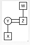
1.X is the son of Y, Y is the wife of Z. W is the father of Z. Then Y will be the ________ of W.
A. sister-in-law
B. father-in-law
C. brother-in-law
D. daughter-in-law
Solutions

From the given information we can draw a following family tree,

Clearly, Y will be the daughter-in-law of W.
Hence, “daughter-in-law” is the correct answer.
2. Choose the term that does NOT belong to the following group.
A. Krypton
B. Argon
C. Neon
D. Platinum
Solutions
1.Platinum is a group 10 element and belongs in transition metals.
2. Except for Platinum, all the above elements Krypton (Kr), Argon (Ar), Neon (Ne) are inert/noble gases and they belong to Group 18 in Periodic Table.
3. Platinum (Pt) does not belong in the given group.

3. In the following question, which pattern will the given sheet resemble when it is folded at the dotted line? (Sheet is transparent)

A. D
B. A
C. B
D. C
Solutions
Important Points
- The sheet is transparent.
- Therefore, the left side of the rectangle will be visible after folding.
The pattern that will appear after folding is as follows,

Hence, “option figure C” is the correct answer.
4. As per the following chart, in which year were the sales of store B more than 13 lakh Rs.?

Note: The sales figures are in lakh Rs.
A. Year 3
B. Year 2
C. Year 1
D. Year 1 and Year 2
Solutions
⇒ Based on given data, the sales of store B and C was more than 13 lakhs in Year 1.
5. Body A having a mass of 2 kg and body B having a mass of 3 kg moving towards each other with velocities 4 m/s and 2 m/s, respectively, will collide and ______ in an elastic collision.
A. move in the direction of B
B. move in opposite direction
C. move in the direction of A
D. move perpendicular to the line of motion of both bodies
Solutions
Concept:
Collison’s are generally classified into two types elastic and inelastic collisions
Based on this law of conservation this classification is made, and the laws of collision states
- Momentum is conserved in all collisions.
- In an elastic collision, kinetic energy is also conserved.
- In an inelastic collision, kinetic energy is not conserved. In a perfectly inelastic collision, objects stick together after the collision.
Perfectly elastic collision
If the law of conservation of momentum and that of kinetic energy hold good during the collision.
i.e., initial momentum = final momentum

Inelastic collision
If the law of conservation of momentum holds good during a collision while that of kinetic energy is not.
But inelastic Collison obeys the law of conservation of linear momentum
Coefficient of restitution (e)

- For perfectly elastic collision, e = 1
- For inelastic collision, e < 1
- For a perfectly inelastic collision, e = 0
Calculation:
Given that,
mass of body A, mA = 2 kg
Speed of block A, uA = 4 m/s
mass of body B, mB = 3 kg
Speed of block B, uB= -2 m/s
Now according to the law of conservation of momentum
mAuA + mBuB = mAvA + mBvB
2 x 4 – 3 x 2 = 2 x vA + 3 x vB
2 x vA + 3 x vB = 2 ——–(1)
Now coefficient of restitution for an inelastic collision is always one and can be expressed as

Hence from this, we can see that body A will be moving in the opposite direction compared to B
Thus in this case body, A and body B will move in opposite directions in an elastic collision
6. Prime Minister Narendra Modi and his Israeli counterpart Benjamin Netanyahu inaugurated the iCreate centre in January 2018 in:
A. Rajkot
B. Vadodara
C. Ahmedabad
D. Surat
Solutions
Prime Minister Narendra Modi and his Israeli counterpart Benjamin Netanyahu inaugurated the iCreate centre in January 2018 in Ahmedabad.
The International Centre for Entrepreneurship and Technology (iCreate) is a public-private partnership venture of the Gujrat government to promote entrepreneurship by giving them funding, mentors and office space facilities.
7. Which of the following is a cation?
A. Nitrate
B. Hydroxide
C. Ammonium
D. Carbonate
Solutions
- Ammonium (NH4+) is a cation.
- A cation is a positively charged ion (lose electrons) and It is formed near the cathode during the electrolysis.
- Ammonia (NH3) is base i.e. when it is mixed with acid it can gain one H+ ion, leading to Ammonium (NH4+).
- An atom or molecule gain or lose electrons to attain stable configuration thereby forming both anions and cations.
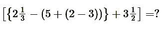
- Anions are negatively charged ions (Gains an electron) and they formed near anode during electrolysis.
- Nitrate (NO3–), Hydroxide (OH–), Carbonate (CO3-2) are anions.
8. If F and Z are sons of C and Z is married to Y, then how is Y related to F?
A. Son-in-law
B. Brother-in-law
C. Mother-in-law
D. Sister-in-law
Solutions
From the given information we can draw following family tree,

Clearly, Y will be the sister-in-law of F.
Hence, “sister-in-law” is the correct answer.
9. Who will be the host of the 2018 edition of the Women’s World T20?
A. Australia
B. West Indies
C. England
D. Dubai
Solutions
The host of the 2018 edition of the Women’s World T20 was West Indies.
The winner of the 2018 edition of Women’s World Cup was Australia.
The runner ups are team England.
The host of the next Women’s World T20 in the year 2021 in New Zealand.
10. The Rana Pratap Sagar Dam is built on the river _______.
A. Ganga
B. Jhelum
C. Beas
D. Chambal
Solutions
The Rana Pratap Sagar Dam is built on the river Chambal.
It is in the state of Rajasthan and it was opened in the year 1970.
It is capable of generating 172 MW of power
11. Two circles touch each other externally at point X. PQ is a simple common tangent to both the circles touching the circles at point P and point Q. If the radii of the circles are R and r, then find PQ2.
A. 3πRr/2
B. 4Rr
C. 2πRr
D. 2Rr
Solutions

We know,Length of direct common tangent = √[d2 – (R – r)2]
where d is the distance between the centers and R and r are the radii of the circles.
PQ = √[(R + r)2 – (R – r)2]
⇒ PQ = √[R2 + r2 + 2Rr – (R2 + r2 – 2Rr)]
⇒ PQ = √4Rr
⇒ PQ2 = 4Rr
12. The following pie diagram shows information on tyre manufacturing by various companies in India during 2017. If the total number of tyres produced in India during 2017 was 1,80,000 units, how many units of tyres were produced by company E?

A. 30,000
B. 35,000
C. 45,000
D. 15,000
Solutions
Total number of tyres produced in 2017 by various companies = 180,000
Tyres produced by company E is 25% of 180000 = (25/100) × 180,000 = 45,000
∴ The number of tyres produced by company E in 2017 is 45,000
13. In the following question, some statements are given followed by some conclusions. Taking the given statements to be true even if they seem to be at variance from commonly known facts, read all the conclusions and then decide which of the given conclusions logically follows the given statements.
Statement:
All mats are coirs.
All coirs are Jute.
Conclusions:
1. All Jute are coirs.
2. All mats are Jute.
A. No conclusion follows
B. Only conclusion 1 follows
C. Only conclusion 2 follows
D. All the conclusions follow
Solutions
The least possible Venn diagram of the given statements,

Conclusions:
I. All Jute are coirs → False (it is possible but not definite)
II. All mats are Jute → True.
Hence, “Only conclusion 2 follows”.
14. Which of the following flowers is unisexual?
A. Papaya
B. Sunflower
C. Hibiscus
D. Mustard
Solutions
The correct answer is Papaya.
- Papaya flowers are Unisexual Flowers.
Key Points
Flowers that contain either only pistil (Female reproductive organs) or stamen (male reproductive organ) are called Unisexual flowers.
Corn, papaya, Cucumber are some common examples.
A flower which contains both pistils (Female reproductive organs) and stamen (male reproductive organs) are called bisexual flowers.
Sunflower, Mustard, Hibiscus are some common examples.
15. A person bought an item for Rs. 1975 and sold it at a profit of 12%. What was the selling price of the item?
A. Rs. 2192
B. Rs. 2202
C. Rs. 2212
D. Rs. 2222
Solutions
⇒ Cost price of an item = Rs. 1975
⇒ Profit = 12%
⇒ Selling price = [Cost price × (1 + profit%)]/100
⇒ Selling price = 1975 × (112/100) = 2212
∴ Selling price of an item is Rs. 2,212.
Alternate Method
Let the cost price be Rs. 100
A person sold it to 12% profit,
⇒ 12% of CP + CP
⇒ 12 + 100 = 112
According to the question,
⇒ 112 = 1975
⇒ 1 = 1975/112
Now cost price,
⇒ 100 × 1975/112
⇒ 2,212
∴ Selling price of an item is Rs. 2,212.
16. How many closed rectangular boxes are there in the following figure?

A. 15
B. 16
C. 17
D. 19
Solutions
We can count the rectangles as follows,

AEMB, EMNF, FDCN, FDHG, GHCN, IJKL, IJRQ, EFST, STNM, MCPO, RCPX, MRXO, QRKL, SJXO, TJRN, SJRM, AFNB, EDCM, EDPO.
Hence, there are “19” rectangles.
17. Vibrations in the ear are amplified by the three bones, namely the _________ in the middle ear.
A. hammer, anvil and stirrup
B. hammer, cochlea and stirrup
C. hammer, anvil and pinna
D. auditory bone, anvil and stirrup
Solutions
Vibrations inside the ear are amplified by the three bones, namely the hammer, anvil and stirrup in the middle ear.
Ear in the human body performs two functions, namely: Hearing and maintaining the balance of the body.
An Ear consists of three major sections namely: Outer Ear, middle ear and Inner Ear.
| Part of Ear | Parts | Function |
| Outer Ear | Pinna | It directs the sound wave to travel through the ear canal to reach the eardrum. |
| middle ear | hammer, anvil and stirrup | These three bones are utilised to amplify the sound waves in the middle ear. |
| Inner Ear | Cochlea | It transforms the waves into an electrical signal and sends it to the brain. |
18. You are given a question and two statements. Identify which of the statements is/are necessary/sufficient to answer the question.
Find the total age of the sisters 10 years from now.
Statements:
- Nina’s sister’s age is 1/5th of the age of Nina
2. Nina is 10 years old now
A. Statement 2 alone is sufficient
B. Statement 1 alone is sufficient
C. Statements 1 and 2 together are necessary
D. Statement 1 and 2 together are not sufficient
Solutions
Statement 1:
⇒ Current age of Nina = 10
Statement 2:
⇒ Nina’s sister age = 1/5 of Nina’s age = 2 years
⇒ So, Nina’s age after 10 years will be 20 and Nina’s sister’s age will be 12 years
∴ Statements 1 and 2 together are necessary
19. Which of the following Venn diagrams correctly represents the relationship between the given classes?
1. Vessel
2. Trinket
3. Silver
A.![]()
B. 
C. 
D,. 
Solutions
As we know that trinket is a small ornament or item of jewellery that is of little value. Thus, it can’t be made of silver because of little value. Silver will make the ornament of higher value. Whereas vessels can be made from silver. Thus, the venn diagram that represents the given information is as follows,

Hence, “option figure C” is the correct answer.
20. The sum of values of x satisfying x2/3 + x1/3 = 2 is:
A. -3
B. 7
C. -7
D. 3
Solutions
⇒ x2/3 + x1/3 = 2
⇒ (x2/3 + x1/3)3 = 23
⇒ x2 + x + 3x(x2/3 + x1/3) = 8
⇒ x2 + 7x – 8 = 0
⇒ x2 + 8x – x – 8 = 0
⇒ x (x + 8) – 1 (x + 8) = 0
⇒ x = – 8 or x = 1
∴ Sum of values of x = -8 + 1 = – 7
21. Select the most appropriate option.0°C = ________F.
A. 32
B. 180
C. 23
D. 273
Solutions
0°Celsius (C) = 32 Fahrenheit (F).
CONCEPT:
- Temperature: It is the measure of the degree of hotness and coldness of a body.
- The SI unit of temperature is Kelvin (K).
- The various temperature scales commonly used are Celsius (C), Kelvin (K), Fahrenheit (F), and Rankine (Ra).
- Celsius: It has 100 degrees between the freezing and boiling points of water.
- Here 0° represents the freezing point and 100° represents the boiling point. In many countries, celsius is used to communicate day to day temperatures.
- Fahrenheit: The Fahrenheit scale was proposed by physicist Daniel Gabriel Fahrenheit in 1724.
- This scale is primarily used in the United States and some Caribbean countries to communicate day to day temperatures.
The temperature T in degrees Fahrenheit (°F) is equal to the temperature T in degrees Celsius (°C) times 9/5 plus 32:

CALCULATION:
Given that,
Temperature in degree celsius, C = 0°C
We know the formula for conversion (C × 9/5) = F.

22. P and Q can complete a task together in 6 days. Q alone can complete the task in 10 days. In how many days can P alone complete the task?
A. 11 days
B. 15 days
C. 12 days
D. 14 days
Solutions
⇒ Work completed by P and Q in 1 day = 1/6
⇒ Work completed by Q alone in 1 day = 1/10
⇒ Work completed by P alone in 1 day = 1/6 – 1/10 = 1/15
Therefore, P alone completes the task in 15 days.
23. Name the Bollywood actor who received Kala Ratan Award in March 2017?
A. Akshay Kumar
B.. Naseeruddin Shah
C. Anupam Kher
D. Jitendra
Solutions
Anupam Kher was the Bollywood actor that received Kala Ratan Award in March 2017.
He resigned as the chairman of the film and television institute of India (FTII) in 2018.
Anupam Kher was awarded the Padma Shri award in 2004 and the Padma Bhushan award in 2016.
24. A 2,000 kg truck moving at 10 m/s strikes a car waiting at a traffic light. After the collision, the two move together at 8 m/s. The mass of the car is _____ if total energy before and after collision remain conserved.
A. 250 kg
B. 500 kg
C. 750 kg
D. 1,000 kg
Solutions
CONCEPT:
1.The type of collision in which the total kinetic energy of the system remains constant before and after the collision is called elastic collision or perfectly elastic collision.
2. As there is no net external force on the system, so momentum before the collision and after the collision will remain same.

Linear Momentum before collision (P1) = Linear Momentum after the collision (P2)
P1 = m1u1 + m2u2
P2 = m1v1 + m2v2
m1u1 + m2u2 = m1v1 + m2v2
- The kinetic energy of the system before the collision is equal to kinetic energy of the system after the collision.
KE1 = Kinetic energy before the collision and KE2 = Kinetic energy after the collision
KE1=12m1u12+12m2u22=KE2=12m1v12+12m2v22
EXPLANATION:
Given that,
Mass of the truck (m1) = 2000 kg
Velocity of the truck (v1) = 10 m/s
Mass of the car = m2
Velocity of car before collision v2 = 0 m/s
The final velocity of car and truck after collision (Vf) = 8 m/s.
If the total kinetic energy and momentum in the system remain constant in a collision, then such collision is called Elastic collision.
By conservation of momentum i.e. final momentum is equal to initial momentum.
Initial momentum will me p1 = m1v1 + m2 v2
⇒ (2000 × 10) + (m2 × 0)
⇒ 20000
As initial momentum is equal to final momentum
We get p1 = p2
Where p2 = (m1 + m2) × vf
⇒ 20000 = (2000 + m2) × 8
⇒ 2500 = 2000 + m2
⇒ m2 = 500
The mass of the car is 500 kg
25. In January 2018, who took charge as the Managing Director of India Infrastructure Finance Company Ltd?
A. Prasanth Nair
B. Pankaj Jain
C. Saurabh Kumar
D. Mir Mohammed Ali
Solutions
1.Pankaj Jain took charge as the Managing Director of India Infrastructure Finance Company Ltd in January 2018.
2. He will be holding additional charge of IIFCL along with his present position as Joint Secretary at DFS
3. He belongs to 1990 batch IAS officer of Assam-Meghalaya Cadre.
26. Identify the figure that will replace the question mark in the given series:

A. C
B. A
C. D
D. B
Solutions
The pattern followed here is 1st figure consist of 2 squares on shifting to 2nd figure 1 square becomes concentric with other square, similarly 3rd figure consisting 2 circles thus on shifting to 4th figure “one circle will become concentric with another circle”. Only in option figure A the pattern is following.
Hence, “option figure A” is the correct answer.
27. Which of the following is NOT a characteristic of dicotyledonous plants?
A. Tap root
B. Reticulate venation
C. Two cotyledons
D. Fibrous roots
Solutions
- Fibrous roots are not the characteristic feature of dicotyledonous plants.
- Dicotyledonous plants are also called knowns are dicot and they are angiosperms (Flowering plants)
- Its roots develop from the radicle and the seed has two cotyledons or embryonic leaves.
- Their leaves have reticulate venation and have a pentamerous and tetramerous flower.
Examples: mustard, bitter gourd, watermelon, brinjal, apple, mango, tamarind etc.
Important Points
Basic differences between monocot and dicot plants are:
| Monocots | Dicots |
| Have single cotyledon | Have two cotyledons |
| Have fibrous root system | Have tap root system |
| Leaves have parallel venation | Leaves have reticulate venation |
| Eg. wheat, corn, bamboo, and banana | Eg. apples and pear, Congress grass (parthenium) |
Additional Information
- Leaf venation is the design made by veins in a leaf
- If the designs made by the veins of a leaf are parallel to each other, then that is known as parallel venation. For example, maize, grass, wheat, etc.
- Reticulate Venation is the kind of venation design that is net-like on both sides of the mid-rib. For example, rose, coriander, oak, etc.

28. As of August 2018, who is the chief minister of Delhi?
A. Kiran Bedi
B. Sushma Swaraj
C. Sheila Dikshit
D. Arvind Kejriwal
Solutions
1.Arvind Kejriwal was the chief minister of Delhi as of August 2018.
2. He belongs to the Aam Aadmi Party and he is also the president of the party.
3. His party election Symbol is Broom.
29. What amount will Jatin get at the end of 3 years if he has invested Rs. 5000 and the rate of interest is 4% for the first year, 3% for the second year and 2% for the third year?
A. Rs. 5460
B. Rs. 5403.12
C. Rs. 5463.12
D. Rs. 5460.12
Solutions
Given:
Principle is Rs. 5,000
Rate of interest is 4% for the first year,
Rate of interest is 3% for the second year,
Rate of interest is 2% for the third year.
Concept Used:
SI = (P × N × R)/100,
Where,
P is principle,
SI is simple interest,
N is total number of years,
R is rate
Calculation:
Amount = Principal × (1 + r1/100) × (1 + r2/100) × (1 + r3/100)
⇒ Amount = 5000 × (1 + 4/100) × (1 + 3/100) × (1 + 2/100) = 5463.12
∴ Jatin will get Rs. 5463.12 after 3 years.
30. An electric washing machine of 750 W is used for 4 hours per day. The energy consumed by the machine in one day will be ________.
A. 30 units
B. 3 units
C. 3,000 units
D. 300 units
Solutions
CONCEPT:
Electric power (P) is the rate at which work is done by the e.m.f. a source in maintaining current in the circuit.

- Electric Energy is the total work done by an e.m.f. a source in maintaining current in the circuit for a given time.
- Its SI unit is the joule (J) or (kWh).
- That is given by, Electrical energy consumed = Electrical power × time
CALCULATION:
Given that,
Rated power of electric washing machine P1 = 750 W
Amount of time spent = 4 hr
Energy consumed (E1) = power × time ⇒ 750 × 4
= 3 kWH.
We know that 1 kWh = 1 unit
Hence, energy consumed by the machine in one day is 3 units.
31. Find the odd one out.

A. A
B. C
C. B
D. D
Solutions
Here, except figure ‘C’ in all the other figures quarter portion i.e., 1/4th is shaded. whereas in figure ‘C’ 3/4th portion is shaded.
Hence, “figure C” is the odd one out.
32. Based on the numerical analogy given, choose the correct answer from the options given below 35 : 7 ∷ 125 : ?
A. 10
B. 25
C. 15
D. 5
Solutions
The pattern followed here is 1st is the 5th multiple of second term i.e., 7 × 5 = 35. Thus, 125 is the 5th multiple of 25 i.e., 25 × 5 = 125.
Hence, “25” is the correct answer.
33. Pipe A can fill an empty cistern in 14 hours. Together with Pipe B it can fill up the empty cistern in 12 hours. Therefore, Pipe B can fill the empty cistern alone in _______ hours.
A. 75
B. 77
C. 78
D. 84
Solutions
⇒ Amount of cistern filled by Pipe A in 1 hour = 1/14
⇒ Amount of cistern filled by Pipe A and Pipe B together in 1 hour = 1/12
⇒ Amount of cistern filled by Pipe B in 1 hour = 1/12 – 1/14 = 1/84
Therefore, Pipe B can fill the empty cistern alone in 84 hours.
34. A tank can be filled by a pipe P in 32 minutes and by pipe Q in 36 minutes. When it is full, it can be emptied by a pipe R in 20 minutes. If all the three pipes are opened simultaneously, half of the tank will be filled in ________.
A.
B. ![]()
C. ![]()
D. ![]()
Solutions
⇒ Tank filled by Pipe P in 1 minute = 1/32
⇒ Tank filled by Pipe Q in 1 minute = 1/36
⇒ Tank emptied by Pipe R in 1 minute = 1/20
⇒ Tank filled in 1 minutes when all the three pipes are opened = 1/32 + 1/36 – 1/20
⇒ 13/1440∴ Half tank will be filled in 720/13 minutes or ![]()
35. Consider the given statement and decide which of the given assumption(s) is/are implicit in the statement.
Statement:
“Can I borrow your bike in the evening,” asks Milan to his teammate.
Assumptions:
I. Milan’s teammate has a bike.
II. Milan needs a bike in the evening.
A. Neither I nor II is implicit
B. Both I and II are implicit
C. Only II is implicit
D. Only I is implicit
Solutions
From the statement, Milan is asking for his teammate’s bike. So, we can assume that “Milan’s teammate has a bike”.
We can also assume that “Milan needs a bike in the evening” as it is clearly mentioned in the given statement. Hence, both the assumptions I and II are implicit.
36. Sodium metal is stored in _______.
A. Kerosene
B. Water
C. Ether
D. Alcohol
Solutions
1.Sodium metal is stored in Kerosene.
2. Metals such as sodium, Potassium are highly reactive and they catch fire if they kept in open, hence these metals are immersed in kerosene to prevent their oxidation.
3. Reactive elements displace the less reactive elements in a chemical reaction.
4. The reactive element loose electrons readily to attain stable electronic configuration and thus reduce another element and oxidize themselves.
5. Reactive metals are found on top of the reactivity series.
6. The order of reactivity of metals is given below.
| Element | Reactivity | Atomic Number |
| Potassium (K) | Most Reactive | 19 |
| Sodium (Na) | 11 | |
| Calcium (Ca) | 20 | |
| Magnesium (Mg) | 12 | |
| Aluminium (Al) | 13 | |
| Zinc (Zn) | 30 | |
| Iron (Fe) | 26 | |
| Lead (Pb) | 82 | |
| Hydrogen (H) | 1 | |
| Copper (Cu) | 29 | |
| Mercury (Hg) | 80 | |
| Silver (Ag) | 47 | |
| Gold (Au) | Least Reactive | 79 |
37. Which of the following glands is also known as ‘master gland’?
A. Pituitary
B. Adrenal
C. Pancreas
D. Hypothalamus
Solutions
The correct answer is Option 1, i.e Pituitary.
- The Pituitary gland, also known as ‘master gland’, is an endocrine gland.
- A gland is called endocrine gland when it secretes hormones directly into the bloodstream.
- The pituitary gland is called master gland as most of its hormones control the activity of other endocrine glands.
- It produces growth hormones, prolactin, TSH (Thyroid-stimulating hormone), etc.
| Glands | Hormones |
| Adrenal | Adrenaline, noradrenaline, Cortisol |
| Pancreas | Glucagon, insulin |
| Hypothalamus | Gonadotrophin |
38. If COCK is written as D4P6D4L2, then how would HENCE be written?
A. I9F6O6D3F6
B. I9F6O5D4F6
C. I9F6O65D4F6
D. I9F5O5D4F5
Solutions
The pattern followed here is
1) The first letter of the code is the letter next to the first letter of the word as per the English alphabetical order. eg. C ⇒ D
2) The number following the first letter is the unit digit number of the positional of letter preceding it. eg. D ⇒ 04 ⇒ 4
And this process is repeated till the last letter of the given word as shown in the figure,

Hence, “I9F6O5D4F6” is the correct answer.
39. The hierarchy of animal classification is:
A. Phylum, Class, Family, Order, Species, Genus
B. Phylum, Class, Family, Order, Genus, Species
C. Phylum, Class, Order, Family, Genus, Species
D. Phylum, Order, Family, Class, Genus, Species
Solutions
1.The hierarchy of animal classification is Phylum, Class, Order, Family, Genus, Species.
2.Carolus Linnaeus gave the scientific system for naming the species and hence has called as the Father of Taxonomy.
3.This basis of this classification is to sperate the organisms based on their characteristics to separate the larger groups to smaller units I.e. species.
40. If BIRBAL is coded as RIBLAB, how is DIESEL written in that code?
A. ESETN
B. EIDLES
C. EIDCGT
D. DIESLT
Solutions
The pattern followed here is as follows,

Hence, “EIDLES” is the correct answer.
41. 63 – (- 3)(- 2 – 8 – 4) ÷ [3 {5 + (- 2)(- 1)}] = ?
A. 65
B. 60
C. -60
D. 61
Solutions

Using BODMAS rule:
⇒ 63 – (- 3)(- 2 – 8 – 4) ÷ [3 {5 + (- 2)(- 1)}]
⇒ 63 – (- 3)(- 2 – 8 – 4) ÷ [3 {5 + 2}]
⇒ 63 – (42) ÷ 21
⇒ 61
42. Which does not belong to this group?
1. Lemon
2. Tamarind
3. Raw Mango
4. Sugar
A. C
B. A
C. D
D. B
Solutions
Here, all are naturally obtained products except “sugar” which is a processed product.
Hence, “sugar” is the correct answer.
43. The second equation of motion gives the relation between _______.
A. position-time
B. velocity-momentum
C. position-velocity
D. velocity-time
Solutions
CONCEPT:
- Equation of motion: The mathematical equations used to find the final velocity, displacements, time, etc of a moving object without considering force acting on it are called equations of motion.
- These equations are only valid when the acceleration of the body is constant and they move on a straight line.
There are three equations of motion:
V = u + at
V2 = u2 + 2 a S

Where, V = final velocity, u = initial velocity,
s = distance travelled by the body under motion,
a = acceleration of body under motion,
t = time taken by the body under motion.
EXPLANATION:
From the above explanation, we can see that,
- The second equation of motion gives the position-time relation,
- i.e. s = ut + (1/2) at2.
- Here, v is the final velocity, u is the initial velocity, a is the acceleration and t is the time.
- The first equation of motion gives the relation between “velocity and time”
- i.e. v = u +at.
- The position-velocity relation gives the third equation of motion,
- i.e. 2as = v2 – u2.
44. For which sector did the union government launch the “SAMPADA Scheme”?
A. Women empowerment
B. Health
C. Food processing
D. Girl child
Solutions
1.SAMPADA Scheme was launched by the union government for the Food processing industry.
2. SAMPADA (Scheme for Agro-Marine Processing and Development of Agro Processing Industry) was launched in the year 2017.
3. Its objectives are to supplement agriculture, modernize processing and decrease agri-waste.
45.The non-metal ________ is liquid at room temperature.
A. Bromine
B. Sulphur
C. Mercury
D. Calcium
Solutions
1.Bromine is the non-metal which is liquid at room temperature.
2. It has an atomic number of 35 and its symbol is Br.
3. Mercury (Hg) is the only metal in the form of liquid at room temperature.
4. Sulphur (S) is a non-metal and Calcium (Ca) is metal and they are in the solid-state at room temperature.
46. If tanθ = 4/3, what is the value of sin θ + cos θ?
A. 4/3
B. 1
C. 7/3
D. 7/5
Solutions
⇒ tan θ = 4/3
⇒ or sin θ/cos θ = 4/3
⇒ 3 sin θ = 4 cos θ
⇒ 9 sin2 θ = 16 cos2 θ
⇒ 9(1 – cos2 θ) = 16 cos2 θ
⇒ 25 cos2 θ = 9
⇒ cos θ = 3/5
⇒ sin θ = 4/5
⇒ sin θ + cos θ = 4/5 + 3/5 = 7/5
47. Sunil Bharti Mittal is an Indian billionaire entrepreneur, philanthropist and the Founder and Chairman of _______.
A. Bharti Enterprises
B. ArcelorMittal
C. HCL Technologies
D. Wipro Limited
Solutions
1.Sunil Bharti Mittal is an Indian billionaire entrepreneur, philanthropist and the Founder and Chairman of Bharti Enterprises.
2. He is most famous for his ownership of telecommunication company ‘Airtel’.
3. Arcelor Mittal is chaired by Lakshmi Mittal, HCL Technologies is chaired by Shiv Nadar and Wipro Limited is founded by Azim Premji.
48.Indian Railways earn the maximum revenue from _________.
A. Monthly season tickets
B. AC Train travelers
C. freight
D. fine on ticketless travellers
Solutions
1.Indian Railways earn the maximum revenue from freight.
2. Indian Railways is one of the largest employers on earth.
3. Indian Railways android app IRCTC won National Award for E-Governance for the year 2018 in special jury award.
4. Indian railways have four UNESCO world heritage sites and they are Darjeeling Himalayan Railway enlisted in the year 1999, Mumbai CSMT Building enlisted in the year 2004, Nigiri Mountain Railways enlisted in the year 2005 and Kalka-Shimla Railways enlisted in the year 2008.
49. When light is incident on a polished surface, __________ reflection takes place.
A. regular
B. irregular
C. normal
D. diffused
Solutions
CONCEPT:
- Laws of reflection: The angle of reflection equals the angle of incidence.
2. The incident ray, the reflected ray and the normal lie in the same plane.
3. When light rays strike on a smooth plane surface then the reflection is called regular reflection.
4. When light reflects at many angles after the incidence on the surface, such a reflection is called as diffuse reflection.
5. Light rays are not parallel to each other after irregular reflection, but they obey laws of reflection at each point of reflection.

EXPLANATION:
- When light is incident on a polished surface, regular reflection takes place.
- Reflection is a phenomenon in which the direction of the incident ray changes when it falls on a smooth, reflecting surface.
- The light ray that was reflected is called reflected ray.
- In the case of a plane mirror, the angle of reflection and angle of incidence is the same.
50. 0.3/1000 is equal to:
A. 3 × 10-4
B. 3 × 10-6
C. 3 × 105
D. 3 × 10-5
Solutions
⇒ 0.3/1000 = 3/10000 = 3 × 10-4
51. What is common among Lithium, Sodium and Potassium?
A. These have one electron in their outermost shell
B. There are alkaline earth metals
C. These cannot form oxides
D. These are inert elements
Solutions
1.Lithium (Li), Sodium (Na), and Potassium (K) has one electron in their outermost orbits.
2. They belong to group 1 and hence they are Alkali Metals.
3. Lithium can form lithium oxide, Sodium forms Sodium oxide and Potassium can form Potassium peroxide in the presence of oxygen.
4. They are not Inert elements as they react with other compounds.

52. Which country is hosting the 2018 Men’s Hockey World Cup?
A. China
B. India
C. Korea
D. England
Solutions
1.India hosted the 2018 Men’s Hockey World Cup.
2. It was held in the city of Bhubaneswar, the capital of Odisha state.
3. The 2018 Men’s Hockey World Cup was won by Belgium.
53. If P = sum of 3/5 and 2/7, Q = 15/31 then find P × Q.
A. 3/4
B. 7/4
C. 2/7
D. 3/7
Solutions
⇒ P = 3/5 + 2/7 = 31/35
⇒ Q = 15/31
∴ P × Q = (31/35) × (15/31) = 3/7
54. The power plant at Manikaran, based on geothermal energy, is in ________.
A. Punjab
B. Assam
C. Himachal Pradesh
D. Uttar Pradesh
Solutions
1. The power plant at Manikaran is based on geothermal energy, is in Himachal Pradesh.
2. It is in Parvathi valley on the banks of Parvathi river.
3. Geothermal Energy plants work by utilising heat from the interior of the earth.
4. The Geothermal plants are a renewable and non-polluting source of energy.
5. They are utilized for providing hot water, generating electricity etc.
55. Who won the Golden Ball Award at the 2018 FIFA World Cup?
A. Brad Jones
B. Luka Modric
C. Pedro Geromel
D. Franco Armani
Solutions
1.Luka Modric won the Golden Ball Award at the 2018 FIFA World Cup.
2. He plays for Croatian National football team and for Spanish football club Real Madrid.
3. England national football captain Harry Kane was awarded the Golden Boot for scoring most goals (6) in FIFA World Cup 2018.
4. Belgium’s Thibaut Courtois won the Golden Glove as the best goalkeeper of FIFA World Cup 2018.
56. With reference to international money transactions, what is the full form of IMF?
A. Indian Monetary Form
B. International Money Form
C. International Monetary Fund
D. International Monitoring Fund
Solutions
1.IMF stands for ‘International Monetary Fund’.
2. IMF was established in the year 1945, has a membership of 190 countries and has its headquarters in Washington D.C, USA.
3. Its primary purpose is to uphold global financial stability and to ensure the stability of the international monetary system i.e. the system of exchange rates and international payments that enables countries and their citizens to transact with each other.
57. Read the given statement followed by the two assumptions numbered I and II. You have to consider the statement and the following assumptions and decide which of the assumptions is implicit in the statement.
Statement: “I will catch the flight to reach on time,” says Ram to Shyam.
Assumptions:
I. Travelling by plane is the fastest way to reach a destination.
II. Train and bus are other modes of transport.
A. Only assumption II is implicit
B. Neither assumption I nor II is implicit
C. Both assumption I and II are implicit
D. Only assumption I is implicit
Solutions
From the statement, Ram wants to “reach on time”, so he wants to travel as fast as he can and he mentions that he will “catch the flight”. Thus, we can assume that “travelling by plane is the fast way to reach a destination”.
There is no mention of “trains and buses” so we cannot say anything about them.
Hence, “Only assumption I is implicit”.
58. 18 years ago, Cyrus was 2.5 times as old as Nikhil. The sum of their present ages is 92 years. How old is Nikhil now?
A. 31 years
B. 33 years
C. 34 years
D. 32 years
Solutions
Let the current age of Cyrus be x and age of Nikhil be y.
18 years ago,
⇒ x – 18 = 2.5 (y – 18)
⇒ x – 18 = 2.5y – 45
⇒ x – 2.5y = – 27 —-(1)
⇒ x + y = 92 —-(2)
Subtract equation 1 from 2, we get
⇒ 3.5y = 119
∴ Age of Nikhil is 34 years.
59. What is the measure of the smaller of the two angles formed between the hour hand and the minute hand of a clock when it is 6:45 pm
A. 62o
B. 83o
C. 84o
D. 67.5o
Solutions
Additional Information
Hour hand covers 3600 in 12 hours
Angular distance covered in 1 hour = 360/12 = 300
Angular distance covered in 60 minutes = 300
Angular distance covered in 1 minutes = 1/20
CALCULATION:
Minute hand covers 360 in 60 minutes
60 minutes = 3600
1 minute =360/60
1 minute = 60
Here minute = 45
Angle covered by minute hand = 45 × 6 = 2700
Angle covered by hour hand = 6 × 30 + 45 × ½ = 180 + 22.5 = 202.50
Angle between hour and minute hands = 270 – 202.5 = 67.50
Hence, angle between hour and minute hands is 67.50
Alternate Method
Formula to calculate angle (N) between Minute hand and hour hand is:

hence, the correct answer is 67.5o.
60. Vikram Singh, the 1997 batch officer of the Indian Railway Traffic Service (IRTS), is/was appointed as Private Secretary to which of the following Presidents?
A. Mrs. Pratibha Patil
B. Dr. APJ Abdul Kalam
C. Mr. Pranab Mukhergee
D. Mr. Ram Nath Kovind
Solutions
1.Vikram Singh, the 1997 batch officer of the Indian Railway Traffic Service (IRTS) is the private secretary of the President of India, Ram Nath Kovind.
2. Ram Nath Kovind is the 14th president of India.
3. He serving as a president since 2017.
61. On which dates India organized the Cultural Festival in Egypt to mark the 156th birth anniversary of Rabindranath Tagore?
A. May 8th – 12th, 2017
B. June 8th – 12th, 2017
C. June 6th – 10th, 2017
D. May 6th – 10th, 2017
Solutions
1.From May 8th – 12th in the year 2017, India organized the Cultural Festival in Egypt to mark the 156th birth anniversary of Rabindranath Tagore.
2. It was organised by the cultural wing Indian Embassy in Egypt.
3. Rabindranath Tagore was the first Asian to win a noble prize and he won the noble prize for literature in the year 1913 for his poem Gitanjali.
62. Which of the options bears the closest resemblance to the following figure?

A. B
B. C
C. A
D. D
Solutions
In the question figure triangle, star, and a small Δ with its mirror image is inscribed in a rectangular shape.
Only in the option figure D all the figure in the question figure can be observed and closely resembles the question figure.
Hence, “option figure D” is the correct answer.
63. From the below-given elements which one _______ is smallest in size.
A. All of these options
B. Mg2+
C. Al3+
D. Na+
Solutions
1.Aluminium Ion (Al3+) has the smallest size among the given elements.
2. As we move from left to right in the periodic table the atomic radius decreases.
3. In the given options, in Aluminium (Al) the number of electrons is decreased in outermost orbit or valency shell by 3 hence the attraction between the outermost orbit and nucleus increases thereby shrinking the atomic radii.
4. Hence Aluminium ion has the smallest size.
64. ________ a 106-year-old woman from Chhattisgarh was chosen as the mascot for the ‘Swachh Bharat Abhiyan’. She died on 23rd February 2018. She had shot to fame in 2016 when the story of her selling goats to build a toilet at home got nationwide publicity.
A. Kunwar Bai Patel
B. Kunwar Bai Yadav
C. Kunwar Bai Mishra
D. Kunwar Bai Gupta
Solutions
1.Kunwar Bai Yadav, a 106-year-old woman from Chhattisgarh who was chosen as the mascot for the ‘Swachh Bharat Abhiyan’ died on 23rd February 2018.
2. Swachh Bharat Abhiyan was launched in 2nd October 2014 the birthday of Mahatma Gandhi to promote cleanliness.
3. The programme plans to make India free from open defecation by October 2019.
65. 4 skilled workers can dig a pond in 8 days, whereas it takes 8 unskilled workers 12 days to dig it. How many days will it take 3 skilled and 15 unskilled workers to dig such a pond?
A. 4
B. 3
C. 2
D. 5
Solutions
⇒ Pond dug by 4 skilled workers in 1 day = 1/8
⇒ Pond dug by 1 skilled worker in 1 day = 1/32
⇒ Pond dug by 8 unskilled workers in 1 day = 1/12
⇒ Pond dug by 1 unskilled worker in 1 day = 1/96
⇒ Pond dug by 3 skilled and 15 unskilled workers in 1 day = 3/32 + 15/96 = 24/96
∴ Time taken by 3 skilled and 15 unskilled workers to dig a pond is 4 days.
66. The speed of a boat in still water is 20 km/hr. If the boat goes upstream for a distance of 20 km in 4 hours, find the speed of the stream.
A. 20 km/hr
B. 15 km/hr
C. 30 km/hr
D. 25 km/hr
Solutions
Let the speed of stream be x km/hr.
⇒ Speed of boat in still water = 20 km/hr
⇒ Speed of boat in upstream = 20/4 = 5 km/hr
Also, speed of boat in upstream = speed of boat in still water – speed of stream
⇒ 5 = 20 – x
∴ The speed of stream is 15 km/hr.
67. Which of the option figures bears the closest resemblance to the question figure?
Question figure:

A. A
B. D
C. B
D. C
Solutions
In the question figure a ‘star’ is inscribed in ‘a square’ and both ‘pentagon’ and ‘the square’ are enclosed in another square. This orientation can only be seen in the option figure “B” with 180° clockwise rotation.
Hence, “option figure B” is the correct answer.
68. What comes next in the given series:9D, 8E, 7F, 6G, 5H, ?
A. 12C
B. 4I
C. 10V
D. 6J
Solutions
The pattern followed here is as follows,

Hence, “4I” is the correct answer.
69. Which hormone is released from the testes?
A. Thyroxin
B. Adrenaline
C. Insulin
D. Testosterone
Solutions
1.The hormone released from testes is Testosterone.
2. Testosterone is the male sex hormone.
3. It plays a key role in the development of male reproductive tissues such as the testis and prostate.
4. It also increases the growth of body hair.
| Hormone | Function | Gland |
| Thyroxin | It helps in maintaining the body’s metabolism. | Thyroid |
| Insulin | It helps in regulating sugar levels in the body. | Pancreas |
| Adrenaline | It increases the heart rate, blood pressure etc during emergency situations. | Adrenal Gland |
70. Arrange the following compounds in the increasing order of their carbon bond length:
Ethene, Ethyne, Ethane.
A. Ethene, Ethyne, Ethane
B. Ethyne, Ethene, Ethane
C. Ethane, Ethene, Ethyne
D. Ethane, Ethyne, Ethene
Solutions
- The carbon bond length depends on some factors
- Bond length is indirectly proportional to the No. of Bonds. The more the number of bonds less the bond leng
- C—C only a single bond, so the bond length is the longest
- C=C, double bonds means 2 bonds, so the bond length is shorter than the single bond length
- C≡C triple bond length means 3 bonds, so the bond length is shortest among all.
- The Compounds in the Increasing order of their carbon length are Ethyne, Ethene, Ethane.
- Ethyne< Ethene< Ethane (C2H2<C2H4<C2H6).
1.Bond Length is directly proportional to Atomic Size and % P character
- Eg. For atomic size
2. H-F, H-Cl, H-Br, H-I, here down the group, atomic size increases so the bond length increases with an increase in atomic size.
3. So, H-F< H-Cl
| Compound | Description | Chemical formula |
| Ethyne | it has a triple bond between two carbon atoms | C2H2It is Alkyne and its general formula isCnH2n-2.. |
| Ethene | it has two carbon atoms that are double-bonded to each other | C2H4.It is Alkenes and its general formula is CnH2n |
| Ethane | It has its two carbon atoms have a single bond between them | C2H6.It is an Alkane and its general formula is CnH2n+2. |
71. The union government has constituted a ministerial panel headed by _______ to oversee the merger proposals of state-owned banks.
A. Manmohan Singh
B. P. Chidambaram
C. Arun Jaitley
D. Pranab Mukherjee
Solutions
1. The Union Government has constituted a ministerial panel headed by Arun Jaitley to oversee the merger proposals of state-owned banks.
2. It is known Alternative Mechanism and it will oversee the proposal coming from the board of PSB for consolidation.
3. Apart from Arun Jaitley, other members are Piyush Goyal and Nirmala Sitharaman.
72. Which of the following laws states the relationship between the current flowing through a metallic wire and the potential difference across its terminals?
A. Law of charges
B. Radiation law
C. Ohm’s law
D. Joule’s law
Solutions
1.Ohm’s law states the relationship between the current flowing through a metallic wire and the potential difference across its terminals.
2. Ohm’s law states that “At a constant physical Conditions (such as temperature, pressure etc) the amount of current flowing in a circuit is directly proportional to voltage (Potential difference) in the circuit.
3. Mathematically it can be written as V ∝ I
4. Here proportional can be replaced by constant ‘R’.
5. Hence Ohm’s Law can be written as V = IR
73. Who among the following has compiled the ancient treatise ‘Natyashastra’ of India?
A. Agasthya
B. Manu
C. Bharatamuni
D. Vedavya
Solutions
1.The ancient treatise ‘Natyashastra’ of India was written by Bharatamuni.
2. In his book, he purposed a dance of two types they are Tandava and Lasya.
3. Where Tandava denotes power and strength while Lasya describes the dance of happiness.
4. In his book, he describes the classical dances.
5. There are 8 classical dances In India, they are
| Dance Form | State it belongs |
| Bharatanatyam | Tamil Nadu |
| Kuchipudi | Andhra Pradesh |
| Odissi | Odisha |
| Mohiniyattam | Kerala |
| Kathak | Uttar Pradesh |
| Kathakali | Kerala |
| Sattriya | Assam |
| Manipuri | Manipur |
74. Read the following question and decide which of the statements is/are sufficient to answer the question.
Find the average size of the balls.
Statements:
1.The balls are red in colour.
2.There are 6 balls with radii 3 cm, 4 cm, 7 cm, 5 cm, 4 cm and 6 cm.
A. Only statement 2 is sufficient
B. Both statements 1 and 2 are sufficient
C. Only statement 1 is sufficient
D. Either statement 1 or 2 is sufficient
Solutions
Statement 1:
⇒ Average size of the ball can be obtained as the radii of all the balls is available
Statement 2:
⇒ Colour of the balls will not help in finding the average size.
Therefore, only statement 1 is sufficient.
75. How many water molecules are present in one molecule of washing soda?
A. 8
B. 7
C. 9
D. 10
Solutions
1. The number of water molecules present is ‘washing soda’ is 10.
2. We know the molecular formula for Washing Soda is Na2CO3.10H2O.
3. Recrystallisation of Sodium Carbonate (Na2CO3) gives washing soda.
4.In a Washing soda, water is present in the form of crystals.
76. In ΔABC, D and E are points on AB and AC respectively such that DE is parallel to BC. If AD = 1 cm, DB = 3 cm, then ar(ΔADE) : ar(ΔABC) is:
A. 1 : 16
B. 1 : 3
C. 1 : 9
D. 1 : 4
Solutions
⇒ AD/DB = AE/EC
⇒ AC = AD + DB = 4 cm
Also,
⇒ ∠A = ∠A
⇒ Applying SAS similarity theorem, we can conclude that ∆ADE ~ ∆ABC
Area of ΔADE ∶ Area of ΔABC = AD2 : AC2 = 1 : 16
77. Sita celebrated her Birthday on one of the Wednesday in the month of December 2017, On which date can it be.
A. 16
B. 22
C. 13
D. 9
Solutions
First, let us calculate what day was on 1st December 2017.
2000 years = 0 odd days.
From 2001 to 2016, the number of odd days is 1 + 1 + 1 + 2 + 1 + 1 + 1 + 2 + 1 + 1 + 1 + 2 + 1 + 1 + 1 + 2 = 20 or 6 odd days.
From January to December, the number of odd days is 31 + 28 + 31 + 30 + 31 + 30 + 31 + 31 + 30 + 31 + 30 + 1( 1st day of December) = 335 or just 6 odd days.
Total odd days is 12 or 5 which is Friday.
1st December is Friday, So 6th December will be first Wednesday of December 2017.
6, 13, 20, 27 are Wednesdays in December 2017.
Hence, 13 is the correct answer.
78. Which assumptions are implied from the below statement?
Statement:
“In peak hours it is better to travel by two-wheeler” Y said to Z
Assumptions:
I. Two-wheeler is easier to navigate in the traffic.
II. There is separate lane for two wheelers.
A. Only II is implicit
B. Only I is implicit
C. Both I and II are implicit
D. Neither I nor Ii is implicit
Solutions
From the statement, “during peak hours it is better to travel by a two-wheeler”, as we know that during peak hours there a lot of traffic jam and there is very little space to move and a two-wheeler require less space. Thus, we can assume that “a two-wheeler is easier to navigate in the traffic”.
Since in the statement it is not mentioned about “separate lane for two-wheelers” and separate lanes for two-wheels are not present in all cities.
Hence, “only assumption I is implicit”.
79. Choose the mirror image for the following figure.

A. A
B. C
C. B
D. D
Solutions
The mirror image can be shown in the following figure,

Hence, “option figure A” is the correct answer.
80. The rate of change of displacement is called ________.
A. distance
B. Velocity
C. Acceleration
D. Force
Solutions
CONCEPT:
- Velocity: The rate of change of displacement with time is called velocity.
- The SI Unit of velocity is m/s.
EXPLANATION:
- The rate of change of displacement is called velocity. So option 2 is correct.
Key Points
| Speed | It is defined as the total distance travelled with respect to time. |
| Acceleration | It is defined as the rate of change of velocity. |
| Force | It can be defined as a push or a pull that tends to change the state of an object or changes the direction or shape of an object. |
81. Which of the numbers is NOT composite?
A. 943
B. 323
C. 713
D. 409
Solutions
⇒ A composite number is a positive integer which is not prime (i.e., which has factors other than 1 and itself).
⇒ Prime Factors of 943 = 23 × 41
⇒ Prime Factors of 323 = 17 × 19
⇒ Prime factors of 713 = 23 × 31
⇒ Prime factors of 409 = 1 × 409
∴ 409 is not composite as it does not have factors other than 1 and itself.
82. How many molecules of water are present in one molecule of copper sulphate?
A. 4
B. 3
C. 6
D. 5
Solutions
1.The number of water molecules in Copper Sulphate solution is 5.
2. The chemical formula for Copper Sulphate in its hydrated form is CuSO4. 5H2O.
3. Water is present in the form of crystals in Copper Sulphate.
4. It is IUPAC name is Copper Sulphate Pentahydrate.
5. Another name for Copper sulphate is Blue Vitriol.
83. Sunder walks for 4km towards the East. He then turns right and walks for 3km. Again turns right and continues walking. In which direction is he walking now?
A. East
B. North
C. West
D. South
Solutions
The diagram is as follows:

Hence, he is walking in the West direction.
84. A boy of mass 50 kg runs up a staircase of 45 steps in 9s, the height of each step is 15 cm, find his power. (Take g = 10 m/s2):
A. 375 W
B. 325 W
C. 275 W
D. 475 W
Solutions
⇒ Mass of the boy (m) = 50 kg
⇒ Time taken by the boy (t) = 9s
⇒ Total number of steps = 45 steps
⇒ Height of each step = 15 cm
⇒ Total height = 45 × 15 ⇒ 675 cm
⇒ Total height (h) = 6.75 m
⇒ Gravity is taken here (g) = 10m/s2
We know that,
Potential Energy (P.E) = mgh ⇒ (50) × (10) × (6.75).
= 3375 J.
We know that,
Power (p) = Energy/time
= 3375/9
= 375 W
Power of the boy is 375 W.
85. Which of the options bears the closest resemblance to the following figure?

A. D
B. A
C. C
D. B
Solutions
In the question figure, a triangle (Δ) is inscribed in a rectangular paper touching two sides and a corner of that rectangular paper, and one of the corners which is adjacent to the base of the triangle is slightly folded around the corner. The head vertex of the triangle touches the other side of the rectangle. All the correct figures and the correct orientation can only be seen in figure D.
Hence, “option figure D” is the correct answer.
86. If the equations 14x + 8y + 5 = 0 and 21x – ky – 7 = 0 have no solution, then the value of k is:
A. 12
B. -12
C. 8
D. -16
Solutions
⇒ The equations have no solution when their slopes are same
⇒ Slope of equation 1 = – 14/8 = – 7/4
⇒ Slope of equation 2 = 21/k
⇒ So, 21/k = – 7/4
∴ The value of k is – 12.
87. Chatrapati Shivaji was born in which of these forts?
A. Panhala
B. Shivneri
C. Pratapgad
D. Raigad
Solutions
Key Points
1.Chatrapati Shivaji Maharaj (1630-1680) was born in the fort of Shivneri on the 19th February 1630.
2. His father was Shahji Bhonsle and mother Jija Bhai.
3. He established the Maratha Empire and he assumed the title ‘Chatrapati’ in the year 1674.
4. Chauth and Sardeshmuki were the taxes collected by the Marathas in their neighbouring countries.
88. How many possible two-digit numbers can be formed by using the digits 3, 5 and 7 (repetition of digits is allowed)?
A. 10
B. 9
C. 7
D. 8
Solutions
⇒ Number of possible two-digit numbers which can be formed by using the digits 3, 5 and 7 = 3 × 3.
∴ 9 possible two-digit numbers can be formed.
The 9 possible two-digit numbers are:
33, 35, 37, 53, 55, 57, 73, 75, 77
89. If a bulb of 50 W consumes the energy of 1000 J, then in how much time the bulb will glow?
A. 20 s
B. 1 s
C. 100 s
D. 10 s
Solutions
1. Rated power of bulb (P) = 50 W
2. Energy consumed by the bulb (E) = 1000 J
3. Amount of time bulb glows = t
4. We know that power (E) = P.t ⇒ t = E/P
5. Now by substituting values, we get t = 1000/50 ⇒ 20
6. Total time (t) the bulb glows is 20s.
90. What should come in place of ‘?’ in the following question?

A. 11/2
B. 2
C. 11/6
D. 13/6
Solutions
Concept Used:

⇒ [{7/3 – 4} + 7/2] = ?
⇒ [ -5/3 + 7/2 ] = ?
⇒ ? = (-10 + 21)/ 6 = 11/6
91. Find HCF of 16, 48 and 104.
A. 12
B. 16
C. 4
D. 8
Solutions
⇒ Prime factors of 16 = 24
⇒ Prime factors of 48 = 24 × 3
⇒ Prime factors of 104 = 23 × 13
Therefore, highest common factor = 23 = 8
92. The ratio of the number of blue and red balls in a bag is constant. When there were 68 red balls, the number of blue balls was 36. If the number of blue balls was 63, how many red balls should be there in the bag?
A. 98
B. 119
C. 102
D. 110
Solutions
⇒ Here, k1/k2 = k3/k4, where k1 is the initial number of red balls, k2 is the initial number of blue balls, k3 is the new number of red balls and k4 is the new number of blue balls
⇒ 68/36 = k3/63
⇒ k3 = 119
∴There should be 119 red balls in the bag.
93. If ‘+’ becomes ‘-’ and ‘×’ becomes ‘÷’ then what will be the value of ((175 + 160) × 50) × 10?
A. 0.03
B. 0.3
C. 0
D. -0.3
Solutions
| Symbol | + | × |
| Meaning | – | ÷ |
Given expression: ((175 + 160) × 50) × 10
After changing the symbols:
((175 – 160) ÷ 50) ÷ 10
= (15 ÷ 50) ÷ 10
= (0.3) ÷ 10
= 0.03
Hence, “0.03” is the correct answer
94. A ball thrown up vertically returns to the ground after 12.5 seconds. Find the velocity with which it was thrown up.
A. 61 m/s
B. 51 m/s
C. 65 m/s
D. 40 m/s
Solutions
- The time for the ball returning to the ground after being thrown up (t) = 12.5s
- As we know that Time of ascent is equal to the time of descent.
- Time to taken for ascent (t1) = 12.5/2 ⇒ 6.25.
- We know that final velocity of ball at its maximum height (v) = 0
- Acceleration against gravity (g) = -9.81 m/s2
- We know that formula v = u + at
0 = u + (-9.81) (6.25).
u = 61.31 m/s
.The velocity with which the ball was thrown up = 61 m/s.
95. Find the point at which the line segment joined by the points (- 1, 0) and (2, 6) is divided internally in the ratio 2 : 1.
A. (0, 5)
B. (1, 4)
C. (1, 3)
D. (0, 4)
Solutions
⇒ Section formula for internal division = {[(mx2 + nx1)/(m + n)], [(my2 + ny1)/(m + n)]}
⇒ Here, x1, y1 = (- 1, 0) and x2, y2 = (2, 6). m : n = 2 : 1
⇒ [(2 × 2) + (1 × – 1)]/(2 + 1), [(2 × 6) + (1 × 0)]/(2 + 1) = (1, 4)
∴ The line segment joined by the points (- 1, 0) and (2, 6) is divided internally in the ratio 2 : 1 at the point (1, 4).
96. Read the given statement and Identify which of the conclusion logically follow/s from the statement.
Statement: 100 people work at Ravi’s own company.
Conclusions:
I. Ravi is an entrepreneur.
II. Ravi is a good man.
A. Only conclusion II follows
B. Both conclusion I and II follow
C. Only conclusion I follows
D. Neither conclusion I nor II follows
Solutions
The statement says that, 100 people work at Ravi’s own company so it can be concluded that Ravi is an entrepreneur. The statement dos not say anything about the character f Ravi whethe he is good person or not, so conclusion II is not valid.
Hence, only conclusion I follows.
97. Find the next letter in the given series:Z, X, V, T, R, P, ?
A. E
B. N
C. L
D. C
Solutions
The pattern followed here is as follows,

Hence, “N” is the correct answer.
98. The First War of Indian Independence was fought in the year ________.
A. 1787
B. 1587
C. 1857
D. 1875
Solutions
1.The First War of Indian Independence was fought in the year 1857.
2. It is also known as Indian Sepoy Mutiny of 1857.
3. It was called The First War of Indian Independence by V.D Savarkar.
4. He authored a book called ‘The History of the War of Indian Independence’ in which he stated his views and announced the mutiny as the First War of Indian Independence.
5. Lord Canning (1856-1862) was the Governor-General of India/ Viceroy of India during this revolt.
99. Choose the best suitable Venn diagram for the following classes: Camera, Table, Furniture
A. 
B. ![]()
C. ![]()
D. 
Solutions
We know that a table is a kind of furniture, but we cannot relate ‘camera’ with either table or furniture.
Thus, the following Venn diagram is best suitable for the given information:

Hence, the figure in option 3 is the correct answer.
100. A shirt was marked at Rs. 1600. During a Diwali festival offer, 10% discount was allowed on it. What will be the selling price of the shirt?
A. Rs. 1540
B. Rs. 1400
C. Rs. 1440
D. Rs. 1240
Solutions
⇒ Cost price of the shirt = Rs. 1600
⇒ Selling Price = Cost Price × (1 – Discount%)
Therefore, selling price of the shirt = 90% of 1600 = Rs. 1440
