for the 2010 Vodafone-Crossword Award.
26. Consider the given questions and decide which of the following statements is sufficient to answer the question.
How much was the sale of the company ABC?
Statements:
- The company ABC sold 75000 units of soaps each at Rs. 70/-
- ABC has no other products in the production line.
A. I alone is sufficient while 2 alone is not sufficient to answer the question.
B. Both 1 and 2 are sufficient to answer the questions.
C. Neither 1 nor 2 is sufficient to answer the question.
D. 2 alone is sufficient while 1 alone is not sufficient to answer the question.
Solutions
Statement 1:
Company sold 75000 units of soaps each at Rs. 70
Statement 2:
Company has no other products in production line.
⇒ Sale = 75000 × 70 = Rs. 5,250,000
∴ Both statements are required to answer the question.
27. Who is the Chairman of the Economic Advisory Council to the Prime Minister (PMEAC) as of February 2018?
A. Amit Mitra
B. Amartya Sen
C. Bibek Debroy
D. Najma Heptulla
Solutions
He is an economist and have worked with several government institutions like Department of Economic Affairs, National Council of Applied Economic Research, and Centre for Policy Research (2007-2015) etc.
PMEAC is an independent body established to provide advice on economic and related issues to the Government of India, specifically to the Prime Minister.
28. A train takes 10 seconds to cross a bridge of length 100 m travelling at 90 kmph. Find the length of the train in metres.
A. 140
B. 150
C. 130
D. 120
Solutions
Let the length of the train be A meter.
Speed = Total distance/Time
90 kmph = 90 × 5/18 = 25 m/sec
⇒ 25 = (A + 100) /10
⇒ 250 = A + 100
⇒ A = 150
∴ The length of train is 150 m.
29. The SI unit of resistance is ________.
A. Joule
B. Coulomb
C. Ohm
D. Newton
Solutions
Concept:
| Physical Quantity | Formula | SI unit |
| Energy and work | W = Force x displacement | Joules or Newton.meter |
| Charge | – | Coulomb |
| Resistance | R=ρLA | Ohm (Ω) |
| Force | F = mass x acceleration | Newton or kg m/s2 |
Where,
ρ = resitivity of material
L = length
A = area
Explanation:
- The SI unit of resistance is Ohm (Ω). The unit ‘Ohm’ is named after famous German physicist Georg Simon Ohm.
- Ohm is the resistance provided by a body when 1 Volt potential difference is applied across it and 1 Ampere of current is made to pass through it.
30. Consider the given statement and decide which of the given assumptions is/are implicit in the statement.
Statement:
Honesty is the best policy.
Assumptions:
I)Honest people are policy makers.
II)Each policy must contain honesty.
A. Neither assumption (I) nor (II) is implicit
B. Only assumption (I) is implicit
C. Only assumption (II) is implicit.
D. Both assumptions (I) and (II) are implicit
Solutions
The statement does not talk or hint about honest people or policy makers.
Therefore, assumption I is not implicit.
The statement does not emphasize or suggest the need for every policy to include honesty. It merely draws a comparison between the policies.
Therefore, assumption II is not implicit.
Hence, ‘Neither assumption (I) nor (II) is implicit’ is the correct answer.
31. Who is the newly appointed Governor of Tamil Nadu as of February 2018?
A. Satyapal Malik
B. Subramanian Swamy
C. Banwarilal Purohit
D. K Rosaiah
Solutions
The newly appointed Governor of Tamil Nadu is Banwarilal Purohit.
He was appointed by President of India Ramnath Kovind in Sep 2017. He assumed the office in Oct 2017.
He also served as the Governor of Assam during Aug 2016 – Sep 2017. He was a Member of Parliament from the Nagpur Lok Sabha constituency.
32. Select the Answer Figure that fits in the blank space in the given Problem Figure.

A. B
B. D
C. A
D. C
Solutions
There are three shapes in each row or each column.
So the missing shape in third row, third column is figure A.
33. The reflector of a searchlight is a:
A. Plane mirror
B. Concave mirror
C. Cylindrical mirror
D. Convex mirror
Solutions
The correct answer is option 2 Concave Mirror.
CONCEPT:
- Concave Mirror: It is that mirror whose reflecting surface is toward the centre of the curvature.
- A concave mirror is also known as a converging mirror.
- The image formed by the concave mirror is real, virtual, erect and inverted.
- Convex Mirror: It is that mirror whose reflecting surface is away from the centre of the curvature.
- The convex mirror is also known as a diverging mirror.
- The image formed by the convex mirror is virtual and erect.
- Plane Mirror: A plane mirror is a mirror with a flat (planar) reflective surface.
- The image formed by the plane mirror is virtual and erect
- i.e. image cannot be projected or focused on a screen.
Explanation:
From the above explanation, we can see that,
- A concave mirror, or converging mirror, has a reflecting surface that is recessed inward (away from the incident light). Concave mirrors reflect light inward to one focal point.
- They are used to focus light. Unlike convex mirrors, concave mirrors show different image types depending on the distance between the object and the mirror.
- These mirrors are called “converging mirrors” because they tend to collect light that falls on them, refocusing parallel incoming rays toward a focus.
- This is because the light is reflected at different angles at different spots on the mirror as the normal to the mirror surface differs at each spot.
- Whereas searchlight functions effectively with a type of mirror that would converge the light at a particular point.
- Thus, to fulfil this function, concave mirrors are best suited for the searchlight.
34. Select the option that is related to the third figure in the same way as the second figure is related to the first figure.

A. 
B. 
C. 
D. 
Solutions
The ring is worn in the hand. Similarly, the crown is worn on the head.
Thus crown is related to head.
35. Plants that do not have a differentiated plant body belong to the group _______.
A. Pteridophyte
B. Phanerogams
C. Thallophyte
D. Bryophyta
Solutions
Thallus is a form of plant body that cannot be differentiated into roots, leaves and stem. It is mass of cells clubbed together to perform the vital functions.
Algae and bryophytes show thalloid form of plant body. They belong to the group Thallophyte. Pteridophytes have differentiated plant body. Phanerogams are seed producing plants.
36. The interest earned on Rs. 1,600 at the rate of 5% simple interest per annum for 6 years would be:
A. Rs. 469
B. Rs. 2,080
C. Rs. 480
D. Rs. 450
Solutions
Let P = principal, R = rate of interest and N = time
Simple Interest = PNR/100
P = 1600, R = 5% And N = 6
∴ Simple Interest = (1600 × 5 × 6) /100 = Rs. 480
37. Select the related word pair from the following options.Goose : Geese :: _______
A. Socks : Sock
B. Shirts : Shirt
C. Jackets : Jacket
D. Plant : Plants
Solutions
Goose is the singular of Geese.
Socks is the plural of sock.
Shirts is the plural of shirt.
Jackets is the plural of jacket.
Plant is the singular of plants.
Thus the correct pair is Plant : Plants.
38. Which of the following is true?
A. 29/6 > 43/12
B. 29/6 = 43/12
C. 29 < 43/12
D. 29/6 = 53/12
Solutions
Check through options,
a) 29/6 > 43/12
⇒ 348 > 172
This is true.
b) 29/6 = 43/12
⇒ 348 = 172
This is not true.
c) 29 < 43/12
⇒ 348 < 43
This is not true.
d) 29/6 = 53/12
⇒ 348 = 318
This is not true.
39. In the following series, one term is missing as shown by the questions mark (?). select the missing term from given options.ST, TU, UV, VW, ?
A. WY
B. WX
C. WZ
D. WV
Solutions
Here the logic is as follows,
S + 1 = T, T + 1 = U,
T + 1 = U, U + 1 = V,
U + 1 = V, V + 1 = W,
V + 1 = W, W + 1 = X
Thus, the next term in the series is WX.
40. Nodes of Ranvier are microscopic gaps found within:
A. Myelinated axons
B. Gland cells
C. Osteoblasts
D. Chondroblasts
Solutions
The myelinated axons are characterised by a covering of a fatty layer called the myelin sheath secreted by the Schwann cells.
The myelin sheath is non-conducting. Therefore, small gaps are left between Schwann cells along the entire length of the axons.
These gaps are called Nodes of Ranvier. They allow saltation of the nerve impulse.
41. Consider the given statement and decide which of the given assumptions is/are implicit in the statement.
Statement:
Teachers must attend workshop.
Assumptions:
Workshop updates teachers.
Workshops kill time.
A. Only assumption (I) is implicit
B. Both assumptions (I) and (II) are implicit.
C. Only assumption (II) is implicit.
D. Neither assumption (I) nor (II) is implicit.
Solutions
Workshops increases the practical knowledge so it is beneficial for teachers to attend the workshop. So assumption I is implicit. Workshops are not made for killing time.
So assumption II is not implicit.
42. Select the option that depicts the correct mirror image of the given word when the mirror is placed horizontally below the word.

A. 
B. 
C. ![]()
D. 
Solutions
The mirror image along the horizontal is the inverted image obtained by turning the object upside down.

Thus, the answer image is image at option 3.
43. Pir Panjal Railway Tunnel is located in ______.
A. Jammu and Kashmir
B. Himachal Pradesh
C. Uttarakhand
D. Sikkim
Solutions
Pir Panjal Railway Tunnel is located in Jammu and Kashmir. It is also known as Banihal railway tunnel.
It is India’s longest transportation railway tunnel measuring 11.21 km (6.97 Mi). It lies between Qazigund and Banihal and is a part of Jammu – Baramulla rail route in India.
44. Consider the given question and decide which of the following statements is sufficient to answer the question.
Is Raju fond of travelling?
Statements:
1. Raju has seen the Eastern, the Western, the Northern and the Southern parts of India.
2. Raju likes to be in the company of his friends.
A. Both statements taken together are sufficient to answer the question, but neither statement alone is sufficient.
B. Statement 2 alone is sufficient but statement 1 alone is not sufficient to answer the question.
C. Statement 1 and 2 together are not sufficient, and additional data is needed, to answer the question.
D. Statement 1 alone is sufficient but statement 2 alone is not sufficient to answer the question.
Solutions
Raju has seen almost all the parts of India so it is obvious that he is fond of travelling. But we aren’t sure he travelled alone or with friends.
So Statement 1 alone is sufficient but statement 2 alone is not sufficient to answer the question.
45. The number of neutrons in an atom is equal to the:
A. Mass number – atomic number
B. Atomic number
C. Number of electrons
D. Mass number
Solutions
CONCEPT:
- ATOMIC NUMBER: It is defined as the number of protons present in the nucleus. It is denoted by letter Z.
- MASS NUMBER: The total number of protons and neutrons present in a nucleus is called the mass number of the element. It is denoted by letter A.

- For neutral atom,
- Number of protons in an atom = Z
- Number of electrons in an atom = Z
- Number of nucleons in an atom = A
- Number of neutrons in an atom = N = A – Z
CALCULATION:
From above it is clear that the number of neutrons equal to the difference of a mass number and atomic number.
46. Seven years from now Virat will be twice as old as Mohinder. Five years ago, Mohinder’s age was one year less than 2/5 of Virat’s age. What is Virat’s present age?
A. 53 years
B. 57 years
C. 51 years
D. 55 years
Solutions
Let ages of Virat and Mohinder be A and B years respectively.
Seven years from now Virat will be twice as old as Mohinder,
⇒ (A + 7) = 2(B + 7)
⇒ A – 2B = 7
Five years ago, Mohinder’s age was one year less than 2/5 of Virat’s age,
⇒ (B – 5) = 2/5(A – 5) – 1
⇒ 2A – 5B = -10
⇒ 2(7 + 2B) – 5B = -10
⇒ B = 24
⇒ A = 7 + 48 = 55
∴ Virat’s age is 55 years.
47. A swimming pool is filled in 10 hours by three tankers A, B and C. The tanker C is Twice as fast as B and B is twice as fast as A. How much time will tanker A alone take to fill the swimming pool?
A. 10 hours
B. 80 hours
C. 40 hours
D. 70 hours
Solutions
A swimming pool is filled in 10 hours by three tankers A, B and C,
⇒ 1/A + 1/B + 1/C = 1/10
The tanker C is Twice as fast as B and B is twice as fast as A,
⇒ 1/B = 2/A and 1/C = 2/B = 4/A
⇒ 1/A + 2/A + 4/A = 1/10
⇒ 1/A = 1/70
∴ Time taken by A is 70 hours.
Alternate Method
Let the efficiencies of tanker A, B and C be x, 2x and 4x respectively.
So, the combined efficiency of A, B and C together = x + 2x + 4x
⇒ 7x
So, The capacity of the swimming pool = Efficiency × Time taken
⇒ 7x × 10
⇒ 70x
Now, Time taken by tanker A to fill the swimming pool = (Total capacity)/Efficiency
⇒ 70x/x
⇒ 70 hours.
∴ The time taken by tanker A alone take to fill the swimming pool is 70 hrs.
48. The number of symbols that are preceded by a number in the given expression is ______.
R + J M 2 $ # Q R ? * O @ 7 F 3
A. 3
B. 1
C. 2
D. 4
Solutions
The required arrangement is: Symbol preceded by number.
R + J M 2 $ # Q R ? * O @ 7 F 3
2 $ is the only term in which $ is preceded by 2.
Hence the answer is 1 symbol.
49. Consider the given argument and decide which of the given assumptions is/are implicit in the argument.
Argument:
The campaign ‘Swachh Bharat’, to keep one’s cities clean, started by the apartment association, didn’t bring much of a response from its residents.
Assumptions:
1. The residents do not wish to keep their apartment clean.
2. The association head failed in the campaign.
A. Only assumption 2 is implicit.
B. Neither 1 nor 2 is implicit.
C. Only assumption 1 is implicit.
D. Both 1 and 2 are implicit.
Solutions
It is not the whole truth that the residents don’t wish to keep their apartments clean. But the campaign is targeting the whole India. So assumption 1 is not implicit.
The apartment association didn’t get much of a response from the residents, which means that the association head failed in the campaign. So assumption 2 is implicit.
50. Select the figure that does NOT belong in the following group.

A. A
B. C
C. D
D. B
Solutions
All the shapes that are inside the bigger shape have one side more than the outer shape except figure B. Figure B has square as outer shape and triangle as inner shape.
So figure B is not the part of the group.
51. How many triangles are present in the following figure?

A. 11
B. 13
C. 10
D. 12
Solutions
The number of triangles formed are as follows,

Thus 12 triangles are present in the given figure.
52. Which of the numbers given below is the square root of 15376?
A. 128
B. 134
C. 122
D. 124
Solutions
⇒ 15376 = 16 × 961
⇒ 15376 = 16 × 31 × 31
⇒ √15376 = √(16 × 31 × 31) = 31 × 4
∴ √15376 = 124
53. Umar and Avinash started a partnership with investments of Rs. 10,000 and Rs. 15,000, respectively but due to a financial emergency, Avinash had to withdraw his investment after 8 months. In what ratio should the profit of the first twelve months be shared among the duo?
A. 3 : 2
B. 1 : 1
C. 2 : 3
D. 1 : 2
Solutions
Umar’s investment = 10000
Time period of investment = 12 months
Avinash’s investment = 15000
Time period of investment = 8 months
Required profit ratio = (10000 × 12) : (15000 × 8) = 1 : 1
54. The volume of a right circular cone, whose radius of the base is same as one-third of its altitude, and the volume of a sphere are equal. The ratio of the radius of the cone to the radius of the sphere is:
A. ∛(3) : ∛2
B. 1 : 1
C. ∛(4) : 1
D. ∛4 : ∛3
Solutions
Volume of cone = (1/3)πr2h
⇒ r = h/3
⇒ Volume of cone = πr3
Volume of sphere = (4/3)πR3
⇒ Volume of cone = volume of sphere
⇒ r3 = (4/3)R3
∴ Radius of cone/ radius of sphere = ∛4 : ∛3
55. Type 1 workers can do three times the work of Type 2 workers. Twelve type 1 workers can complete a task in 10 days. How many days would it have taken 4 Type 1 and 8 Type 2 workers to complete the same task?
A. 20 days
B. 18 days
C. 16 days
D. 17 days
Solutions
Type 1 workers can do three times the work of Type 2 workers,
⇒ Type 1/Type 2 = 3/1
Twelve type 1 workers can complete a task in 10 days
⇒ Type 1 worker 1 day’s work = 1/120
⇒ Type 2 worker 1 day’s work = 1/360
⇒ 4 type 1 + 8 type 2 = 4/120 + 8/360 = 20/360 = 1/18
∴ It will take 18 days to complete the work.
56. Asexual reproduction differs from sexual reproduction in that in asexual reproduction _______.
A. The nuclei of gametes fuse
B. The gametes are produced in reproduction
C. The offspring shows variations
D. The new organisms are genetically identical to the parent
Solutions
Explantion:
Sexual reproduction:
- Involves the formation of the male and female gametes, either by the same individual or by different individuals of the opposite sex.
- These gametes fuse to form the zygote which develops to form the new organism.
- It is an elaborate, complex and slow process as compared to asexual reproduction. (E.g. Mammals).
- The offsprings shows characteristic of both male and female and shows variation.
Asexual reproduction:
- The reproduction in which an offspring is produced by a single parent without the fusion of gametes is called asexual reproduction. (E.g. Amoeba, Hydra)
- The offsprings is exact replica of their parents and genetically identical.
Asexual reproduction is carried out by a single parent through budding, fission, fragmentation, regeneration or spore formation.
- Since only a single parent is involved, there are negligible chances of variations in the progeny.
- As a result, the progeny appears morphologically and genetically identical to the parent. These are called clones.
57. How many atoms are present in a (NH4)2SO4 molecule?
A. 15
B. 14
C. 12
D. 13
Solutions
- The atoms present in a (NH4)2SO4 molecule are:
- Hydrogen = 8
- Nitrogen = 2
- Oxygen = 4
- Sulphur = 1
Hence, the total number of atoms are 15.
58. The ratio of the numbers of blue to red balls in a bag is constant. When there were 44 red balls, the numbers of blue was 36. If the number of blue balls is 54. How many red balls will be in the bag?
A. 64
B. 66
C. 62
D. 68
Solutions
Ratio of red balls to blue balls = 44/36 = 11/9
Number of blue balls = 54
⇒ 11/9 = ?/54
⇒ ? = 11 × 6
⇒ ? = 66
∴ Number of red balls = 66
59. By which legislation were India and Pakistan divide into two independent nations?
A. Indian Independence Act 1947
B. Pakistan Independence Act 1947
C. Indian Partition Act 1947
D. Pakistan Partition Act 1947
Solutions
The Indian Independence Act 1947 divided India and Pakistan into two independent nations. It was passed by the Parliament of United Kingdom.
The Act provided for the division of British India into two sovereign States w.e.f 15 August 1947.
60. Looking at the portrait of a girl, Sheesha, a girl said, “Her mother is my grandfather’s only daughter who has only one daughter and no sons”.
How is Sheesha related to the girls in the portrait?
A. Niece
B. Sister
C. Aunt
D. Sheesha herself
Solutions
Her mother is my grandfather’s only daughter = that girl is either Sheesha herself or her sister. Who has only one daughter and no sons = that means Sheesha’s mother has only one daughter. So the portrait is of Sheesha herself.
Family tree:

Hence, answer is Sheesha.
61. Who is the curren President of the Indian Olympic Association?
A. Sharad Panwar
B. Adille Sumariwalla
C. Abhinav Bindra
D. Prannoy Roy
Solutions
The correct answer is Adille Sumariwalla
Key Points
- The Indian Olympic Association has co-opted Adille Sumariwalla as the President of the association till fresh elections are held.
- The erstwhile President of the IOA, Dr Narinder Dhruv Batra, resigned from the post of President, IOA on July 18 due to personal reasons.
- Thereafter, 18 executive members out of 31 in accordance with clause 11.1.5 of the IOA Constitution co-opted the undersigned to fill the vacancy.
62. Momentum is measured as the product of:
A. Mass and acceleration
B. Mass and inertia
C. Mass and velocity
D. Mass and force
Solutions
Concept:
- Momentum: The product of mass and velocity is called momentum or momentum.
- It is denoted by P and unit is kg⋅ m/s
- Momentum (P) = Mass (m) × velocity (V)
Explanation:
From the above explanation, we can see that
- Momentum is measured as the product of mass and velocity.
i.e., Momentum (P) = Mass (m) × Velocity (v).
Its SI units is measured in Kg m/s (or Newton second).
- And according to Newton’s second law of motion, a body’s rate of change in momentum is equal to the net force enacted on it.
63. According to the given Venn diagram, which number represents ‘Boys who participate in athletics and also play cricket’?

A. 2
B. 3
C. 1
D. 11
Solutions
Boys who participate in athletics and also play cricket is represented by the numbers which are common to the rectangle, triangle and circle which is 3.

Hence the answer is number 3.
64. In Mendeleev’s periodic table, the properties of the elements are considered a periodic function of their:
A. Atomic number
B. Atomic mass
C. Ionization enthalpy
D. Atomic size
Solutions
In Mendeleev’s periodic table, the elements were arranged on the basis of functional property, atomic mass and chemical properties.
The properties of elements were found to be related to atomic mass as periodic function.
65. Consider the given question and decide which of the following statements is/are sufficient to answer the question.
Between X and Y who is the better dancer?
Statements:
1. X had given more dance auditions.
2. Y had given more dance performances than X.
A. Neither statement 1 nor 2 is sufficient
B. Statement 2 alone is sufficient while statement 1 alone is insufficient
C. Statement 1 alone is sufficient while statement 2 alone is insufficient
D. Both statement 1 and 2 are sufficient
Solutions
The number of dance auditions given by X or Y does not help to determine the better dancer between X and Y as we are not given any information on the results of the auditions. Therefore, statement 1 is not sufficient.
As Y has had more dance performances than X, it is most likely that he has been preferred over X by the selectors, indicating that Y is a better dancer than X.
Hence, statement 2 alone is sufficient while statement 1 alone is insufficient
66. Which of the following acids is present in Red Ants?
A. Malic acid
B. Oxalic acid
C. Formic acid
D. Tannic acid
Solutions
Red Ants are characterised by the presence of formic acid that causes itching and irritation when bitten by red ants.
These ants are commercially used to obtain formic acid.
67. Select the most appropriate term for the following set of items.

A. Celebration
B. Meeting
C. Marriage
D. Books
Solutions
Here all the figure are used for the victory. And victory is followed by celebration.
Hence the most appropriate term for the given set of items is Celebration.
68. Find a two digit number which is exactly three times the product of its digits.
A. 36
B. 12
C. 48
D. 24
Solutions
Let the two digit number be 10a + b
⇒ 10a + b = 3ab
⇒ 10a = b(3a – 1)
⇒ b = 10a/(3a – 1)
The option which satisfies the given condition is 4 means 24 is that two-digit number.
Verifying the option
24 = 3(2 × 4) = 24
It satisfies the given condition
69. Who is the author of the book ‘The association of small Bombs’, which is currently shortlisted for the International Dublin Literary Award?
A. Namitha Ghokhale
B. Arundhathi Roy
C. Chetan Bhagat
D. Karan Mahajan
Solutions
World famous book “The Association of Small Bombs” is written by Indian-American author Karan Mahajan. His first novel was ‘Family Planning’.
The book was shortlisted for the International Dublin Literary Award. The Association of Small Bombs was a finalist for the National Book Award 2016.
70. As of February 2018, who owns the Kolkata-based IPL term ‘Kolkata Knight Riders’?
A. Sourav Ganguly
B. Aamir khan
C. Shah rukh khan
D. Subrata Roy
Solutions
As of February 2018, Bollywood Film actor Shahrukh Khan owns the Kolkata-based IPL team ‘Kolkata Knight Riders’. The other partners of Kolkata Knight Riders (KKR) are actress Juhi Chawla and her spouse Jay Mehta.
KKR has won IPL trophy in 2012 and 2014. The official theme of the KKR is Korbo Lorbo Jeetbo Re (we will perform, fight and win!)
71. Three years from now Dhahiri’s age will be eight years less than twice Eunice’s age. The sum of their present ages is 61 years. What is Dhahiri’s present age?
A. 39 years
B. 41 years
C. 43 years
D. 36 years
Solutions
Let Dhahiri’s and Eunice’s age be M and N years respectively.
Three years from now, Dhahiri’s age will be eight years less than twice Eunice’s age,
⇒ (M + 3) = 2(N + 3) – 8
⇒ M + 3 = 2N + 6 – 8
⇒ M – 2N = -5
And, the sum of their present ages is 61 years.
⇒ M + N = 61
Solving,
⇒ 3N = 66
⇒ N = 22
⇒ M = 61 – 22 = 39 years
∴ Dhahiri’s age is 39 years.
72. ABC$+#DEF&=?GHI!2*@
Find the missing term using the above sequence:
ABC : @*2 ∷ $#E : _______.
A. !H?
B. ?H!
C. !HG
D. HH!
Solutions
According to the given series the logic here is as follows,
ABC$+#DEF&=?GHI!2*@
A → first from the left end, @ → first from the right end
B → second from the left end, * → second from the right end
C → third from the left end, 2 → third from the right end
Similarly,
ABC$+#DEF& = ?GHI!2*@
$ → fourth from the left end, ! → fourth from the right end
# → sixth from the left end, H → sixth from the right end
E → eight from the left end, ? → eight from the right end
Thus $#E is related to !H?
73. 1 kWh = _________.
A. 3.6 × 106 J
B. 3.6 × 105 J
C. 3.6 × 10-5 J
D. 3.6 × 10-6 J
Solutions
Concept:
- Electric power (P) is the rate at which work is done by the e.m.f. a source in maintaining current in the circuit. That is,
P= V. I = V2. R = I2. R
- Electric Energy is the total work done by an e.m.f. a source in maintaining current in the circuit for a given time. Its SI unit is the joule (J) or (kWh).
- That is given by,
Electrical energy = Electrical power × time
1 unit = 1 kWh = Power (in kW) × time (hours).
Calculation:
Given that, electrical energy = 1 kWh
Where as 1 J = 1 Ws
And
1 kW = 1000 W
1 h = 60×60 sec
So, in terms of joule 1 kWh can be calculated as
1 kWh = 1 × 103× 60 × 60 = 3600 ×103 = 36 × 105 joule = 3.6 × 106 joule
74. In a class, there were 9 boys and some girls. In a test the mean score obtained by the boys was 12 while that obtained by the girls was 14. If the overall average was 13.1, what was the total number of students in the class?
A. 22
B. 19
C. 20
D. 21
Solutions
Let number of girls be M.
Total score of boys = 12 × 9 = 108
Total score of girls = 14M
overall average was 13.1,
⇒ 13.1 = (108 + 14M) / (9 + M)
⇒ 117.9 + 13.1M = 108 + 14M
⇒ M = 11
∴ Total number of students in class = 9 + 11 = 20
75. At 9.5% simple interest per annum, a sum of money became Rs. 942 in 6 years. The sum invested initially was:
A. Rs. 626
B. Rs. 600
C. Rs. 675
D. Rs. 650
Solutions
Given:
Rate of interest = 9.5%
Amount after 6 years = Rs 942
Concept used:
Simple Interest, SI = PNR/100
Where P = principal, R = rate of interest and N = time
Amount = SI + P
Calculation:
SI = Amount – P
⇒ (942 – P) = (P × 9.5 × 6) /100
⇒ 94200 – 100P = 57P
∴ P = Rs. 600
∴ The amount invested initially is Rs 600.
