1.In a triangle PQR the internal bisector of ∠PQR= 76° and external bisector of other base angles meet at point O. Then find the ∠QOR=?
A. 38°
B. 19°
C. 42°
D. 57°
Solutions

∠PRY = ∠P + ∠Q
½ ∠PRY = ½ ∠P + ½ ∠Q
∠ORY = 38° + ∠OQR —– (1)
In Triangle QOR
∠ORY = ∠OQR + ∠QOR —- (2)
From (1) and (2)
38° + ∠OQR= ∠OQR + ∠QOR
∠QOR = 38°
2. A train travels a certain distance without stoppages at an average speed of 84 km/hr and with stoppages it covers the same distance at an average speed of 58 km/hr. How many minutes per hour does it stop?
A. 10 min
B. 20 min
C. 30 min
D. 25 min
Solutions
Stoppage time/hour = Change in speed/ Faster Speed
Due to stoppage it cover (84 – 56) = 28 km less per hour
So for travelling 28 km time taken = 28/84 hr
= 2/ 6 hr = 1/3 hr = 1/3 x 60 =20 min
3. A Railways employee’s pension on retirement from service is equal to half the average salary during last 36 months of his service. His salary from 1 January, 2013 is Rs. 4600 per month with increment of Rs. 200 on 1 November 2013, 1 November 2014 and 1 November, 2015. If he retires on 1 January, 2016, what pension does he draw approximately?
A. 4436
B. 2216
C. 2417
D. 3227
Solutions
Form 1 January 2013 to 1 November 2013= 10 x 4600 = 46000
From 1 November 2013 to 1 November 2014 = 12 x 4800=57600
From 1 November 2014 to 1 November 2015 = 12 x 5000=60000
From 1 November 2015 to 1 Jan 2016 = 2 x 5200 =10400
Average of 36 month = (46000+60000+57600+10400)/36 = 4833.33
So pension per month = 4833.33/2 = 2416. 66 = 2417
4. The circumference of the front wheel of a cart is 35 cm long and that of the back wheel is 40 cm long. What is the distance travelled by the cart, when the front wheel has done five more revolutions than the rear wheel?
A. 12.5 m
B. 25 m
C. 16 m
D. 14 m
Solutions
The circumference of the front wheel is 40 cm and that of the rear wheel is 30 cm.
Let the rear wheel make n revolutions. At this time, the front wheel should have made n+5 revolutions.
As both the wheels would have covered the same distance, n x 40 = (n+5) x 35
40n = 35n + 5 x 35
5n = 5 x 35
N = 35
Distance travelled = 35 x 40 =1400 cm =14 m
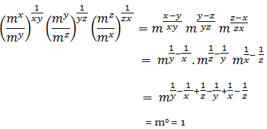
5. Assuming that m is a positive real number x, y, z is rational numbers. Find the value of following

A. 1
B. 0
C. 2
D. 4
Solutions

6. A shopkeeper calculated his intended selling price at 7.2% profit on the cost of a product. However while selling; the unit digit and tens’ digit of the selling price got interchanged by mistake. By the way the profit by Rs. 90 and profit percentage to 3.6%. What is the cost price of the product?
A. 5000 Rs
B. 2500 Rs
C. 8000 Rs
D. 4000 Rs
Solutions
Profit % reduced by = 7.2 – 3.6 = 3.6 %
3.6 % CP = 90
3.6/100 CP = 90
CP = 90000/36 = 2500
7. If the ages of Priti and Riya are added to twice the age of Isha, the total becomes 59. If the ages of Isha and Riya are added to thrice the age of Priti, the total becomes 68 and if the age of Priti is added to thrice the age of Isha and thrice the age of Riya, the total becomes 108. What is the age of Priti ?
A. 17 year
B. 19 year
C. 12 year
D. 15 year
Solutions
Priti + Riya + 2 Isha = 59 —-(1)
3 Priti +Riya+ Isha =68 ——(2)
Priti + 3 Riya + 3 Isha = 108 —–(3)
Multiply eq. (2) by 3 and subtract eq (3) from it
(×3) 3 Priti +Riya+ Isha = 68
9 Priti + 3 Riya + 3 Isha = 204
Priti + 3 Riya + 3 Isha = 108
8 Priti = 96
Priti = 12 years
8. If 30 women and 14 children can finish a work in 21 days, in how many days will 20 women and 4 children can finish it, supposing that 3 women can do as much as 5 children?
A. 30 days
B. 32 days
C. 36 days
D. 35 days
Solutions
3 women = 5 children
W= 5/3 C
50 c + 14 c = 21 days
64 children 1 day work = 1/21
1 children 1 day work = 1/ (21 x 64)
20 w + 4 c=100/3 c + 4c = 112 / 3 c
So 20 w + 4 c →1 day work = 112/ 3 x 1/ (21 x 64)
= 112/ (21 x 64 x 3) = 1/36
(20 w + 4 c) can finish the work in 36 days.
9. What will be the value of question mark?
√1369 + 48.3 × 289 ÷ 3.4 ÷ 23 ÷ 68 × 21 = ?3+ 28.125
A. 5
B. 3
C. 7
D. 4
Solutions
√1369 + 48.3 × 289 ÷ 3.4 ÷ 23 ÷ 68 × 21 =?3 + 28.125
37 + 483 × 289 ÷ 34 ÷ 23 ÷ 68 × 21 = ?3+ 28.125
37 + 441/ 8 =?3 + 28.125
37 + 55.125 – 28.125 =?3
?3 = 64
? = 4
10. 17 men entered in a seminar hall simultaneously. If each person shook hands with the other then find the total no. of handshakes.
A. 156
B. 136
C. 128
D. 120
Solutions
No of handshake = 17C2 =17 x 16/2 = 136
11. A sum of amount doubles itself in 3 year at R% compound interest. In 9 years it will be n times of the original principal. What is the value of n?
A. 8 times
B. 9 times
C. 6 times
D. 7 times
Solutions

12. In a mixture there are 20 liter of Milk is mixed with 60 litre water. X liter of total mixture is taken out and 8 liter Milk and 12 litre water are added in the mixture. The final mixture contains 30% Milk; find the quantity of the mixture that is taken out.
A. 32 ltr
B. 40 ltr
C. 24 ltr
D. 26 ltr
Solutions

13. Find the value of n in the following
(1014 + 25)2 – (1014 – 25)2 =10n
A. 16
B. 12
C. 10
D. 18
Solutions
(a + b)2 – (a – b)2 = 4ab
4 x 1014 x 25 = 10n
1014 x 100 = 10n
1016 = 10n
N = 16
14. Direction (14-15): In each of the following questions statements are given. You have to determine which statement/statements are necessary to answer the given question:
What is the area of the Room?
I. The labour cost of flooring the Room is Rs.2500
II. The material cost of flooring the hall per sq meter is Rs.250
III. The total cost of flooring the hall is Rs.18500
A. Only I and II are sufficient
B. Only II and III are sufficient
C. Any two of three are sufficient
D. All I, II and III together are sufficient
Solutions
Labour cost + Material cost = 18500
2500 + 350 x =18500
x = 16000/250 =64
15. Direction (14-15): In each of the following questions statements are given. You have to determine which statement/statements are necessary to answer the given question:
What is the population of the State A?
I. After 17% increase the population of State A will become 19.89 lakh.
II. The population of state A is 63 lakh after 10 years
III. The ratio of population of State A to that of State B is 2:7
A. Only I
B. Only II and III
C. Either only I or II and III
D. All I, II and III
Solutions
From I:
117% ——— 19.89
100% ———- ?
From II:
After 10 years population of the State A = 63 lakhs
From III:
State A : State B
2 : 7
We can conclude the answer from statement I only. Other statement are data insufficient.
16. Payal and Nidhi entered into a partnership investing Rs 8000 and Rs 6000 respectively. After 3 months Payal withdrew Rs 2000 while Nidhi invested Rs 2000 more. After 3 more months, Jyoti joins the business with a capital of Rs 11000. Find how much share of Nidhi exceeds that of Jyoti out of a total profit of Rs 35,100.
A. 2100 Rs
B. 3600 Rs
C. 3200 Rs
D. 4000 Rs
Solutions

Difference of Shares of Nidhi and Jyoti = 15x – 11x = 4x
x = 900
4x = 3600
17. The sum of four consecutive even numbers is 45 more than the average of these numbers. Find the largest number?
A. 18
B. 16
C. 20
D. 14
Solutions
x + x + 2 + x + 4 + x + 6 = 45 + (x + x + 2 + x + 4 + x + 6 )/4
4x + 12 = 45 + x + 3
3x = 36
x = 12
Largest Number = 12 + 6 = 18
18. Simplify the following
(14896 ÷ 19) ÷ 16 + √676 + 416 – (60% of 920) + 110 =?
A. 38
B. 49
C. 46
D. 51
Solutions
(14896 ÷ 19) ÷ 16 + √676 + 416 – (60% of 920) + 110 =?
784 ÷ 16 + 26 + 416 – 6 x 92 +110
= 49 + 26 + 416 – 552+ 110 = 49
19. Find the next term in the following series.
168 , 132 , 64, 30 , ?
A. 12
B. 15
C. 13
D. 18
Solutions
168 ÷ 2 -2 = 134-2 =132
132÷2-2 = 66-2 =64
64 ÷ 2 -2 = 32-2 = 30
30÷ 2 -2 = 13
20. A college will provide scholarship of rupees one lakhs to only one student. There are top 20 final year student, top 15 from third year students, top 10 from second year students and top 5 from first year students. What is the probability that a second year student getting the scholarship.
A. 1/10
B. 1/50
C. 1/10
D. 1/5
Solutions
Total candidate = 20 + 15 + 10 + 5 =50
2nd year students = 10
Probability = 10C1 / 50C1
Probability = 10/50 =1/5
21. There are 2 jars of equal capacity. The ratio of glycerin to rose water in the first container is 3:5 and in the second jar is 5:7. If they are mixed up then what is the new ratio of glycerin to rose water in the mixture?
A. 19 : 29
B. 29 : 19
C. 17 : 29
D. 27 : 17
Solutions

22. Find the wrong number in the given series?
3, 8, 21, 58, 166, 492
A. 8
B. 166
C. 21
D. 58
Solutions
3 x 3 – 1= 8
8 x 3 – 3 = 21
21 x 3 – 5 =58
58 x 3 – 7 = 167
167 x 3 – 9 = 492
23. Direction (23 – 25): Read the information carefully given in the following pie chart percentage distribution of student in a coaching centre who take class of different subject is given.
Total Number of Student in coaching centre = 1800

If two-ninth of the student who are in Physics classes are females, then the number of male who are in Physics batch is approximately how much percent of the total number of Student who are in Geography?
A. 47%
B. 57%
C. 54%
D. 49%
Solutions
Number of Student in Physics = 17/100 x 1800 = 306
Number of male Student in Physics = 7/9 x 306 = 238
Number of student in Geography = 23/100 x 1800 = 414
Required % = 238 / 414 x 100 = 57.48
24. Direction (23 – 25): Read the information carefully given in the following pie chart percentage distribution of student in a coaching centre who take class of different subject is given.
Total Number of Student in coaching centre = 1800

What is the difference between the total number of History and Physics Student together and total number of Chemistry and Biology student together?
A. 442
B. 262
C. 342
D. 362
Solutions
Total number of student in History and Physics = 44% of 1800
Total number of student in Chemistry and Biology = 25% of 1800
Difference = 19% of 1800 = 342
25. Direction (23 – 25): Read the information carefully given in the following pie chart percentage distribution of student in a coaching centre who take class of different subject is given.
Total Number of Student in coaching centre = 1800

If the percentage of student in Chemistry is increased by 50% and percentage of student in Maths is decreased by 25%, what will be the total number of student in Chemistry and Maths together?
A. 379
B. 459
C. 489
D. 529
Solutions
Total number of Student in Chemistry = 234 + 117 = 351
Total number of student in Maths = 3/4 x 8% of 1800 = 108
Total number of student in Chemistry and Maths together = 351 + 108 = 459
26. Find the approximate value of the following
2210.08 ÷26 – 4.8% of 250 – 7.9% of (34.9 × 10) =? % of 500
A. 9
B. 18
C. 15
D. 7
Solutions
2210 ÷26 – 48% of 25 – 8 % of (35× 10) =? % of 500
85 – 12 – 28 = 5 x?
45 = 5 x?
? = 9
27. The simple interest on a sum of money will be rupees 800 after 5 years. In the next 5 years the principal is doubled, what will be the total interest at the end of the 8th year?
A. 1200
B. 1640
C. 1700
D. 1760
Solutions
P x R x 5 /100 = 800
P x R = 16000
SI for next 3 year = 2P x R x 3/100 = 2 x 16000 x 3/100 = 960
Total SI After eight year = 800 + 960 = 1760
28. In a school library 5 percent books are of GK, 10% of the remaining are in Hindi and 15 % of the remaining are Maths books. The remaining 8721 books are of science. Then find the total number of books in the library.
A. 16000
B 18000
C. 12000
D. 14000
Solutions
95/100 x 90/100 x 85 /100 x total Books = 8721
Total books = (8721 x 100 x 100 x 10) / 95 x 9 x 85 =12000
29. If sinθ + cosecθ =2 then find the value of sin5θ + cosec5θ
A. 1
B. 2
C. 0
D. 4
Solutions
sinθ + 1/sinθ =2
Sin2θ +1 = 2sinθ
Sin2θ – 2sinθ + 1 =
(Sinθ -1 )2=0
Sinθ =1
Cosecθ =1
sin5θ + cosec5θ = 1+ 1= 2
30. If two supplementary angles are differ by 46° then which of the following can be one of the angles.
A. 68°
B. 118°
C. 113°
D. 98°
Solutions
Let supplementary angle be x and 180° -x
x- 180° + x = 46°
2x= 180° + 46° = 226°
x = 113°
31. Four statements are given below followed by two conclusions. you have to take the given statement to be true even if they seems to be at variance with commonly known facts and then decide which of the following conclusion does not logically follow.
Statement:
1. All Duck are bird.
2. Some Duck are Penguin.
3. No Penguin is animal.
4. All penguins are Flightless
Conclusion:
I. Some Duck are Flightless
II. Some Duck are not animal.
III. Some penguin are birds is a possibility
A. Only I does not follow
B. Only III does not follow
C. If Only II and III does not follow.
D. Only II does not follow
Solutions

32. Rohan started walking 5 km in North direction then takes three consecutive Right turns and walked distances 4 km, 9 km, 7 km respectively. What is the shortest distance between his final and initial position and in which direction he is from his initial position?
A. 5 North east
B. 4 South West
C. 5 South West
D. 3 North East
Solutions

Distance = √[(9 – 5)2 + (7 – 4)2 ]
= √16 + 9
= √25 = 5
33. ount the Number of triangle in the following figure.

A. 21
B. 18
C. 20
D. 22
Solutions

Simplest Triangle = ABM , EFG ,BPN , NPE , MLK , GIH ,TOQ , QOR , TOS , OSR
Triangle With two component = BPE, TQR TSR , TQS ,QRS
Triangle with three component = PMO , POG
Triangle with six component = LPJ , PJH, MPG
And largest triangle = PLH
So total = 21
34. Find the missing term in the given series.
B5Y, D1W, F3U, H7S, ?
A. J2Q
B. J 7Q
C. K2R
D. R7Q
Solutions
B + 2 = D + 2 = F + 2 = H + 2 = J
Last Letters Y-2 = W-2 = U-2 = S-2 = Q
For Number
Difference of place value of 1st and last letter. (Represent the place value in one digit)
B-> 2 Y ->25 = 2+5 = 7 so Number = 7-2 =5
D-> 4 W->23 = 2 + 3 = 5 So Number = 5-4=1
F->6 U->21 = 2+1 = 3 Number = 6-3=3
H-> 8 S->19 = 1+9 = 10 = 1 Number = 8-1 = 7
J->10 = 1+0 = 1 Q->17 = 1+7 = 8 Number = 8 – 1 = 7
35. In each of the following question you are given a fig(x) followed by for alternative such that fig(x) is embedded in one of the. Trace out the figure which contains the fig(x) as its part.

A
B
C
D
36. In the following question four words have been given out of which three are alike in some manner and fourth one is different. Choose out the odd one.
A. Chandigarh
B. Mumbai
C. Kolkata
D. Dehradun
Solutions
Chandigarh is Union Territory. All other are capital of the different state.
37. Unscramble the letters “PIRSEA” to form an English word and find the fifth letter of the unscramble word?
A. P
B. S
C. E
D. R
Solutions
The word is PRAISE. S is the fifth letter of the word
38. Select the correct combination of mathematical signs to replace * signs and balance the following equation
4* 105 * 7 * 13 * 6
A. – + ÷ =
B. + ÷ × =
C. – × + =
D. + ÷ – =
Solutions
4+ 105 ÷ 7 – 13 = 4 + 15 – 13 = 6
39. In a running race, if you overtake the last but one contestant, which position are you in?
A. Last
B. Second from last
C. Third from last
D. Fourth from last
Solutions
Only one person remains if you overtake last but one. The you’re the last but one i.e. Second from last.
40. Select the figure from amongst in four alternative which when placed the blank space of figure (x) would complete the pattern.

A
B
C
D
41. Sugan is 10th to the left of Sam, who is 14th from the left end and Harshita is 20th from the right end of a row, then what is the position of Sugan from the right end of the row?
A. 51
B. 50
C. 49
D. Cannot determine
Solutions
In question not given that how many persons are sitting in the row so that we can’t determine the position of Sugan from the other end.
42. Some equations are solved on the basis of certain system. Find the correct answer for the unsolved equation on that basis.
14 $ 4 = 20 21 $ 7 = 21 17 $ 6 = ?
A. 48
B. 17
C. 23
D. 24
Solutions
(1+4) x 4 = 20
(2+1) x 7 = 21
(1+7) x 6 = 48
43. Find the missing Alphabet in the series

A. I
B. L
C. O
D. U
Solutions
Starting from M all the consecutive letters appear in given matrix. Also starting from one can reach U without lifting the pen.
44. Direction (44-45): In each of the following questions two statements are given. You have to determine which statement/statements are necessary to answer the given question:
a) Only I is sufficient
b) Only II is sufficient
c) Both I and II together is sufficient
d) Either I or II is sufficient
Pranav is in which direction with respect to Ritesh?
I. Mohan is facing of west of Tanu, who is facing north of Ritesh. Pranav is to the north of Mohan.
II. Kavita is to the south of Pranav and to the west of Ritesh.
A. a
B. b
C. c
D. d
Solutions

45. Direction (44-45): In each of the following questions two statements are given. You have to determine which statement/statements are necessary to answer the given question:
a) Only I is sufficient
b) Only II is sufficient
c) Both I and II together is sufficient
d) Either I or II is sufficient
In certain code, How BLUE written as?
I. “Blue and Black” is written as ‘#@7’ and “Orange and Pink” is written as ‘$%#’
II. “Pink and Red” is written as ‘#$8’ and “Yellow and Blue” is written as ‘6@#’
A. a
B. b
C. c
D. d
Solutions
From I:
Blue and Black – #@7
Orange and Pink – $%#
We conclude
And is coded as #
From II:
Pink and Red – #$8
Yellow and Blue – 6@#
We conclude
And is coded as #
From I and II:
Blue and Black – #@7
Orange and Pink – $%#
Pink and Red – #$8
Yellow and Blue – 6@#
We conclude from this statement
And – #; Blue – #; Pink – $
46. In the following question out of five figures A, B, C, D and E four are similar in a certain manner. One image is not like other four. Choose the figure which is different from the rest.

A. A
B. D
C. E
D. B
Solutions
All are made by two line segment expect figure D.
47. In the following question arrange the following words in a meaningful sequence and then choose the most appropriate sequence amongst the alternatives provided below
1. Brigadier
2. Colonel
3. Major
4. Lieutenant
5. Lieutenant General
A. 5, 1, 2, 3, 4
B. 4, 5, 3, 2, 1
C. 5, 1, 3, 4, 2
D. 5, 4, 3, 1, 2
Solutions
Higher to lower army rank
Lieutenant General, Brigadier, Colonel, Major, Lieutenant
48. Answer the following question based on the sequence given below
How many such symbols are there which are immediately preceded by number and immediately followed by letter?
A D 9 * B 0 2 N + R % 5 F & X @ 3 1 E P L Z $ J 6 α
A. More than three
B. 1
C. 2
D 3
Solutions
9 * B
49. In the following question candidate is required to stress only on truth of facts that always hold. Question asked in context of a particular thing that always characterized by specific part or feature. The alternative other than correct answer also seems to bear a strong relationship with the thing mentioned. So absolute truth is to be followed.
Which of the following a River always has?
A. Delta
B. Tributaries
C. Banks
D. Fishes
Solutions
Every River always has River bank.
50. First group is related in certain way. Find the suitable answer for question mark so that the relation between second group is same as first.
Passion : Martyrdom : : Triviality : ?
A. Injustice
B. Profundity
C. Importance
D. Pettiness
Solutions
Passion is synonym for Martyrdom same as Triviality is synonym for pettiness.
51. Direction (51-53): Read the following information carefully and answer the following.
Eight friends – A, B, C, D, E, F, G and H are sitting around a circular table facing the centre but not necessarily in the same order. Each one of them belongs to a different profession such as Magician, Engineer, Reporter, Editor, Accountant, Doctor, Architect and teacher but not necessarily in the same order.
G sits second to the right of the magician. The Editor and the Engineer are the immediate neighbours of G. C sits second to the right of E who is Accountant. E is an immediate neighbour of the Editor. Only one person sits between H and F. D sits third to the left of E. G sits exactly between B and D. The Architect sits second to the left of A. Teacher is immediate left of the Architect. H is not a Teacher.
Who among the following is reporter?
A. H
B. G
C. A
D. C
Solutions

52. Direction (51-53): Read the following information carefully and answer the following.
Eight friends – A, B, C, D, E, F, G and H are sitting around a circular table facing the centre but not necessarily in the same order. Each one of them belongs to a different profession such as Magician, Engineer, Reporter, Editor, Accountant, Doctor, Architect and teacher but not necessarily in the same order.
G sits second to the right of the magician. The Editor and the Engineer are the immediate neighbours of G. C sits second to the right of E who is Accountant. E is an immediate neighbour of the Editor. Only one person sits between H and F. D sits third to the left of E. G sits exactly between B and D. The Architect sits second to the left of A. Teacher is immediate left of the Architect. H is not a Teacher.
Which of the following does not belong to that group?
A. FC
B. HE
C. GD
D. AD
Solutions

53. Direction (51-53): Read the following information carefully and answer the following.
Eight friends – A, B, C, D, E, F, G and H are sitting around a circular table facing the centre but not necessarily in the same order. Each one of them belongs to a different profession such as Magician, Engineer, Reporter, Editor, Accountant, Doctor, Architect and teacher but not necessarily in the same order.
G sits second to the right of the magician. The Editor and the Engineer are the immediate neighbours of G. C sits second to the right of E who is Accountant. E is an immediate neighbour of the Editor. Only one person sits between H and F. D sits third to the left of E. G sits exactly between B and D. The Architect sits second to the left of A. Teacher is immediate left of the Architect. H is not a Teacher.
If all the persons are made to sit in the alphabetical order in clockwise direction from A, the position of how many of them will remain unchanged (excluding A)?
A. 1
B. 2
C. 3
D. None
Solutions

54. Find the odd one out pair
A. TEG
B. EPN
C. POC
D. ZCS
Solutions
All other make a meaningful word except d)
GET, PEN, COP
55. A word represented by only one set of numbers as given in any one of the alternative. The set of number given in the alternate represented by two classes of alphabets as in two matrices given below. The columns and rows of Matrix I are numbered from 0 to 4 and those of Matrix II from 5 to 9. A letter from these matrices can be represented first by its row and then the column number e.g., F can be represented by 30, 23 etc N can be represented by 97, 89 etc. Similarly you have to identify the correct set for the word given in question. “LUCK”
Matrix-I

Matrix-II

A. 40, 33, 13, 89
B. 79, 12, 03, 23
C. 79, 12, 01, 23
D. 24, 78, 13, 23
Solutions
79 = L, 12 = U, 01 = C, 23 = K
56. Who was the first Indian to demand Swarajin the Calcutta session of Indian national Congress 1906?
A. Bal Gangadhar Tilak
B. Dada bhai Naoroji
C. Bipin Chandra pal
D. Lala lajpat Rai
Solutions
DadabhaiNaorojiwas the first Indian to demand Swaraj in the Calcutta session of Indian national Congress 1906. He was also known as the Indian Gladstone, Grand old man of India.
57. Who was the editor of the weekly paper ‘Young India and harijan’?
A. Jawaharlal Nehru
B. Swami Vivekananda
C. Rajaram Mohan Roy
D. Mohandas Karamchand Gandhi
Solutions
MK Gandhi was the editor of the weekly English journal ‘Young India and harijan’ from 1919 to 1931.
58. The cultural heritage site ‘Ellora’ caves is located in
A. Madhya Pradesh
B. Maharashtra
C. Tamil Nadu
D. Uttar Pradesh
Solutions
The culturalheritage site Ellora caves is located in the Aurangabad district of Maharashtra.
59. On which of the following days the day and night are of equal time?
A. 21st March
B. 21st june
C. 22nd December
D. 21st May
Solutions
When the sun is vertically overhead at the equator the days and nights are equal. It happens on two days of the year that is on 21st March and 23rd September.
60. Insolation is measured with the help of
A. Pyrometer
B. Galvanometer
C. Pyranometer
D. Barometer
Solutions
Solar radiations that is intercepted by the earth is known as insolation. Insolation is measured with the help of pyranometer.
61. The heated surface of the earth starts radiating energy in the form of long waves and this process is known as
A. Atmospheric pressure
B. Low pressure belt
C. Subtropical belt
D. Terrestrial radiation
Solutions
The heat surface of the earth starts radiating energy in the form of long waves and this process is known as terrestrial radiation.
62. A man-made lake which lies on Nile river located between Egypt and Sudanis
A. Lake Victoria
B. Orange river
C. Nasser lake
D. Lake Superior
Solutions
Nasserlake is a man made lake which lies on Nile river and located between Egypt and Sudan.
63. Who was elected as the first president of the Indian constituent assembly formed in 1946?
A. Dr Sachidanand Sinha
B. Dr Rajendra Prasad
C. H C Mukherjee
D. Sir BN Rao
Solutions
Dr SachidanandSinha was the first president of the constituent assembly when it met on 9th December 1946 while later DrRajendra Prasad and H C Mukherjee were elected the President and vice President of the Assembly respectively.
64. Which part of the Indian constitution deals with union territories?.
A. Part IV
B. Part VIII
C. Part IX
D. Part XIII
Solutions
Part VIII comprising of article 239 to 241 deals with union territories.
65. Which was the first linguistic State formed in India?
A. Andhra Pradesh
B. Tamil Nadu
C. Kerala
D. Madhya Pradesh
Solutions
In October 1953 the government of India was forced to create the first linguistic state known as Andhra Pradesh by separating the Telugu speaking area from Madras presidency.(After the death of Sriramulu, Congress person).
66. Which municipal corporation was awarded the best capital city in solid waste management in the SwachhSurvekshan 2018 rankings?
A. Bangalore
B. Hyderabad
C. Mumbai
D. Bhubaneswar
Solutions
Capital city of Andhra Pradesh Hyderabad municipal corporation was awarded the best capital city in solid waste management in the SwachhSurvekshan 2018 ranking.
67. The Union cabinet has approved the Gaganyan project under which a three member through will be sent to space for at least 7 days the project costs
A. INR 1000 crore
B. INR 10,000 crore
C. INR 20000 crore
D. INR 35000 crore
Solutions
Gaganyaancentre approves INR 10,000 crore for human space mission.
68. Pm NarendraModi inaugurated the Bogibeel bridge which is India’s longest road come rail bridge in
A. Manipur
B. Bihar
C. Assam
D. Arunachal Pradesh
Solutions
Prime MinisterNarendramodi inaugurated the Bogibeel bridge, which is India’s longest road come rail bridge in Assam Dibrugarh. The 4.94 km long bridge will connect the North and South Bank of the Brahmaputra and reduce travel time from Assam to Arunachal Pradesh to 4 hours.
69. Who is been awarded the first ‘Sheikh International prize for materials research’ by the centre for advanced materials of the United Arab Emirates?
A. CNR Rao
B. Dr Ratan Lal
C. Surender Singh
D. Anurag Thakur
Solutions
Scientist and recipient of Bharat Rathna CNR Rao has been chosen for the first ‘Sheikh South International prize’ for materials search by the centre for advanced materials of the United Arab Emirates
70. Operation Olympics, and export program to train outlets in lemon disciplines was launched on 25th January 2019 in
A. Andhra Pradesh
B. Karnataka
C. Maharashtra
D. Kerala
Solutions
‘Operation Olympics’, and expert program to train outlets in 11 disciplines was launched in Kerala on 25th January 2019. The objective of operation Olympics is to provide International standard training with the help of eminent trainers from both India and abroad.
71. Which instrument is used to compare the intensity of colors?
A. Cryometer
B. Colorimeter
C. Chronometer
D. Calorimeter
Solutions
A colorimeter is a device that is used to measure the absorbance of particular wavelength of lights by a specific solution
72. Which semiconductor is made by doping a pure semiconductor with pentavalent impurity?
A. N type semiconductor
B. p type semiconductor
C. Intrinsic semiconductor
D. Extrinsic semiconductor
Solutions
An N-type semiconductor is made by adding pentavalent impurities like phosphorus, arsenic, antimony or bismuth. A pentavalent impurity gives a free electron to a semiconductor, so it is also known as donor atom and the impurities are called as doplants.
73. Which element is used to measure the age of fossils and plants?
A. Radioactive carbon 12
B. Radioactive carbon 6
C. Radioactive carbon 14
D. Radioactive carbon 10
Solutions
Carbon-14 is an isotope of carbon with 8 electrons. It is used in archeology to determine the age of fossils.
74. Which of the following is not a diamagnetic substance?
A. Bismuth
B. Manganese
C. Copper
D. Mercury
Solutions
Diamagnetic substance: Diamagnetic substances are those substances which are repelled by a magnet. Some examples of diamagnetic substances are antimony, bismuth, copper, lead, gold, silver, zinc, quartz, mercury, alcohol, sodium chloride, water, hydrogen, air, argon etc.
75. Distillation is a process of
A. Boiling + condensation
B. Vaporization + crystallization
C. Evaporation + crystallization
D. sublimation + condensation
Solutions
Distillation is a method of separating mixture of liquids from solids with two different boiling points or non volatile components.
76. A mole is a collection of _______particles
A. 6.023 x 1023
B. 6.024 x 1024
C. 6.022 x 1023
D. 6.020 x 1023
Solutions
A mole is a collection of 6.023 x 1023 particles.
77. Atoms of different elements having same number of neutrons are called
A. Isobars
B. Isotopes
C. Isotones
D. Isoelectronic
Solutions
If two atoms have same neutron number N but different proton number Z, they are called isotones. Example: carbon-13 and boron-12 have 7 neutrons.
78. Which is not a property of covalent compound?
A. They have high melting point and boiling point
B. They are non directional
C. They are soluble in water
D. They are soluble in organics solvent
Solutions
Covalent compounds have bonds where electrons are shared between atoms. Due to the sharing of electrons, they exhibit characteristic physical properties that include lower melting points and electrical conductivity compared to ionic compounds.
79. Number of chromosome in human is
A. 13 Pairs
B. 39 pairs
C. 7 Pairs
D. 23 pairs
Solutions
There are 23 pairs of chromosomes in human body. 22 pairs are known as autosomes and the 23rd pair is called sex chromosomes. The 23rd pair differs male and female.
80. The disease caused by deficiency of calcium and molybdenum in turnip is
A. Koter spot
B. Black hat
C. White bud
D. Die back
Solutions
The disease caused by deficiency of calcium and molybdenum in turnip is known as Koter.
81. The longest bone in the human body is
A. Femur
B. Clavicle
C. Patella
D. Scapula
Solutions
The longest bone in the human body is Femur (thigh bone) and shortest bone is Stapes (middle ear).
82. Root hairs of plants absorb water from soil through
A. Diffusion
B. Imbibition
C. Osmosis
D. All of the above
Solutions
Plants absorb water from the soil by osmosis. Root hair cells are adapted for this by having a large surface area to speed up osmosis. The absorbed water is transported through the roots to the rest of the plant where it is used for different purposes: It is a reactant used in photosynthesis. Osmosis is the process through which root hairs of plants absorb water from soil.
83. Root hairs of plants absorb water from soil through
A. Diffusion
B. Imbibition
C. Osmosis
D. All of the above
Solutions
Plants absorb water from the soil by osmosis. Root hair cells are adapted for this by having a large surface area to speed up osmosis. The absorbed water is transported through the roots to the rest of the plant where it is used for different purposes: It is a reactant used in photosynthesis. Osmosis is the process through which root hairs of plants absorb water from soil.
84. If the distance travelled by an object is zero then the displacement of the object is
A. Zero
B. Not zero
C. Negative
D. May or may not be zero
Solutions
Between any two points the displacement will always be less than or equal to the distance travelled. So if the distance travelled is zero then displacement is also zero because displacement is equal to speed + direction.
85. Bake lite is a
A. Semiconductor
B. Conductor
C. Insulator
D. All of the above
Solutions
Bakelite was the first plastic made from synthetic components. It is an insulator.
86. Which of the following is the function of calcium?
A. Essential component for formation of ATP DNA RNA
B. Essential for the formation of myoglobin
C. Essential for the formation of bones and teeth
D. An important mineral of gastric juice that helps in the formation of HCL
Solutions
Calcium is required for the formation of bones and teeth it is an essential mineral for clotting of blood and also controls the functions of nerves and muscles.
87. Which of the following contributes to greenhouse effect?
A. Methane CH4
B. Carbon dioxide CO2
C. Chlorofluorocarbons CFCs
D. All of these
Solutions
The release of all the above components leads to greenhouse effect.
88. Eutrophication results in reduction of
A. Dissolved hydrogen
B. Dissolved oxygen
C. Mineral salt
D. Dissolved nitrate
Solutions
When a water body becomes ocerly enriched with minerals and nutrients resulting in the formation of excessive plants and algae, it leads to eutrophication.
This process leads to depletion of oxygen in the water.
89. Which of the following drug is popularly known as ‘Go Pill’?
A. Endosulfan
B. Modafinil
C. Oxytocin
D. None of the above
Solutions
Modafinil is the drug which is popularly known as ‘Go Pill’. It is used by pilots to overcome sleep deprivation and fatigue during long flight operation.
90. Which of the following illustrates Newton’s Second Law of Motion?
A. A cricket player lowers his hands while catching the ball.
B. A person falling on the cemented floor gets injured but a person falling on a heap of sand is not injured.
C. Both a and b
D. None of the above
Solutions
According to Newton’s second law of motion, the change in momentum of a body per unit time is directly proportional to the unbalanced force acting on the body. Both the options a and b come under this law.
91. SI unit of gravitational constant G is
A. (Nm) 2/g2
B. Nm2Kg
C. NmKg-1
D. Nm-1Kg2
Solutions
SI unit of G= (unit of force x (unit of distance) 2)/ (unit of mass x unit of mass) = (Nm) 2/g2
92. The characteristic of sound that enables us to distinguish between two sounds of same pitch and loudness is known as
A.Shrillness
B. Timber
C. Intensity
D. All of the above
Solutions
Timber or quality is a characteristic of sound that enables us to distinguish between two sounds of same pitch and loudness.
93. The SI unit of sound intensity is
A. Jm-1m-2
B. Jm-2m-1
C. Wm-1
D. None of these
Solutions
The SI unit of sound intensity is Jm-1m-2 or Wm-2
94. When a current is passed through a straight wire, the magnetic field established around its lines of force
A. Parabolic
B. Elliptical
C. Circular
D. Oval
Solutions
When a current is passed through a straight wire, the magnetic field established around its lines of force is parabolic.
95. In case of a bar magnet, the magnetic field is maximum at
A. Uniform all over
B. Poles
C. Centre
D. Sometimes at poles and sometimes at centre
Solutions
In a dipole magnet, the magnetic field is strongest in the poles and weak at the centre.
96. Respiratory organ of spider is known as
A. Trachea
B. Book gills
C. Book lungs
D. Air bladder
Solutions
Respiratory organ of spider is known as Book lungs.
97. Joints present in shoulder and hip is known as
A. Pivot
B. Saddle
C. Hinge
D. Ball and socket
Solutions
The type of joint found in the shoulder and hip is a ball-and-socket joint.
98. The atomic number of the second heaviest element Ununseptium is
A. 118
B. 117
C. 121
D. 101
Solutions
Tennessine is a synthetic chemical element with symbol Ts and atomic number 117. It is the element was temporarily called ununseptium (symbol Uus) until its discovery was confirmed and a permanent name chosen
99. Which of the following is highly reactive?
A. Zinc
B. Silver
C. Magnesium
D. Aluminium
Solutions
Magnesium (Mg) is the most reactive among the given options.
100. Metal with the lowest density is
A. Tungsten
B. Lithium
C. Mercury
D. Gold
Solutions
The lightest or least dense metal that is a pure element is lithium, which has a density of 0.534 g/cm3.This makes lithium nearly half as dense as water, so if lithium was not so reactive, a chunk of the metal would float on water.








