1. The percentage profit earned by selling an article for ₹2,000 is the same as the percentage loss incurred by selling the same article for ₹1,200. At what price should that article be sold to make a profit of 20% ?
A. ₹2,000
B. ₹1,800
C. ₹1,920
D. ₹1,840
Solutions

2. There are 44 mangoes 121 bananas and 11 apples they have to be arranged in several rows in such a way that every row contains equal number of fruits and each row contains fruit of one type. What is the minimum number of rows?
A. 16
B. 15
C. 14
D. 13
Solutions
Given:
44 mangoes, 121 bananas, 11 apples
Formula Used:
Minimum number of rows = Sum of Total fruits / HCF of all fruits
Solution:
HCF of 44, 121, 11 = 11.
Each row contains 11 fruits
No. of mangoes row = 4
No. of apples row = 1
No. of bananas row = 11
Total row = 4+1+11= 16 rows
3. Gita purchases an apartment and pays EMI for that. Her monthly income is Rs. 80000. She spends 15% on the education of her children 40% on household affairs sends 10% to GPF saves 15% in a savings bank account and pays the rest of the amount as EMI. How much EMI does she pay?
A. Rs. 14000
B. Rs. 18000
C. Rs. 16000
D. Rs. 20000
Solutions
Given:
Monthly income = Rs. 80000
Education = 15%
Household = 40%
GPF = 10%
Savings = 15%
Formula Used:
EMI = Monthly Income – (Education + Household + GPF + Savings)
Solution:
EMI = Rs. 80000 – (15% of 80000 + 40% of 80000 + 10% of 80000 + 15% of 80000)
= Rs. 80000 – Rs. 64000
= Rs. 16000.
4. What is the unit of measurement for magnetic field strength?
A. Tesla
B. Joule
C. Ohm
D. Watt
Solutions
The unit of measurement for magnetic field strength is the tesla (T), which is equivalent to 1 weber per square meter. Another commonly used unit is the gauss (G), with 1 T = 10,000 G.
Important Points:
Joule (symbol: J) is the unit of measurement for energy or work, which is defined as the amount of work done when a force of one newton is applied over a distance of one meter.
Ohm (symbol: Ω) is the unit of measurement for electrical resistance, which is the opposition of a material or a circuit to the flow of electric current.
Watt (symbol: W) is the unit of measurement for power, which is the rate at which work is done or energy is transferred. One watt is equivalent to one joule per second.
5. What is the smallest number which can be added to 9454351626 so that it becomes divisible by 11 ?
A. 1
B. 6
C. 5
D. 4
Solutions
Given:
The number is 9454351626.
Formula Used:
A number is divisible by 11 if the difference between the sum of its digits at odd places, and the sum of its digits at even places is divisible by 11.
Solution:
Checking from option;
From option (b)
∴ 9454351626 + 6 = 9454351632
|9 + 5 + 3 + 1 + 3| – |4 + 4 + 5 + 6 + 2|
21 – 21 = 0,
which means after adding the smallest number 6 in 9454351626 ,
the number we get is 9454351632 which is divisible by 11.
6. In a certain code language, ‘NORTH’ is written as ‘225’ and ‘PEAT’ is written as ‘126’. How will ‘SOUTH’ be written as in that language?
A. 175
B. 345
C. 249
D. 245
Solutions
The pattern is
N+O+R+T+H= 14+15+18+20+8=75 × (3) = 225
Similarly,
S+O+U+T+H = 19+15+21+20+8 = 83 × (3) = 249
7. The antibiotic penicillin is obtained from which of the following?
A. Synthetic process
B. A bacterium
C. Fungus
D. virus-infected cells
Solutions
The correct answer is (c) Fungus.

8. Which Union Ministry implements the “Saksham Anganwadi and Poshan 2.0” scheme?
A. Ministry of Consumer Affairs, Food & Public Distribution
B. Ministry of Health and Family welfare
C. Ministry of Agriculture & Farmers Welfare
D. Ministry of Women and Child Development
Solutions
Ministry of Women and Child Development (MoWCD) released operational guidelines to implement ‘Saksham Anganwadi and Poshan 2.0.
• In Financial Year (FY) 2021-22, the Government of India (GoI) restructured the Integrated Child Development Services (ICDS) and POSHAN (Prime Minister’s Overarching Scheme for Holistic Nourishment) Abhiyaan into Saksham Anganwadi and POSHAN 2.0
9. How many triangles are there in the following figure?

A. 14
B. 22
C. 24
D. 18
Solutions
we can break this figure into two parts

total number of triangles in these figure = 2×6 + 2×6 = 24
10. Which of the following is “NOT one of the three major types of rocks?
A. Sedimentary Rocks
B. Magnetic Rocks
C. Igneous Rocks
D. Metamorphic Rocks
Solutions
The answer is (b). Magnetic Rocks.
The three major types of rocks are sedimentary rocks, igneous rocks, and metamorphic rocks. Magnetic rocks are not a type of rock
The three major types of rocks are:
· Sedimentary Rocks: These rocks are formed by the accumulation and cementation of sediments over time. Sediments can be derived from the weathering and erosion of other rocks, organic materials, or chemical precipitates. Examples of sedimentary rocks include sandstone, limestone, and shale.
· Igneous Rocks: These rocks are formed from the solidification and cooling of molten lava or magma. They can be classified into two main types: intrusive igneous rocks (formed beneath the Earth’s surface) and extrusive igneous rocks (formed on the Earth’s surface). Examples of igneous rocks include granite and basalt.
· Metamorphic Rocks: These rocks are formed from the transformation of existing rocks through heat, pressure, and chemically reactive fluids, without melting. Metamorphism occurs deep within the Earth’s crust. Examples of metamorphic rocks include marble (from limestone) and slate (from shale).
11. Who are the authors of the book “Maya, Modi, Azad: Dalit Politics in the Time of Hindutva”?
A. Sudha Kumar and Sajjan Azad
B. Sudha Kumar and Sajjan Pai
C. Sudha Pai and Sajjan Kumar
D. Sudha Azad and Sajjan Pai
Solutions
Sudha Pai and Sajjan Kumar have authored a book called “Maya, Modi, Azad: Dalit Politics in the Time of Hindutva.”
In this book, they provide a perceptive and thought-provoking examination of the interplay between Maya, Modi, and Azad in the realm of Dalit politics. Their analysis holds great importance in comprehending not only the dynamics of Dalit politics but also the broader democratic landscape of India, especially as we approach the highly contentious general election of 2024.
12. Select the option that represents the letters that, when sequentially placed from left to right in the blanks below will complete the letter series. MN _ _ SM _ PO _ _ N _ OSM _ P _ S
A. PONSMPNO
B. PNOSMPNO
C. PONMSPNO
D. PONSNOMP
Solutions
Given: MN _ _ SM _ PO _ _ N _ OSM _ P _ S
From option (A) PONSMPNO
MN PO S / M N PO S / M N P OS / M N P O S (sequence followed)
From option (B) PNOSMPNO
MN PN S / M O PO S / M N P OS / M N P O S (sequence not followed)
From option (C)PONMSPNO
MN PO S / M N PO M / S N P OS / M N P O S (sequence not followed)
From option (D) PONSNOMP
MN PO S / M N PO S / N N O OS / M M P P S (sequence not followed)
Correct answer is (A) PONSMPNO
13. What should come in place of ‘?’ in the given series?
25, 39, 67, 123, 235, ?
A. 434
B. 459
C. 378
D. 291
Solutions
25 + 14 = 39
39 + 28 = 67
67 + 56 = 123
123 + 112 = 235
235 + 224 = 459
14. A person standing at a distance looks at a building having a height of 1000 metres. The angle between the top of the building and the ground is 30°. At what approximate distance (in metres) is the person standing away from the building.
A. 1000
B. 936
C. 1732
D. 1542
Solutions
Given:
Height of the building = 1000 meters
Angle of elevation = 30∘
We need to find the distance between the person and the building
Formula Used:
Using trigonometry, we can apply the tangent function:

15. What was the main objective of the Union Cabinet’s approval of the progressive expansion of the Central Sector Scheme (CSS) under the Agriculture Infrastructure Fund (AIF)?
A. To develop new urban infrastructure
B. To promote international trade
C. To strengthen agricultural infrastructure and support the farming community
D. To build new highways
Solutions
The correct answer is (c) To strengthen agricultural infrastructure and support the farming community.
· The main objective of the Union Cabinet’s approval of the progressive expansion of the Central Sector Scheme (CSS) under the Agriculture Infrastructure Fund (AIF) is to strengthen agricultural infrastructure. This initiative aims to support the farming community by enhancing the efficiency, post-harvest management, and value addition capabilities within the agricultural sector.
· The scheme focuses on providing financial support to build and modernize essential agricultural infrastructure. This includes facilities like cold storage units, warehouses, processing units, and other logistics that are critical for reducing post-harvest losses and increasing farmers’ income.
Information Booster:
· Long-term Benefits: By improving agricultural infrastructure, the scheme not only aims to enhance the productivity and profitability for farmers but also ensures better market reach and reduced wastage of agricultural produce.
· Financial Support: The Agriculture Infrastructure Fund (AIF) provides a medium for necessary financial support, facilitating the development of modern infrastructure at the grassroots level.
· Supporting Sustainable Agriculture: The initiative is also aligned with the government’s broader goals of promoting sustainable agricultural practices by ensuring that infrastructure is built to support efficient use of resources.
16. The mean of a distribution is 63 and the standard deviation is 9. what is the value of the coefficient variation?
A. 
B. 
C. 
D. 
Solutions

17. Under which circumstances can the Governor dismiss a Minister in a state government?
A. If the Minister is found guilty of any criminal offense
B. If the Minister loses the support of the majority of the Council of Ministers
C. If the Chief Minister recommends the dismissal of the Minister
D. If the Governor is not satisfied with the performance of the Minister
Solutions
The Governor can dismiss a Minister in a state government only if the Chief Minister recommends the dismissal of the Minister. So the answer is (c).
The other options are not correct because:
The Governor cannot dismiss a Minister if the Minister is found guilty of any criminal offense. The Minister can only be dismissed by a court of law.
The Governor cannot dismiss a Minister if the Minister loses the support of the majority of the Council of Ministers. The Minister can only be dismissed if the Council of Ministers collectively resigns.
The Governor cannot dismiss a Minister if the Governor is not satisfied with the performance of the Minister. The Governor can only dismiss a Minister if the Chief Minister recommends the dismissal.
18. A, B, and C started a business by investing ₹40,000, ₹50,000, and ₹60,000, respectively. After 6 months, A withdrew ₹10,000, and B added ₹20,000 to his investment. At the end of the year, the total profit earned was ₹1,20,000. What will be B’s share of the profit?
A. ₹40,000
B. ₹46,451
C. ₹45,000
D. ₹48,000
Solutions
Given:
Initial investments:
A = ₹40,000
B = ₹50,000
C = ₹60,000
After 6 months:
A withdraws ₹10,000, so A’s investment becomes ₹30,000.
B adds ₹20,000, so B’s investment becomes ₹70,000.
Total profit at the end of the year = ₹1,20,000
Concept Used:
The profit share of each partner is proportional to the product of their capital investment and the time for which the capital was invested.

19. What is the maximum number of electrons that the outermost shell can have?
A. 2
B. 6
C. 8
D. None of these
Solutions
That is the maximum number of electrons you can have in the Valence,i.e outermost shell
20. The given Venn diagram shows the students in the school.
The triangle represents the male students, the circle represents the female students, the rectangle represents the arts section, square represents the commerce. The number in the diagrams represents the number of students in that category.

How many female students studied in the arts section?
A. 10
B. 5
C. 4
D. 11
Solutions
Several female students studied in the arts section is 10.
Hence option a is correct.
21. Find out the missing numbers :

A. 164
B. 8
C. 216
D. 512
Solutions

22. A sum of money doubles itself in 4 years at simple interest. In how much time will it become 7 times at the same rate of interest?
A. 25 years
B. 23 years
C. 24 years
D. 21 years
Solutions

23. To keep drinks at the same temperature for quite some time, the walls of thermos bottle are coated with:
A. Aluminium paint
B. Lead Powder
C. Silver layer
D. Mercury Layer
Solutions
The walls of a thermos bottle, also known as a vacuum flask, are typically coated with a reflective silver layer. This reflective coating minimizes the amount of heat energy that can be transferred by thermal radiation.
Aluminium paint is a type of paint that is made with aluminium powder. It is often used to protect metal surfaces from corrosion.
Lead powder is a type of powder that is made with lead. It is often used to make lead-acid batteries.
Mercury is a liquid metal that is often used in thermometers. Mercury is a good conductor of heat, but it is not a good reflector of heat radiation.
24. Which of the following has NOT been a positive impact of the Green Revolution in India?
A. Non-food grains excluded
B. Reduced import of food grains
C. Benefits to farmers
D. Industrial growth
Solutions
The correct answer is (a) Non-food grains excluded.

25. Select the option that represents the correct order of the given words as they would appear in an English dictionary.
1. Logwood
2. Logarithm
3. Logically
4. Logophile
5. Logistic
6. Logotype
A. 2, 3, 5, 1, 4, 6
B. 2, 5, 3, 4, 6, 1
C. 2, 3, 5, 4, 6, 1
D. 2, 5, 3, 6, 1, 4
Solutions
Let’s arrange them alphabetically:
Logarithm – starts with “Loga”
Logically – starts with “Logi”
Logistic – starts with “Logis”
Logophile – starts with “Logop”
Logotype – starts with “Logot”
Logwood – starts with “Logw”
Thus, the correct order is:
2. Logarithm
3. Logically
5. Logistic
4. Logophile
6. Logotype
1. Logwood
Therefore, the correct option is (c) 2, 3, 5, 4, 6, 1.
26. The sour taste of ‘Coca Cola’ is due to the presence of
A. Acetic acid
B. Phosphoric acid
C. Hydrochloric acid
D. Formic acid
Solutions
The correct answer is (b) Phosphoric acid.
The sour taste of Coca Cola is primarily due to the presence of phosphoric acid. Phosphoric acid is added to soft drinks to enhance their flavor and provide the tartness associated with such beverages. It also helps to preserve the drink and prevents the growth of mold and bacteria.

27. In moss, stomata are found on
A. Leaves
B. Stem
C. Capsule
D. Spore
Solutions
The correct answer is (c) Capsule.
In mosses, stomata are primarily found on the capsule (sporophyte). These stomata play a crucial role in gas exchange and water regulation during the reproductive phase of mosses. The capsule is the spore-producing structure in the life cycle of mosses, and the presence of stomata helps in maintaining the internal water balance by allowing controlled evaporation.

28. Which of the following is the most effective way to reduce soil erosion?
A. Deforestation
B. Terrace farming
C. Overgrazing
D. Monoculture farming
Solutions
The correct answer is (b) Terrace farming.
· Terrace farming is an agricultural practice that involves creating stepped levels on hilly or sloped terrain. These terraces reduce water runoff and soil erosion, making the land more suitable for cultivation.
· It is especially effective in mountainous regions where the risk of soil erosion is high due to steep slopes.
· By slowing down the flow of water, terrace farming helps in retaining soil and nutrients, thus preventing soil degradation and promoting sustainable agriculture.
Information Booster: Contour Plowing:
· Another method to reduce soil erosion, contour plowing involves plowing along the contours of the land, which helps in trapping water and reducing runoff.
Afforestation:
· Planting trees and vegetation can significantly reduce soil erosion by stabilizing the soil with roots and reducing the impact of rainfall.
Mulching:
· Mulching involves covering the soil with organic materials like straw or leaves to protect it from erosion and retain moisture.
29. Which substance present in bee stings causes severe pain and burning sensation?
A. Methanol
B. Ethanoic acid
C. Methanoic acid
D. Hydrochloric acid
Solutions
The correct answer is (c) Methanoic acid.
The substance present in bee stings that causes severe pain and a burning sensation is methanoic acid, commonly known as formic acid. Formic acid is injected into the skin when a bee stings, causing irritation, pain, and swelling. This acid is naturally found in many insects, including ants, and is responsible for the sharp pain associated with stings.

30. Which swimmer set a new world record in the men’s 100m freestyle at the 2024 Paris Olympics?
A. Bobby Finke
B. Leon Marchand
C. Pan Zhanle
D. Michael Phelps
Solutions
The correct answer is (c) Pan Zhanle.
· Pan Zhanle, a swimmer from China, set a new world record in the men’s 100m freestyle at the 2024 Paris Olympics with a time of 46.40 seconds. This achievement made him the fastest swimmer ever in this event, breaking his own previous record.
Information Booster:
Pan Zhanle:
· Specializes in freestyle events, particularly the 100m and 200m distances.
· Known for his explosive speed and powerful finishes.
· Set the world record in the men’s 100m freestyle at the Paris 2024 Olympics.
31. Blood protein which initiates blood coagulation is
A. Prothrombin
B. Thrombin
C. Fibrinogen
D. Fibrin
Solutions
The correct answer is (a) Prothrombin.
Prothrombin is a blood plasma protein produced in the liver and plays a critical role in blood clotting. During the process of coagulation, prothrombin is converted into thrombin by the enzyme prothrombinase in the presence of calcium ions and clotting factors. Thrombin then facilitates the conversion of fibrinogen (another protein present in plasma) into fibrin, which forms the mesh that solidifies the clot and stops bleeding.
Information Booster:

32. If B denotes ‘÷’, C denotes ‘ב, D denotes ‘-’, and E denotes ‘+’, then what will come in place of ‘?’ in the following equation?
420 B 14 C 4 D 12 E 2 B 10 = ?
A. 108.1
B. 180.2
C. 108.2
D. 180.1
Solutions

33. Fisher’s quantity theory is explained by his famous equation given as ________.
A. MP = VT
B. MV = PT
C. MT = PV
D. PV = MV
Solutions
The correct answer is (b) MV = PT
· The correct equation for Fisher’s quantity theory of money is: MV = PT
· The equation states that the value of money (MV) multiplied by the velocity (V) equals the price level (P) multiplied by the volume of transactions (T). This means that the total amount of money spent in an economy (MV) determines the average price level (P) of goods and services sold (T)
· Although MV = PT is the most common form of Fisher’s equation, other versions exist. One of them is: P = MV/T
· This equation expresses the price level (P) as a direct function of the money supply (M), its velocity (V), and the volume of transactions (T)
· Fisher’s quantity theory of money has been a crucial concept in monetary economics for decades. It helps understand how changes in the money supply affect inflation and economic activity
34. As an object falls freely its ___________________.
A. Kinetic energy gets converted into potential energy
B. Potential energy gets converted into kinetic energy
C. Momentum gets converted into gravitational force
D. Gravitational force gets converted into momentum
Solutions


35. A thief is noticed by a policeman from a distance of 500m. The thief starts running and the policeman chases him. The thief and the policeman run at the rate of 17km/h and 20 km/h, respectively. What is the distance between them after 8 minutes?
A. 100m
B. 180m
C. 200m
D. 150m
Solutions

36. Trypsin is present in which of the following?
A. Bile juice
B. Gastric juice
C. Saliva
D. Pancreatic juice
Solutions
Trypsin is a digestive enzyme that plays a crucial role in the breakdown of proteins in the digestive system. It is produced and released by the pancreas, an organ located near the small intestine. The pancreas secretes pancreatic juice, which contains several digestive enzymes, including trypsin.
When food enters the small intestine, the pancreas releases pancreatic juice into the duodenum, the first part of the small intestine. Trypsinogen, an inactive form of trypsin, is one of the components of pancreatic juice. It is released in its inactive form to prevent the pancreas from being digested by its own enzymes.
Once the pancreatic juice reaches the duodenum, an enzyme called enterokinase, which is produced by the small intestine, activates trypsinogen. Enterokinase cleaves trypsinogen to form active trypsin. Once activated, trypsin can further activate other pancreatic enzymes and work on breaking down proteins into smaller peptides.
37 In a 1200 m circular race A and B start at the same time from the same position in the same direction at speeds of 18 km/h and 27 km/h respectively. In how much time after the start of race will they meet for the first time on the track?
A. 300 seconds
B. 480 seconds
C. 520 seconds
D. 240 seconds
Solutions
Given:
Speed of A = 18 km/h
Speed of B = 27 km/h
Length of the track = 1200 m
Formula Used:
Time to meet for the first time = Length of track / Relative speed
1 km/hr = 5/18m/sec
Solution:
Relative speed = 27 km/h – 18 km/h = 9 km/h = 2.5 m/s
Time to meet for the first time = 1200 m / 2.5 m/s = 480 seconds
The time after which they will meet for the first time on the track is 480 seconds.
38.

A. 1
B. x+y+z
C. 2
D. 1/2
Solutions

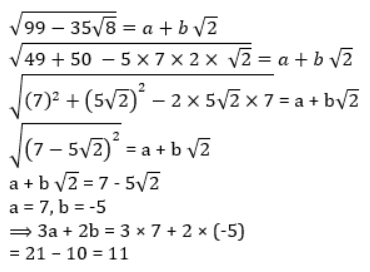
39. If √(99-35√8) =a+b√2 , then what is the value of (3a+2b) ?
A. 11
B. 15
C. 16
D. 18
Solutions

40. Who built the Vijay Stambha (Tower of Victory) in Chittorgarh?
A. Maharana Pratap
B. Rana Kumbha
C. Rana Sanga
D. Kunwar Durjan Singh
Solutions
The Vijay Stambha, also known as the Tower of Victory, is a 9-story victory monument located within Chittor Fort in Chittorgarh, Rajasthan, India. The tower was constructed by the Mewar king, Rana Kumbha, in 1448 to commemorate his victory over the combined armies of Malwa and Gujarat led by Mahmud Khilji. The tower is dedicated to Hindu God Vishnu.
The Vijaya Stambha is an imposing structure, standing at a height of 37 meters (121 feet). The tower is made of red sandstone and is decorated with intricate carvings. The nine stories of the tower are each dedicated to a different Hindu deity. The topmost story features an image of the Jain Goddess, Padmavati.
41. Six friends P, Q, R, S, T and U are arranged in a row facing north direction. Q and R are in the center of the row. P and U are at the end of row. S sits to the right of P. R is immediate right of Q and immediate left of S. Who Sits exactly between P and Q?
A. R
B. S
C. T
D. U
Solutions
Given:
1. Q and R are in the center of the row.
2. P and U are at the ends of the row.
3. S sits to the right of P.
4. R is to the immediate right of Q and immediate left of S.
The arrangement is = P TQRSU
T sits exactly between P and Q?
Correct answer is (C) T.
42. The salaries of A, B and C are in the ratio 1 : 3 : 4. If the salaries are increased by 10%, 15% and 20% respectively. Then the increased salaries will be in the ratio.
A. 21 : 66 : 92
B. 21 : 65 : 92
C. 22 : 68 : 95
D. 22 : 69 : 96
Solutions
Given:
Salaries of A, B, and C are in the ratio 1 : 3 : 4.
Formula Used:
Increased salaries ratio = (1 + 10%):(3 + 15%):(4 + 20%)
Solution:
Let the salaries of A, B, and C be x, 3x, and 4x respectively.
Increased salary of A = x × 1.1 = 1.1x
Increased salary of B = 3x × 1.15 = 3.45x
Increased salary of C = 4x × 1.2 = 4.8x
Ratio of increased salaries = 1.1 : 3.45 : 4.8 = 110: 345: 480
Final Ratio= 22: 69: 96

43. Before a battle, the ratio of tank to planes in an army was 5:3. During the war 1000 tanks were destroyed and 800 planes were destroyed. The ratio of tanks to the planes became 2:1. What is the number of tanks after the war?
A. 2000
B. 1000
C. 3000
D. 4000
Solutions

44. Sunita is daughter of Karan, Kanika is the mother of Karan. Mita is the wife of Karan Pooman and Shruti are daughters of Karan. How is Shruti related to Kanika?
A. Mother
B. Grand father
C. Grand daughter
D. Grand mother
Solutions

45. Which one of the following organic acids is abundant in grapes, tamarind, and banana?
A. Acetic acid
B. Citric acid
C. Lactic acid
D. Tartaric acid
Solutions
The correct answer is (d) tartaric acid.
Tartaric acid is a white, crystalline organic acid that is found in many fruits, including grapes, tamarind, and bananas. It is also found in wine, yogurt, and other fermented foods. Tartaric acid is a weak acid, and it has a sour taste. It is used as a flavoring agent in food and beverages, and it is also used as a preservative.
Acetic acid, citric acid, and lactic acid are also organic acids, but they are not as abundant in grapes, tamarind, and banana as tartaric acid.
Acetic acid is the main component of vinegar, and it is also found in some fruits and vegetables. Citric acid is found in citrus fruits, and it is also used as a flavoring agent in food and beverages. Lactic acid is produced by bacteria during fermentation, and it is found in yogurt, sauerkraut, and other fermented foods.
46. Which of the following materials would generally transmit sound the best?
A. Vacuum
B. Water
C. Wood
D. Rubber
Solutions
The correct answer is (c) Wood.


47. A dynamo which is said to generate electricity actually acts as a
A.Source of ions
B. Source of electric charge
C. Converter of energy
D. Source of electrons
Solutions
The correct answer is (c).
A dynamo is a machine that converts mechanical energy into electrical energy. It does this by using a magnetic field to generate an electric current.
A dynamo also known as an electrical generator produces direct current through a commutator. It is basically a device that converts mechanical rotation into electric current according to Faraday’s law.
48. A solid cube, whose each edge is of length 48 cm, is melted. Identical solid cubes, each of volume 64 cubic cm, are made out of this molten cube, without any wastage. How many such small cubes are obtained?
A. 1728
B. 1718
C. 1748
D. 1738
Solutions
Given:
Side of the cube = 48 cm
Volume of the smaller cubes = 64 cm3
Concept and Formula Used:
Volume of the cube = (side)3
Volume of big cube = n × volume of small cubes
Solution:
ATQ,
48×48×48 = n×64
n = 1728
Therefore, 1728 smaller cubes are formed from the bigger cube.
49. Which of the following interchanges of signs would make the given equation correct?
3 ÷ 6 + 2 × 5 – 4 = 2
A. ÷ and +
B. × and –
C. – and ÷
D. + and ×
Solutions
Given: 3 ÷ 6 + 2 × 5 – 4 = 2
From the option (d) + and × interchanged we get following equation-
3 ÷ 6 × 2 + 5 – 4 = 2
Explanation:
Following the BODMAS rule (Bracket, Orders (i.e. powers and square roots, etc.), Division and Multiplication, Addition and Subtraction):
1. Division (÷): 1/2 × 2 + 5 – 4 = 2
2. Multiplication (×): 1 + 5 – 4 = 2
3. Addition (+): 6 – 4 =2
4. Subtraction (-): 2 = 2
Final Answer: (d) + and ×
50. In 1928, who discovered that when a ray of coloured light enters a liquid, a fraction of the light scattered by that liquid is of a different colour?
A. Lord Rayleigh
B. CV Raman
C. SN Bose
D. John Tyndall
Solutions
The correct answer is (b) CV Raman.


51. Select the set in which the number are related in the same way as are the number of the following set.
(14, 26, 40)
A. (13, 25, 40)
B. (11, 23, 10)
C. (17, 31, 37)
D. (21, 33, 48)
Solutions

52. A person walks 10 meters towards the east, takes a right turn and walks 15 meters, takes another right turn and walks 20 meters, and then takes a left turn and walks 5 meters. In which direction is the person from his starting point and how far away is he?
A. 10√5 m
B. 20√5 m
C. 10√3 m
D. 20√3 m
Solutions

53. A sum of money placed at compound interest (compounding annually) doubles itself in 10 years. Find the time in which it will amount to 4 times itself.
A. 20 years
B. 14 years
C. 10 years
D. 15 years
Solutions

54. What is the power rating (in W) of a bulb if a current of 0.1A passes through on application of 250V of potential difference across its terminals?
A. 2500
B. 50
C. 25
D. 1250
Solutions



55. Who discovered the X-rays?
A. Ross Ronald
B. H. C. Urey
C. W. K. Roentgen
D. G. Maroni
Solutions
The correct answer is (c) W. K. Roentgen.

56. Which of the following devices converts sound waves into electrical signals?
A. Microphone
B. Speaker
C. Oscilloscope
D. Amplifier
Solutions
The correct answer is (a) Microphone.
A microphone is a device that converts sound waves into electrical signals. When sound waves hit the diaphragm of the microphone, it moves due to the pressure variations, and this mechanical movement is converted into an electrical signal through various mechanisms (dynamic, condenser, etc.). This signal can then be amplified, recorded, or transmitted. Microphones are widely used in communication devices, recording studios, and public address systems.
Information Booster:

57.

A. 36
B. 24
C. 42
D. 48
Solutions

58. The given pie-chart shows the marks scored by a student in different skills in an examination: mathematical ability, verbal ability, reasoning, coding and puzzle solving. The values are given in degrees.
Answer the following question. If total marks were 3000 , then what would be the marks in reasoning ?

A. 375
B. 833
C. 625
D. 541
Solutions

59. When did Shikhar Dhawan announce his retirement from both domestic and international cricket?
A. 24th August 2024
B. 22nd August 2024
C. 20th August 2024
D. 26th August 2024
Solutions
The correct answer is (a) 24th August 2024.
Shikhar Dhawan announced his retirement from both domestic and international cricket on 24th August 2024. This announcement marked the end of an illustrious career for one of India’s most reliable openers, spanning multiple formats and featuring significant contributions across numerous pivotal matches.
Information Booster:
Career Highlights:
· Shikhar Dhawan played 34 Tests, 167 ODIs, and 68 T20Is for India, amassing a total of 10,867 runs which included multiple centuries and half-centuries.
· Known for his dominant performances in ICC tournaments, Dhawan has been a key figure in India’s cricketing success over the last decade.
60. Select the option that is related to the third letter-cluster in the same way as the second letter-cluster is related to the first letter-cluster.
BCDE: DFIL :: MNOP:?
A. QUEX
B. RUFW
C. OQTW
D. SWGX
Solutions

61. Eskimos” are associated with which geographical region?
A. Tropical Rainforest Region
B. Polar Region
C. Savanna Grassland
D. Arid Region
Solutions
The correct answer is (b). Eskimos are associated with the Polar Region
They are indigenous peoples of the Arctic and subarctic regions of Greenland, Alaska, Canada, and Russia. The Polar Region is characterized by its cold climate, long winters, and short summers. Eskimos have adapted to this environment by developing a unique culture and way of life. They are skilled hunters and fishers, and they use their knowledge of the land and sea to survive in this harsh environment.
Here is a table summarizing the different geographical regions and their associated peoples:

62. If KASHMICR is written as 81427563, how IAHKSMCR can be written in that code?
A. 51824723
B. 51287463
C. 51284763
D. 51284723
Solutions
The logic of the question is based on assigning a specific digit to each letter in the word “KASHMICR.” Each letter is consistently mapped to a unique number. Here’s the mapping provided:

Thus, the correct answer is (c) 51284763.
63. Where is the headquarters of UNDP?
A. Geneva
B. New York
C. Washington
D. Nairobi
Solutions
The United Nations Development Program is a United Nations organization that works to help countries eliminate poverty and achieve sustainable economic growth and human development.
The United Nations Development Program was formed on 22 November 1965.
Its headquarters is in New York City.
The United Nations Development Programme, Human Development Report Office also publishes the annual Human Development Report since 1990 to analyze development progress.
64. Which organ in the human body produces insulin?
A. Liver
B. Pancreas
C. Spleen
D. Gall bladder
Solutions
The correct answer is (b) Pancreas.
The pancreas is the organ in the human body that produces insulin, a hormone that regulates blood sugar (glucose) levels. Insulin is secreted by the beta cells located in the islets of Langerhans within the pancreas. It helps cells absorb glucose from the blood and use it for energy, thereby lowering blood sugar levels. Insufficient production or improper use of insulin can lead to diabetes.
Information Booster:

65. What is the potential energy of a 10 kg object placed on a shelf 5 m above the ground?

A. 50 J
B. 100 J
C. 500 J
D. 1000 J
Solutions

66. Study the following information carefully and answer the question given below:
Seven boxes were kept one above the other from top to bottom. Only two boxes are kept between B and U. V is kept just above S. Only three boxes are kept between S and T. More than three boxes are kept below T. U is kept above T. L is kept above B and below A. Which of the following box is kept at the top most position?
A. B
B. L
C. S
D. A
Solutions
From the given statements, More than three boxes are kept below T. Only three boxes are kept between S and T. V is kept just above S. So we have three possible cases i.e. case-1, case-2 and case-3:

Only two boxes are kept between B and U. U is kept above T. So case-3 is eliminated. L is kept above B and below A. So case-2 is eliminated. Hence the final arrangement is:

Option d is true.
67. A dealer marks his goods at 20% above the cost price and allows a discount of 15% on the marked price. What is his gain or loss percentage?
A. 4% gain
B. 2% loss
C. 2% gain
D. 4% loss
Solutions
MP = 120% × CP
MP / CP = 120 / 100 = 6 / 5
ATQ,
CP / MP = (100 – D%) / (100 + P%)
5 / 6 = (100 – 15) / (100 + P%)
5 / 6 = 85 / (100 + P%)
(100 + P%) = (85 × 6) / 5
P% = 102 – 100 = 2%
68. If ‘A’ stands for ‘÷’, ‘B’ stands for ‘×’, ‘C’ stands for ‘+’ and ‘D’ stands for ‘−’, what will come in place of the question mark (?) in the following equation?
11 B 10 D 18 A 3 C 8 = ?
A. 142
B. 132
C. 122
D. 112
Solutions
Given the operations:
A stands for ‘ ÷ ‘
B stands for ‘x’
C stands for ‘+’
D stands for ‘-‘
Translating the equation:
11×10-18÷3+8=?
Solving the equation step-by-step:
11×10=110
18÷3=6
110-6=104
104+8=112
Therefore, the correct answer is (d) 112
69. Below are given statements followed by some conclusions. You have to take the given statements to be true even if they seem to be at variance with commonly known facts and then decide which of the given conclusions logically follow (s) from the given statements.
Statements-
All mobiles are black
Some black are white
Conclusion-
I Some white are mobiles.
II No Black are mobiles
A. Only Conclusion I Follows
B. Only Conclusion II Follows
C. Either Conclusion I or II Follows
D. Neither Conclusion I nor II Follows
Solutions
From the statement following diagram can be drawn-

I Some white are mobiles. (Fales, as per the diagram.)
II No Black are mobiles (Fales, as per the diagram.)
Thus, the correct answer is (d) neither Conclusion I nor II Follows.
70. To convert temperature from Celsius to Kelvin scale, you must:
A. multiply the given temperature by 273
B. add 273 to the given temperature
C. divide the given temperature by 273
D. subtract 273 from the given temperature
Solutions

71. The HCF of two numbers is one-twentieth of their LCM. If one of the numbers is 96 and the difference of the LCM and the HCF is 456 then what is the other number?
A. 48
B. 120
C. 144
D. 72
Solutions

72. In the following question below are given some statements followed by some conclusions based on those statements. Taking the given statements to be true even if they seem to be at variance from commonly known facts. Read all the conclusions and then decide which of the given conclusion logically follows the given statements.
Statements:
I. Some L are G.
II. All M are L.
Conclusion:
I. All L are M.
II. Some G are not M.
III. No M is G.
A. Neither conclusion follows
B. Both conclusions I and II follows
C. Both conclusions II and III follows
D. Both conclusions I and III follows
Solutions

Conclusion:
I. All L are M. (False, as per the direction.)
II. Some G are not M.(False, as per the direction.)
III. No M is G. (False, as per the direction.)
Correct answer is (A) Neither conclusion follows.
73. The growth pattern in the secondary cell wall is
A. Intussusception
B. Accretion
C. Aposition
D. None of these
Solutions
The correct answer is (b) Accretion.
The growth pattern in the secondary cell wall occurs through accretion, which refers to the addition of new layers or materials onto the existing surface. In plants, the secondary cell wall is formed after the primary cell wall and is often more rigid and structured. It provides additional support and protection to the cell, especially in plant tissues like xylem and sclerenchyma.

74. Navjot starts moving towards the west. After covering some distance, he turns left and then takes a right. Which direction is he facing now?
A. South
B. North
C. West
D. East
Solutions

He is facing towards the west.
75. In what ratio should rice worth Rs. 140 per kg and Rs. 90 per kg be mixed so that a mixture of two qualities of rice may become worth Rs. 110 per kg?
A. 2 : 3
B. 1 : 3
C. 3 : 2
D. 1 : 2
Solutions
Given: Rs. 140 per kg and Rs. 90 per kg be mixed so that a mixture of two qualities of rice may become worth Rs. 110 per kg.
Formula Used: Use the rule of alligation.
Solution: Let the ratio be x : y.

76. Which subatomic particle was discovered due to the discrepancy in the expected atomic masses?
A. Proton
B. Electron
C. Neutron
D. Positron
Solutions
Explanation:
The discovery of the neutron was prompted by discrepancies in the expected atomic masses of elements. The mass of an atom was found to be greater than the combined mass of its protons and electrons, leading scientists to hypothesize the presence of a neutral particle in the nucleus. In 1932, James Chadwick confirmed the existence of the neutron, a subatomic particle with no charge but a mass nearly equal to that of a proton.
Key Facts:
● Neutron’s role: Neutrons contribute significantly to the mass of an atom but do not affect its charge.
● Atomic mass calculation: Atomic mass is the sum of protons and neutrons in the nucleus, as electrons have negligible mass.
● Importance of neutrons: Neutrons stabilize the nucleus by reducing the repulsion between positively charged protons.
● Applications of neutrons: Critical in nuclear reactions, such as fission and fusion, and in medical imaging techniques like neutron scattering.
● Discovery milestone: Chadwick’s discovery resolved the mass discrepancy mystery, completing the understanding of the atomic structure.

77. Study the given pie-chart carefully and answer the following question.
What is the difference between the funds (in Rs.) acquired by the school from donation and those from government agencies?

A. 2,30,000
B. 2,50,000
C. 2,80,000
D. 2,40,000
Solutions

78. A dishonest merchant sells goods at a 15% loss on the cost price, but uses 40 g weight instead of 50 g. What is his percentage profit or loss?
A. 5%
B. 6.25%
C. 20%
D. 9.75%
Solutions

79. ‘Home Rule League’ of Annie Besant was centred at which of the following places in India?
A. Bombay
B. Madras
C. Banaras
D. Calcutta
Solutions
The correct answer is (b) Madras.
· Annie Besant founded the Home Rule League in 1916, and it was centred in Madras (now Chennai).
· The league aimed at achieving self-governance for India within the British Empire, similar to the dominions of Canada and Australia.
· The movement worked through public meetings, speeches, and literature to educate and mobilize the Indian populace for the cause of home rule.
Information Booster:
Bombay:
· While Bombay (now Mumbai) was an important center for political activities, the Home Rule League led by Bal Gangadhar Tilak was based there, not Annie Besant’s.
Banaras:
· Banaras (now Varanasi) was a significant cultural and educational center, but it was not the central hub for Annie Besant’s Home Rule League.
Calcutta:
· Calcutta (now Kolkata) was the capital of British India until 1911 and an important political center. However, it was not the base for Annie Besant’s Home Rule League.
80. CT Scan is done by using-
A. Infra-red Rays
B. Ultrasonic Waves
C. Visible Light
D. X-Rays
Solutions
The correct answer is (d) X-Rays.
CT (Computed Tomography) scans use X-rays to create detailed images of the inside of the body. X-rays pass through the body and are absorbed by different tissues in varying amounts, depending on the tissue density. A computer then compiles these X-ray images taken from different angles to produce cross-sectional images (or slices) of bones, blood vessels, and soft tissues.

81. Identify the group of the periodic table to which iron belongs.
A. Group 8
B. Group 6
C. Group 5
D. Group 7
Solutions
The correct answer is (a) Group 8.
Iron (Fe) belongs to Group 8 of the periodic table. It is a transition metal, situated in period 4 of the periodic table. Iron is a key element used extensively in various industries due to its magnetic properties and role in forming alloys like steel. The position of iron in Group 8 makes it part of the transition metals, which are known for their ability to form multiple oxidation states and complex ions.


82. Heat is transmitted from higher temperature to lower temperature through the actual motion of the molecules in –
A. Conduction
B. Convection
C. Radiation
D. Both conduction and convection
Solutions
The correct answer is (b) Convection.


83. Brass gets discoloured in the air because of the presence of which of the following gases in the air?
A. Oxygen
B. Hydrogen Sulphide
C. Carbon dioxide
D. Nitrogen
Solutions
Brass gets discolored in the air because of the presence of hydrogen sulfide. Hydrogen sulfide is a colorless, flammable gas that has a strong odor of rotten eggs. It is produced by the decay of organic matter, such as sewage and manure. Hydrogen sulfide can also be found in natural gas and volcanic gases.
When brass is exposed to hydrogen sulfide, the copper and zinc in the brass react with the hydrogen sulfide to form copper sulfide and zinc sulfide. These sulfides are black, so they cause the brass to turn black.
Brass: Brass is an alloy of copper and zinc. It is a yellow, dull gold metal that is often used in jewelry, musical instruments, and other decorative items. Brass is also used in some industrial applications, such as plumbing fixtures and electrical connectors.
84. Aditya buys 300 mangoes for Rs.1,100. Some of these mangoes are rotten and are thrown away. He sells the remaining mangoes at Rs.5 each and makes a profit of Rs.150. Find the percentage of mangoes thrown away.
A. 16½%
B. 15⅔%
C. 16⅔%
D. 16⅓%
Solutions

85. Select the correct set that represents the following Venn diagram.

A. Flesh-eating animals, tigers, cows
B. Flesh-eating animals, tigers, lions
C. Grass-eating animals, goat, buffalo
D. Grass-eating animals, cows, deer
Solutions
All tigers are flesh-eating animals and all cows are grass-eating animals. Also, no flesh-eating animals are grass-eating animals. Therefore, in the diagram B represents tiger, A represents flesh-eating animals and C represents cows.
86. Which one of the following body parts/organs of the human body does not have smooth muscles?
A. Ureters
B. Iris of eye
C. Bronchi of lungs
D. Biceps
Solutions
The answer is (d), biceps. Biceps are skeletal muscles, which means that they are striated and under voluntary control.
Smooth muscle is present in the walls of hollow organs like the urinary bladder, uterus, stomach, intestines, and in the walls of passageways, such as the arteries and veins of the circulatory system, and the tracts of the respiratory, urinary, and reproductive system.
Smooth muscle is also present in the eyes, where it functions to change the size of the iris and alter the shape of the lens; and in the skin where it causes hair to stand erect in response to cold temperature or fear.
87. Select the option that is related to the third term in the same way as the second term is related to the first term.
School : teacher :: Hospital : ?
A. Mortuary
B. Clean swiper
C. Relatives
D. doctors
Solutions
Teachers are found in schools, and Doctors are found in Hospital.
88. Pipe A and B can fill a tank in 12 hrs and 36 hrs respectively whereas pipe C can empty the fill tank in 72 hrs. All three pipes are opened together, but pipe A is closed after 6 hours. After how many hours, the remaining part of the tank will be filled?
A. 28
B. 30
C. 26
D. 22
Solutions

89. Which organization developed the National Medical Register (NMR) Portal launched by the Ministry of Health & Family Welfare?
A. Indian Council of Medical Research (ICMR)
B. National Health Authority (NHA)
C. National Informatics Centre (NIC)
D. Central Bureau of Health Intelligence (CBHI)
Solutions
The correct answer is (b) National Health Authority (NHA).
The National Health Authority (NHA) played a crucial role in developing the National Medical Register (NMR) Portal, which was launched by the Ministry of Health & Family Welfare. This portal is a significant initiative under the National Medical Commission (NMC) to create a comprehensive and dynamic database for all allopathic (MBBS) registered doctors in India. The development and implementation of the NMR are key components of India’s broader digital health strategy, aiming to enhance transparency, efficiency, and quality in healthcare services by ensuring an authentic database of medical professionals.
Information Booster:
· National Health Authority (NHA):
· Primarily responsible for the implementation of India’s flagship public health insurance/assurance scheme, Ayushman Bharat Pradhan Mantri Jan Arogya Yojana.
· Plays a pivotal role in the development of digital health infrastructure in India, such as the Ayushman Bharat Digital Mission (ABDM).
· Role of NHA in NMR:
· NHA’s involvement ensures that the NMR is seamlessly integrated into the broader digital healthcare ecosystem.
· Supports the operational and technological framework of the NMR, facilitating its linkage with Aadhaar for authentication purposes.
Additional Information:
· Functionality and Impact of NMR:
· The NMR is designed to ensure that the medical credentials of doctors are updated and accessible, improving the trust and reliability of healthcare services across the country.
· Linked with Aadhaar, the NMR enhances the authenticity and verification process of medical practitioners’ credentials.
· Broader Implications:
· The development of such digital platforms by NHA represents a move towards more integrated and technologically advanced healthcare systems in India, aligning with the government’s vision to make India digitally sound.
90. Two circles touch each other externally at P. AB is a direct common tangent to the two circles. If A and B are points of contact and ∠PAB = 65°, then ∠ABP is
A. 35°
B. 15°
C. 5°
D. 25°
Solutions

91. What is the name of the second Arihant-Class SSBN commissioned into the Indian Navy on 29th August 2024?
A. INS Arihant
B. INS Arighaat
C. INS Vikrant
D. INS Chakra
Solutions
The correct answer is (b) INS Arighaat.
· INS Arighaat is the second Arihant-Class submarine, which was commissioned into the Indian Navy on 29th August 2024. This class of submarines are nuclear-powered ballistic missile submarines (SSBNs), a crucial part of India’s nuclear triad, providing it with a sea-based nuclear deterrence capability.
· Arihant-Class submarines are capable of carrying ballistic missiles with nuclear warheads and represent a significant step in completing India’s nuclear triad, which also includes land-based and air-based nuclear capabilities.
· INS Arighaat, like its predecessor INS Arihant, is designed to enhance India’s second-strike capabilities and is equipped with advanced stealth features to avoid detection.
Information Booster:
· INS Arihant: It was the first SSBN submarine commissioned into the Indian Navy and marked the operationalization of India’s nuclear triad.
· INS Arighaat: Adds significant strategic depth to India’s naval capabilities with enhanced missile carrying capacity and improved stealth features.
· INS Vikrant: It is an aircraft carrier that plays a different role in naval warfare.
· INS Chakra: This is a nuclear-powered attack submarine (SSN), not an SSBN, primarily intended for hunter-killer missions against enemy submarines and surface ships.
92. What is the significance of the atomic number in determining the position of an element in the periodic table?
A. It determines the number of valence electrons in the element
B. It determines the number of protons in the nucleus of the element
C. It determines the number of neutrons in the nucleus of the element
D. It determines the number of electrons in the outermost shell of the element
Solutions
The atomic number of an element is equal to the number of protons in the nucleus of the atom, which is the basis for the organization of elements in the periodic table.
The atomic number of an element represents the number of protons present in its nucleus, which also determines the number of electrons in a neutral atom. The position of an element in the periodic table is based on its atomic number.
93. B would have taken 10 hours more than what A would have taken to complete a task if each of them worked alone. Working together they can complete the task in 12 hours. How many hours would B take to do 50% of that task?
A. 30
B. 15
C. 20
D. 10
Solutions
Given:
Time taken by A and B to complete the work = 12 hours
Working alone B takes 10 hours more than A
Concept and Formula Used:
Time and Work Concept:
If a man completed a work in x days then,
94. Select the correct alternative to indicate the arrangement of the following words in a logical and meaningful order.
1. Classes
2. Entrance Exam
3. Result
4. Admission
5. Graduation
6. Job
A. 6, 2, 5, 4, 3, 1
B. 5, 2, 6, 4, 3, 1
C. 2, 3, 4, 1, 5, 6
D. 2, 3, 4, 1, 6, 5
Solutions
Entrance exam → Result → Admission → class → Graduation → Job
95. Which of the following is not true about Pteridophyta?
A. Dominant phase is saprophytes
B. Main plant body is diploid
C. Seeds are present
D. Flowers are absent
Solutions
The correct answer is (c) Seeds are present.
Pteridophytes, such as ferns, are vascular plants that do not produce seeds. Their reproduction occurs through spores, and they are often referred to as “seedless vascular plants.” The dominant phase in their life cycle is the sporophyte (diploid), which is the main plant body. Flowers are absent in pteridophytes, as they do not produce seeds or fruits.
Information Booster:

96. Arrange the following words in a logical and meaningful order.
1. Population
2. Starvation
3. Death
4. Poverty
5. Unemployment
A. 1, 5, 4, 3, 2
B. 1, 5, 4, 2, 3
C. 4, 1, 5, 2, 3
D. 5, 4, 3, 2, 1
Solutions
Population → Unemployment → Poverty → Starvation → Death
97. The average monthly salary of workers in a factory is Rs. 6,000. The average monthly salary of 100 technicians is Rs. 12,000, and the average monthly salary of non-technicians is Rs. 4,000. Find the total number of workers in the factory
A. 400
B. 300
C. 250
D. 450
Solutions
Let the number of workers be
6000 × x = 12000 × 100 + 4000(x – 100)
6000x = 1200000 + 4000x – 400000
2000x = 800000
x = 400
98. The following figure shows the percentage growth in units of fans and coolers sold in some years. What is the difference between the averages of the growth rate in coolers and fans?

A. 34
B. 30
C. 32
D. 42
Solutions

99. The length of a rectangular plot is thrice its breadth. If the area of the rectangular plot is 2700 m² then what is the breadth of the rectangular plot?
A. 20m
B. 12m
C. 30m
D. 28m
Solutions
Given:
Area of the rectangular plot = 2700 m²
Let breadth = x
Then, length = 3x
Formula Used:
Area = Length × Breadth
Solution:
2700 = 3x × x
x² = 900
x = 30 m.
So, the breadth of the rectangular plot is 30 m.
100. Which of the following numbers will replace the question mark (?) in the given series?
1, 4, 27, 16, 125, ?
A. 216
B. 36
C. 343
D. 49
Solutions

