1. What is the mean of the range, median and mode of the data given below?
18, 7, 5, 10, 8, 12, 6, 8, 12, 14, 8, 18, 15, 9, 6
A. 9
B. 9.5
C. 10
D. 10.3
Solutions
Calculation:
First arrange the given dat in ascending or descending order.
⇒5, 6, 6, 7, 8, 8, 8, 9, 10, 12, 12,14, 15, 18, 18
Range = 18 – 5 = 13
Mode = 8 (maximum number of times repeat)
Median =
Here, n = 15 (odd)
Median = (15 + 1) / 2th term = 8th term
⇒ 9
Mean of range, mode, median = (13 + 8 + 9) / 3
⇒ 10.
∴ Option 3 is correct.
2. An LC resonant circuit contains a 400 pF capacitor and a 100 μH inductor. It is sent into oscillations coupled to an antenna. The wavelength of the radiated electromagnetic wave is:
A. 377 mm
B. 377 cm
C. 377 m
D. 3.77 cm
Solutions

3. Two ships are sailing in the sea on the two sides of a lighthouse. The angle of elevation of the top of the lighthouse is observed from the ships are 30° and 45° respectively. If the lighthouse is 100 m high, the distance between the two ships is
A. 173 m
B. 273 m
C. 300 m
D. 373 m
Solutions
Given:
Height of the lighthouse = 100 m
The angle subtended by the two ships = 30º and 45º
Formula used:
In right-angled triangle ABC, with right angle at B, tan A = BC/AB
Calculation:

From the figure,
tan 45º = 100/AB
⇒ AB = 100
Also, tan 30º = 100/BD
⇒ BD = 100 √3
⇒ BD = 173; (√3 ~ 1.73)
Then, AD = AB + BD = 100 + 173
⇒ AD = 273
∴ The distance between the two ships = 273 m
4. In the following question, select the related letters/number from the given alternatives.
EK : 612 :: BW : ?
A. 325
B. 324
C. 323
D. 321
Solutions
According to the English alphabet series and its positional value:

The logic follows here is:
For the first pair:

Therefore, BW is related to 324.
5. Which of the following is an example of a sequential circuit?
A. Comparator
B. Encoder
C. Counters
D. Multiplexer
Solutions
Explanation:
Digital circuits are broadly classified into two types:
- Combinational Circuits – Output depends only on current input
- Sequential Circuits – Output depends on current input + past inputs (i.e., memory)
Let’s check the options:
Multiplexer – Selects one input from multiple lines; output is immediate → combinational.
Comparator – Compares two binary values; output depends only on current inputs → combinational.
Encoder – Converts data from one format to another; no memory → combinational.
Counters – Count sequences based on clock pulses; they store previous state → sequential circuit.
6. The EXOR (Exclusive-OR) operation is also called ______ operation because it produces the same output for two different inputs.
A. inverting
B. coincidence
C. multiplication
D. addition
Solutions
Explanation:
The EXOR (⊕) or Exclusive-OR operation follows this truth table:
| A | B | A ⊕ B |
|---|---|---|
| 0 | 0 | 0 |
| 0 | 1 | 1 |
| 1 | 0 | 1 |
| 1 | 1 | 0= |
- It gives output 1 only when inputs are different.
- This is similar to binary addition without carry:
- 0 + 0 = 0
- 0 + 1 = 1
- 1 + 0 = 1
- 1 + 1 = 0 (in binary addition, 1 + 1 = 10, EXOR ignores carry and takes only the sum bit)
That’s why EXOR is often called the “mod-2 addition” operation.
7. A pair of dice is thrown simultaneously. The probability that the product of the numbers on the two dice is a prime number is
A. 0
B. 1/4
C. 1/6
D. 7/36
Solutions
Calculation:
| (1,1) | (1,2) | (1,3) | (1,4) | (1.5) | (1,6) |
| (2,1) | (2,2) | (2,3) | (2,4) | (2,5) | (2,6) |
| (3,1) | (3,2) | (3,3) | (3,4) | (3,5) | (3,6) |
| (4,1) | (4,2) | (4,3) | (4,4) | (4,5) | (4,6) |
| (5,1) | (5,2) | (5,3) | (5,4) | (5,5) | (5,6) |
| (6,1) | (6,2) | (6,3) | (6,4) | (6,5) | (6,6) |
The product of dice
(2,1) = 2 × 1 = 2
(3,1) = 3 × 1 = 3
(5,1) = 5 × 1 = 5
(1,2) = 1 × 2 = 2
(1,3) = 1 × 3 = 3
(1,5) = 1 × 5 = 5
⇒ Number of results where product of numbers on 2 dices is prime number = 6
Total results = 36
∴ Probability = 6/36 = 1/6
The correct option is 3 i.e. 1/6
8. Which command is used to display all the files having the (.ext) extension but different filename?
A. Dir filename.*
B. Dir filename.ext
C. Dir *.sys
D. Dir *.ext
Solutions
The correct answer is Dir *.ext .
Key Points
- In MS-DOS, the Dir filename.* command displays all the files having the same name but different extensions.
Additional Information
Dir *.ext lists all the files with a specified extension.
* is a wild card character that stands for any character.
When we specify a filename.* it means that the filename should be the same but the extension can be any.
Dir filename.ext, shows the specified file with the specified extension.
Dir *.sys lists all the files with system extensions.
9. A wire has a resistance of 16 ohms. It is melted and drawn into a wire of half of its original length. What is the resistance of the new wire?
A. 4 ohms
B. 32 ohms
C. 16 ohms
D. 8 ohms
Solutions
CONCEPT:
- Resistance (R): The resistance offered to the flow of current is known as resistance .
- The SI unit of resistance is the ohm (Ω).
- Mathematically resistance can be written as:

- When the wire is melted and its length halved then its diameter will increase automatically. But the volume of the wire will be the same.

10. Rita has a sister, Mansi. Rita is daughter of Manish. Lalji is Manish’s father. How Lalji is related to Mansi?
A. Grand-Father
B. Uncle
C. Father
D. Brother
Solutions
Preparing the family tree using the following symbol:

According to the given information,

So, Lalji is Grand-Father of Mansi.
11. Which of the following parameter is affected by the level of doping in a semiconductor?
A. Inductance
B. Conductance
C. Capacitance
D. Mobility
Solutions
Explanation:
- Doping in a semiconductor means adding impurities to pure (intrinsic) semiconductor material to increase the number of charge carriers (electrons or holes).
- As doping increases:
- Number of free charge carriers increases ⬆️
- Hence, conductivity increases ⬆️
- Conductance (which is the reciprocal of resistance) also increases ⬆️
So, doping level directly affects Conductance.
12. If an ammeter is to be used in place of a voltmeter, then we must connect with the ammeter :
A. a high value resistance in series
B. a low value resistance in parallel
C. either (1) or (4)
D. a high value resistance in parallel
Solutions
Explanation:
- Ammeter is designed to measure current, so it has very low internal resistance and is connected in series in a circuit.
- Voltmeter is used to measure potential difference (voltage), so it must have very high resistance and is connected in parallel across the component.
So if we want to use an ammeter as a voltmeter, we must:
Prevent large current from flowing through it (since ammeter has low resistance).
Hence, we connect a high resistance in parallel with the ammeter to limit the current and create a high resistance path — just like a voltmeter.
13.

A. 20
B. 32
C. 24
D. 12
Solutions

14. The outer surface area of a 5 – cm – thick hollow sphere is 484π cm2. What is the inner surface area (in cm2) of this hollow sphere?
A. 196 π
B. 121 π
C. 144 π
D. 169 π
Solutions
Given:
For hollow spheres,
Outer surface area = 484π
Thickness = 5 cm.
Concept used:
Surface area of a hollow sphere
⇒ S = 4 × π × r2
Solution:
The surface area of a hollow sphere:
⇒ So = 4 × π × r2
⇒ 484 π = 4 × π × r2
⇒ r2 = 121
⇒ r = 11
inner radius = 11 – 5 = 6 cm
⇒ Si = 4 × π × r2
⇒ S = 4 × π × 36
= 144π
∴ The answer is 144π.
15. What is the difference between Endnote and Footnote?
A. Both are the same
B. Endnote is the Appendix at the end of the document, Footnote is the Page number, name of the chapter, and date at the bottom of the page
C. Endnotes are a series of notes placed at the end of the document. Footnote is a series of notes at the bottom of a page
Solutions
D. None of the above
The correct answer is “Endnotes are a series of notes placed at the end of the document. A footnote is a series of notes at the bottom of a page”.
Key Points
- In a document, the endnotes are a set of notes or information placed at the end of the document. The endnote always appears at the end of a document or a chapter of a book. The endnote appears before the bibliography in the document.
- In a document, the footnote provides extra information in a short note at the very end of the page or the bottom of the page. The footnote always appears in the footer. The footnote will appear on all the pages if a document has more than one page.
The correct answer is “Endnotes are a series of notes placed at the end of the document. A footnote is a series of notes at the bottom of a page”.

16. A, B, C, D, E, and F are sitting in a row facing north. E and F are in the center. A and B are at the ends. C is sitting to the immediate left of A. Who is to the immediate right of B?
A. E
B. F
C. C
D. D
Solutions
Persons: A, B, C, D, E, and F.
1. E and F are in the center.
2. A and B are at the ends.

Hence, the immediate right of B is D.
17. An ideal monoatomic gas is taken round the cycle ABCDA as shown in P-V diagram. The work done during the cyclic operation is

A. PV
B. 2PV
C. 
D. Zero
Solutions
Concept:
First Law of Thermodynamics:
- The change of internal energy is a path independent function and depends upon initial and final position. Mathematically, it is given as
ΔU = Q – W
Q is net heat transfer, w is work done on the system.
- The work done is represented by the area under the cycle of the PV curve.
- If the direction is clockwise, the work done is positive. If it is anticlockwise, work done is negative.
Calculation:
Here, The direction is clockwise. So, the work done will be positive.
Area under the curve = Area of Rectangle ABCD
Area of Rectangle = length × breadth
Area = AB × BC — (1)
AB = 2P – P = P — (2)
BC = 2V – V = V — (3)
Putting (2) and (3) in (1)
Area = P × V = PV
So, the correct answer is PV.
18. Of the members of three athletic teams in a school, 21 are in the cricket team, 26 are in the hockey team and 29 are in the football team. Among them, 14 play hockey and cricket, 15 play hockey and football, 12 play football and cricket and 8 play all the three games. The total number of members in the three athletic teams is:
A. 76
B. 49
C. 43
D. 41
Solutions
Formula used:
n(B U H U F) = n(B) + n(H).n(F) − n(B ∩ H) − n(H ∩ F) − n(F ∩ B) + n(B ∩ H ∩ F).
Calculation:
Let B, H, F denote the sets of members who are in the basket hall team, hockey team and football team respectively.
Given n(B) =21, n(H)= 2 6, n(F) = 29.
n(H∩B) = 14, n (H∩F) = 15, n(F∩B) = 12 and n(B ∩ H ∩ F) = 8.
We have to find n(B U H U F) i.e. The total number of members in the three athletic teams.
n(B U H U F) = n(B) + n(H).n(F) − n(B ∩ H) − n(H ∩ F) − n(F ∩ B) + n(B ∩ H ∩ F).
n(B U H U F) = (21 + 26 + 29) − (14 + 15 + 12) + 8 = 43
19. Convert (1011011010)2 into the hexadecimal number.
A. (2DA)16
B. (AD2)16
C. (DA2)16
D. (2AD)16
Solutions
Concept:
- The hexadecimal number system is a type of number system, that has a base value equal to 16.
- It is also pronounced sometimes as ‘hex’. Hexadecimal numbers are represented by only 16 symbols.
- These symbols or values are 0, 1, 2, 3, 4, 5, 6, 7, 8, 9, A, B, C, D, E and F.
Steps:
Step 1: Write down the binary number:
001011011010
Step 2: Group all the digits in sets of four starting from the LSB (far right). Add zeros to the left of the last digit if there aren’t enough digits to make a set of four:
0010 1101 1010
Step 3: Use the table below to convert each set of three into an hexadecimal digit:
0010 = 2, 1101 = D, 1010 = A
So, 2DA is is the hexadecimal equivalent to the decimal number 1011011010.
20. The points A (a, 0), B (0, b) and C (1, 1) are collinear, if
A. a + b = 1
B. 1/a+1/b = 1
C. ab = 1
D. None of these
Solutions
Given:
The points are A (a, 0), B (0, b) and C (1, 1).
Concept used:
1. Area of ΔABC =
∣ , where A(x 1 ,y 1 ), B(x 2 ,y 2 ) and C(x 3 ,y 3 ) are three vertices of the triangle.
2. If area of the triangle formed by three points equals zero, the points are colinear.
Calculation:
Area of ΔABC

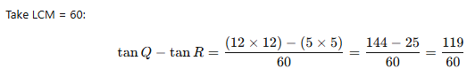
21. In a right – angled triangle PQR, PQ = 5 cm, QR = 13 cm and ∠P = 90°. Find the value of tan Q-tan R.
A. 5/14
B. 119/60
C. 60/119
D. 14/5
Solutions


22. ___________ is a non-impact printer.
A. Dot-matrix printer
B. Rock and scissor
C. Laser printer
D. Toy printer
Solutions
The correct answer is Laser printer.
Key Points
- Non-impact printers print the characters without using ribbons. These printers print a complete page at a time so they are also called page printers.
- E.g. Ink-Jet printer, Laser printer, etc.
Additional Information
E.g. Drum printer, chain printer, Dot matrix printer, etc.
The impact printers print the characters by striking them on the ribbon which is then pressed on the paper.
23. In a certain code language, “FLOWER” is written as “GNRZGS”. How is “WARDEN” written in that code language?
A. XCILLO
B. XCUGGP
C. XCCGGO
D. XCUGGO
Solutions
According to the English alphabet series and its positional value:

The logic follows here is:

Hence, WARDEN is written as “XCUGGO”.
24. Which of the following is NOT a fundamental right according to the Constitution of India as of now?
A. Right against Exploitation
B. Right to Property
C. Right to Freedom
D. Right to Equality
Solutions
The correct answer is Right to Property.
Key Points
Though not a fundamental right, the right to property is still protected under the Indian legal system, ensuring a degree of protection against arbitrary state action.
The Right to Property was originally a fundamental right under the Constitution of India, but it was removed by the 44th Amendment Act of 1978.
It is now a constitutional right, not a fundamental right, under Article 300A of the Indian Constitution.
Article 300A states that no person shall be deprived of his property save by the authority of law, thus providing a legal right rather than a fundamental one.
The change was made to give the government the ability to implement land reforms and acquire private property for public purposes without facing the constraints imposed by fundamental rights.
25. Where is a hub specified in the OSI model?
A. Session layer
B. Physical layer
C. Data Link layer
D. Application layer
Solutions
The correct option is (2) Physical layer
Concept:-
In the OSI model, a hub is specified at the physical layer. Hubs regenerate electrical signals defined at the Physical layer.
Key Points
A hub contains numerous ports. A computer that will connect to the network is hooked into one of these ports.
The primary distinction between hubs, switches, and bridges is that hubs function at Layer 1 of the OSI model, whereas bridges and switches operate at Layer 2.
They link numerous computers by transferring data from one port to all of its other ports without restriction. Hubs work in half-duplex mode.
A hub is a physical layer networking device that connects many network devices. They are typically used to link computers in a LAN.
26. In the given number series, how many odd numbers are there which are immediately preceded by an even number and immediately followed by an odd number?
5 1 4 7 3 9 8 5 7 2 6 3 1 5 8 6 3 8 5 2 2 4 3 4 9 6
A. 1
B. 2
C. 3
D. 4
Solutions
The logic followed here is:-
Given series:-
5 1 4 7 3 9 8 5 7 2 6 3 1 5 8 6 3 8 5 2 2 4 3 4 9 6
Condition to be checked:
i) odd numbers are there which are immediately preceded by an even number and immediately followed by an odd number .
even number → odd number → odd number
5 14 7 398 5 726 3 15 8 6 3 8 5 2 2 4 3 4 9 6
Hence, the correct answer is “Three”.
27. A Lissajous pattern of straight line formed with 45° angle with horizontal, when the two voltages of same frequency are:
A. in phase with each other and have equal magnitudes.
B. with 90° phase displacement with each other and have equal magnitudes
C. with 90° phase displacement with each other and do not have equal magnitudes.
D. in phase with each other and do not have equal magnitudes
Solutions
Concepts:
Lissajous figures are used for the measurement of frequency and phase differences.
- When horizontal deflection plates and vertical deflection plates of CRO (Cathode Ray Oscilloscope) are connected to two sinusoidal voltages, the patterns that appear on the CRO screen are called the Lissajous pattern.
- The Lissajous pattern obtained in a CRO depends upon frequency, amplitude and phase relationship.
- The patterns used to measure phase and frequency with a cathode ray oscilloscope are called the Lissajous pattern.
Different structure gives us information about different phase angle and different magnitude.
- Straight Line: When two voltages are in phase with each other or 180o. For equal magnitude, the straight line formed has 45o with horizontal.
- Circle: When the two voltages have equal magnitude and the phase is either 90o or 270o.
- Ellipse: Two voltages are different.
A common Lissajous pattern observed when two signals with different phase angles are applied to the two plates is as shown:


28. Which of the following is dynamic characteristics of measurement system?
A. Accuracy
B. Resolution
C. Speed of response
D. Sensitivity
Solutions
Explanation:
Measurement system characteristics are classified into two categories:
🔹 Static Characteristics (when the input is constant or slowly changing):
- Accuracy – Closeness to true value
- Sensitivity – Output change per unit input change
- Resolution – Smallest detectable input change
- Precision, Linearity, Reproducibility – All relate to steady-state measurements
🔹 Dynamic Characteristics (when the input is time-varying):
Dynamic Error – Difference due to change in input over time
Speed of Response – How quickly a system reacts to changes
Fidelity – How accurately the system follows input variations
Lag – Delay between input and output
29. A body at 1500 K emits maximum energy at a wavelength of 20000 Ȧ. If the sun emits maximum energy at a wavelength of 5500 Ȧ, what would be the temperature of the sum?
A. 5454 K
B. 4000 K
C. 3500 K
D. 8000 K
Solutions
Concept:
Blackbody: A body which absorbs all radiations incident on it is called a perfectly black body.
Wien’s displacement law: The blackbody radiation curve for different temperatures peaks at a wavelength inversely proportional to the temperature.
Wien’s displacement law
λm = T = constant
Where λm = wavelength of emitted light, T = temperature of the source.
Calculation:
Given T1 = 1500 K, λ1 = 20000 Å, λ2 = 5500 Å.
From Wien’s displacement law

30. Who established Nigarkhana (painting workshop)?
A. Akbar
B. Babar
C. Humayun
D. Shahjahan
Solutions
The Correct answer is Humayun.
Key Points
This initiative by Humayun led to the flourishing of Mughal Art, which reached its zenith during the reign of his son, Akbar, and continued to prosper under subsequent Mughal emperors.
Humayun is often credited with establishing the Nigarkhana or the painting workshop, which played a significant role in the development of the Mughal school of painting.
The establishment of the Nigarkhana under Humayun’s reign marked the beginning of a new era in the Indian art scene, blending Persian influences with Indian themes.
Humayun, during his exile in Persia, was greatly influenced by Persian art and culture. Upon his return to India, he brought with him two Persian artists, Mir Sayyid Ali and Abdul Samad, who became pioneers in laying the foundation of Mughal painting.
The Nigarkhana served as a royal atelier or workshop for the artists, where they worked on manuscripts, miniatures, and other artworks, thereby promoting the growth of fine arts in the Mughal Empire.
31. The decimal equivalent of the binary number (0.10110101)2 is:
A. (0.70703125)10
B. (0.37)10
C. (85)10
D. (0.875)10
Solutions
Following are the steps of converting binary fractional to decimal:
A) Convert the integral part of binary to decimal equivalent (i.e. 0)
0 2 = (0 × 2 0) = 0
B) Convert the fractional part of binary to decimal equivalent (i.e. 0.10110101)
0.10110101 2 = (1 × ½) + (0 × 1/2 2) + (1 × 1/2 3) + (1 × 1/2 4) + (0 × 1/2 5) + (1 × 1/2 6) + (0 × 1/2 7) + (1 × 1/2 8)
= 0.5 + 0 + 0.125 + 0.0625 + 0 + 0.015625 + 0 + 0.00390625
= 0.70703125
C) Add results of A and B
0 + 0.70703125 = 0.70703125
Option 1 is the correct answer.
32. Which of the following is NOT a part of the Formatting toolbar in MS Word?
A. Numbering and Bullets
B. Edit
C. Indentation
D. Line spacing
Solutions
The correct answer is Edit.
Key Points
In the systems running on MS Word 2003, you can find the formatting toolbar in the view menu. In the later versions, you can find it in the home menu.
MS Word provides a formatting toolbar to change the appearance of the document .
It includes the option to change the font style, the colour of the text, change alignment, changing the currency style etc.

33. ISRO’s Small Satellite Launch Vehicle (SSLV) is designed to launch payloads of up to:
A. 500 kg
B. 1000 kg
C. 1500 kg
D. 2000 kg
Solutions
The correct answer is 500 kg.
Key Points
By providing a dedicated launch option for small satellites, ISRO aims to enhance its competitive edge in the global space market and support various applications, including Earth observation, telecommunications, and scientific research.
ISRO’s Small Satellite Launch Vehicle (SSLV) is designed to cater to the launch of small satellites into space, with a payload capacity of up to 500 kg to Sun Synchronous Orbit (SSO).
This launch vehicle is a part of India’s initiative to capture the growing market of launching small satellites. The SSLV is designed for on-demand, cost-effective launch capabilities.
The development of the SSLV represents ISRO’s move towards more versatile and accessible launch options, targeting the increasing demand for small satellite deployments.
The SSLV’s compact size and the capability to launch satellites into low Earth orbit (LEO) make it an attractive option for both domestic and international customers looking for reliable and cost-effective satellite launch services.
34. The period of revolution of a planet about the sun is T. If a is the radius of the circular orbit, then what is true?
A. Tαa
B. Tαa2
C. T2 αa3
D. T3αa2
Solutions
CONCEPT:
Kepler’s laws of planetary motion:
The law of periods : The square of the period of revolution (T) of any planet around the sun is directly proportional to the cube of the semi-major axis of the orbit i.e. T 2 ∝ r 3
The law of Orbits : Every planet moves around the sun in an elliptical orbit with the sun at one of the foci.
The law of Area : The line joining the sun to the planet sweeps out equal areas in equal intervals of time. i.e. areal velocity is constant.
According to this law, the planet will move slowly when it is farthest from the sun and more rapidly when it is nearest to the sun. It is similar to the law of conservation of angular momentum.

EXPLANATION:
Given – The period of revolution of a planet about the sun = T and Radius of the circular orbit = a
- By the law of periods, it is clear that,

Hence, option 3 is correct.
35.

A. density
B. velocity
C. pressure
D. dimensionless
Solutions
CONCEPT:
- Bernoulli’s Principle: It states the total mechanical energy of the moving fluid comprising the energy associated with the fluid pressure (P), the gravitational potential energy of elevation ρgh, and the kinetic energy of the fluid motion 1/2ρv2, remains constant. i.e.

Where p is the pressure exerted by the fluid, v is the velocity of the fluid, ρ is the density of the fluid, h is the height of the container.
- Dimensional formula: It is a compound expression that shows which of the fundamental quantities and how are they involved in making of a physical quantity.
- The dimension’s principle of homogeneity says that an equation is dimensionally correct only if each term has the same dimension on both sides of the equation.
EXPLANATION:

36. In MS-Word 2007, what are inserted as cross-reference in Word?
A. Placeholders
B. Bookmarks
C. Objects
D. Word fields
Solutions
The correct option is (4) Word fields
Key Points
Select Cross-reference from the Insert menu. – Reference type: Choose the sort of item to which you want to refer. – Include a reference to: Choose the information you wish to include in your document. – In which case: Choose the specific item to which you want to refer.
Cross-references are added as fields to your document. A field is a collection of data that instructs Word to automatically insert text, graphics, page numbers, and other content into a document. The DATE field, for example, inserts the current date.
Word 2007 includes a cross-reference feature that automatically updates cross-references as you work on your document, even if you add or remove pages.
When the cross-reference is properly configured, the reader clicks the specified text in a document to be directed to a specific location.
Document components that point to another element in the same document are referred to as cross references.
37. Which of the following statements is true with respect to Wide Area Network (WAN)?
A. The fault tolerance of WAN is very high.
B. There is only one type of WAN known as switched WAN.
C. Due to longer transmission distance, WAN has more noise and error.
D. The data rate of WAN is higher than the speed of LAN.
Solutions
Concept:
- A wide area network (WAN) is a computer network that spans a large area, like a region, country, continent, or even the whole world.
- WAN is made up of the technologies that make it possible to send data, images, audio, and video over long distances and between LANs and MANs.
Explanation:
- WANs can connect a lot of computers over a large area and are built to be able to grow as needed.
- They make it easier for people in the area to share resources.
- They give LANs and MANs a way to connect to the Internet.
- Public carriers, like phone networks, Internet service providers, cable systems, satellites, etc., set up the links between people.
- Most of the time, they have a low rate of data transfer and a high propagation delay. This means that they have a slow rate of communication.
- WAN has a lower data transfer rate.
- They have a higher bit error rate in general.
- WAN offers less fault tolerance.
- The transmission error means that there is resistance in the transmission of information. In WAN we use distance communication, which means there is more use of lengthy cables in WAN compared to LAN.
Hence, the correct answer is option 3.
38.

A. 329/99
B. 328/99
C. 10/3
D. 109/33
Solutions

39. A convex lens of focal length 15 cm is placed in front of a convex mirror coaxially at a distance of 5 cm from the pole of the mirror. When an object is placed at a distance of 20 cm from the lens, it is found that the image coincided with the object. The radius of curvature of the mirror is:
A. 60 cm
B. 65 cm
C. 50 cm
D. 55 cm
Solutions
Calculation:
For lens, given that
u = – 20 cm, f = 15 cm


Hence, image from lens formed at 60 cm.
Distance of image from mirror
= 60 – 5 = 55 cm
Hence, an imaginary object is situated at 55 cm from the mirror.
Therefore, for mirror
u = 55 cm
According to the question, image coincides with the object. Hence it should be located at the centre of curvature of mirror.
Therefore, radius of curvature of mirror will be 55 cm.
40. What is the value of the following expression in MS Excel 2010?
= 22 – 12 / 3 / 2 + 4
A. 26
B. 8
C. 20
D. 24
Solutions
The correct answer is 24.
Key Points
For the above calculation 22-12/3/2+4, Excel returns the output as 24. Hence option 4 is correct.
MS Excel can be used as a calculator where you can calculate arithmetic functions like addition, subtraction etc.
It uses the BODMAS rule for any arithmetic calculation.
Enter the numbers you want to calculate in the formula bar and click enter. That cell displays the output value.

41. Two similar triangles are given i.e. ΔLMN – ΔPQR, with measurement of angle and side as angle L = 40°, angle N = 80°, LM = 6 cm, LN = 8 cm and PQ = 7.5 cm. Find the value of angle Q and side PR, respectively.
A. 60°, 20 cm
B. 50°, 6.5 cm
C. 40°, 10 cm
D. 60°, 10 cm
Solutions


42. Consider the following number sequence:
V 6 7 E 5 % F & F $ I 14 @ N 1 U 91 © Z H € G 10 J M 12 A 9 ¥ D 5 C K 4 B * 23 # J
How many such numbers are there in the above series which are immediately followed by a symbol and preceded by a vowel?
A. 1
B. 2
C. 3
D. 4
Solutions
Given series:
V 6 7 E 5 % F & F $ I 14 @ N 1 U 91 © Z H € G 10 J M 12 A 9 ¥ D 5 C K 4 B * 23 # J
Condition to be checked:
1. Number which is immediately preceded by a vowel.
2. Number which is immediately followed by a symbol.
The logic follows here is:-
Vowel → Numbers → Symbol
V 6 7 E 5 % F & F $ I 14 @ N 1 U 91 © Z H € G 10 J M 12 A 9 ¥ D 5 C K 4 B * 23 # J
Hence, there are 4 numbers in the given series which are immediately followed by a symbol and preceded by a vowel.
Thus, the correct answer is “4”.
43. How many nibbles are in 2 megabytes?
A. 220
B. 210
C. 222
D. 221
Solutions
The correct option is (3).
Convert Megabytes to Bytes:
1 Megabyte (MB) = 220 bytes = 1,048,576 bytes.
So,
2 Megabytes = 2 × 1,048,576 bytes = 2,097,152 bytes
Convert Megabytes to Bytes:
1 byte = 8 bits
So,
2,097,152 bytes = 2,097,152 × 8 bits = 16,777,216 bits
Convert Bits to Nibbles:
1 nibble = 4 bits
So, 16,777,216 bits / 4 = 4,194,304 nibbles
A nibble consists of 4 bits.
Therefore, there are 221 nibbles in 1 MB, and 222 nibbles in 2 MB.
44. Consider if a car is moving on an unbanked road, such that when the road is dry the coefficient of friction is μ whereas on the wet road the coefficient of friction becomes one-fourth of its initial value. In such a case what should be the relation between the permitted speed of any vehicle on a dry (v max ) and wet road (v’ max )?
A. v′ max = vmax/2
B. v′ max = v2max/2
C. v′ max = vmax/4
D. None of the above
Solutions
Calculation:
Given that
Coefficient of friction on dry road, μ = 1/4 x coefficient of friction on wet road
From the above explanation,
we can see that for an unbanked road the maximum permissible velocity of any vehicle can be expressed as

45. Which of the following is not a webmail provider?
A. upGrad
B. Yahoo
C. Outlook
D. Google
Solutions
The correct option is (1) upGrad
Key Points
Online email accounts are known as webmail. The majority of these are web-based, free email accounts. Hotmail, Gmail, and Yahoo Mail are a few examples.
Gmail, Outlook.com (previously known as Hotmail), and Yahoo! Mail are some of the most well-known webmail service providers.
It costs nothing to use any of these services. You can check your email almost anywhere, whether you’re at home, at work, or on the go, because you can access it through your computer browser.
46. Which of the following is the latest version of Windows operating system?
A. Windows 10
B. Windows Vista
C. Windows 11
D. Windows 8
Solutions
The correct answer is Windows 11
Key Points
Windows 11 was officially announced by Microsoft on June 24, 2021. This operating system includes a number of notable changes from its predecessor, Windows 10. Some of these changes include:
Gaming improvements: The new OS was designed to provide better gaming performance and includes features like Auto HDR and DirectStorage.
A new, centered Start Menu: Windows 11 uses a centered alignment for the Start Menu, taskbar, and system tray. This is a change from the left alignment that Microsoft has used in previous versions of the operating system.
Direct integration with Microsoft Teams: Microsoft’s video conferencing solution has been directly integrated into Windows 11, allowing users to quickly start or join Teams meetings.
New window management features: Microsoft introduced features such as Snap Layouts and Snap Groups, making it easier to manage open applications and windows.
A revamped Microsoft Store: The company completely redesigned the Microsoft Store for Windows 11, promising it to be speedier and featuring more apps.
47. How many bits are required for each character for representation data in ASCII format in a computer system?
A. 7
B. 5
C. 9
D. 10
Solutions
The correct answer is 7.
Key Points
The extra bit might also be used for parity in some systems. But by the standards of the ASCII encoding system itself, only 7 bits are required.
ASCII, also known as the American Standard Code for Information Interchange, uses 7 bits to represent a single character.
This is because ASCII was designed to use 7 bits to represent up to 128 different characters (from 0 to 127), which is enough to cover all the standard English letters, numbers, punctuation, control characters, and more.
Here’s how it works:
1 bit can represent 2 values (0 or1). 2 bits can represent 4 values (00, 01, 10, or 11). As you add more bits, you can represent exponentially more values.
With 7 bits, you can represent 2 to the power of 7 (27), which equals 128 values.
It’s important to note that while ASCII uses 7 bits, often a single ASCII character will get stored in a full byte (8 bits) for sake of simplicity and to align with the architecture of modern computer systems, leaving one bit unused.
48. Which of the following railway zones is INCORRECTLY matched with its headquarters?
A. East Central – Hajipur
B. Central – Mumbai CST
C. North Central – Allahabad
D. East Coast – Gorakhpur
Solutions
The Correct answer is East Coast – Gorakhpur.
Key Points
- The East Coast Railway headquarters is actually located in Bhubaneswar, Odisha, not Gorakhpur.
- Gorakhpur is the headquarters of the North Eastern Railway.
- The East Coast Railway is one of the 18 zones of the Indian Railways, created to serve the eastern coastal regions of India.
- It plays a crucial role in connecting major cities and ports of the eastern and southeastern parts of the country.
- This zone primarily operates in the states of Odisha, Andhra Pradesh, and parts of Chhattisgarh.
Additional Information
This zone is crucial for connecting the northern part of India with the east and south, including some of the most religiously significant cities in the country.
East Central – Hajipur
The East Central Railway zone’s headquarters is correctly located in Hajipur, Bihar.
It is one of the busiest railway zones in India, serving a large part of the state of Bihar along with portions of Uttar Pradesh and Jharkhand.
Central – Mumbai CST
The Central Railway zone’s headquarters is accurately stated as Mumbai CST (Chhatrapati Shivaji Terminus).
This zone is key to the railway network of India, covering a vast region of the state of Maharashtra and parts of North-East Karnataka and Southern Madhya Pradesh.
North Central – Allahabad
The North Central Railway’s headquarters is correctly in Allahabad (Prayagraj), Uttar Pradesh.
49. The thermal conductivities of brick and pine wood are, respectively 0.6 and 0.13 W/(m.°C). What thickness of brick has the same insulating ability at 5 cm of pine?
A. 23 cm
B. 4.6 cm
C. 30 cm
D. 5 cm
Solutions
Concept:
It depends on the nature of the material of the block.
Thermal Conductivity: On Heating the metal, rod, heat flows by conduction from the hot end to the cold end this process is called thermal conductivity.
In this process, each cross-section of the rod receives some heat from the adjacent cross-section towards the hot end.
It is found that the amount of heat Q that flows from hot to cold face during steady-state –
Is directly proportional to the cross-sectional area A,
Is directly proportional to the temperature difference (T 1 – T 2) between the opposite faces,
Is directly proportional to time tfor which the heats flows,
Is inversely proportional to thickness x of the block, and

50. What is the sum of deviations of numbers 2, 3, 4, 5, 7, 9 taken from their arithmetic mean?
A. 1
B. -1
C. 2
D. 0
Solutions
Given:
Deviations of numbers 2, 3, 4, 5, 7, 9
Formula used;
Mean = sum of observations/no of observations
Deviation = x i – mean
Calculation:
x i = 2, 3, 4, 5, 7, 9
Mean(x i) = (2 + 3 + 4 + 5 + 7 + 9)/6
⇒ 30/6
⇒ x = 5
| Varient value x | x(mean) | Deviation di=xi-mean(x) |
| 2 | 5 | 2 – 5 = -3 |
| 3 | 5 | 3 – 5 = -2 |
| 4 | 5 | 4 – 5 = -1 |
| 5 | 5 | 5 – 5 = 0 |
| 7 | 5 | 7- 5 = 2 |
| 9 | 5 | 9 – 5 = 4 |
⇒ – 3 – 2 – 1 + 0 + 2 + 4
⇒ -6 + 6
⇒ 0
∴ The sum of deviations of n numbers 2, 3, 4, 5, 7, 9 is 0.
51. A basket contains 4 white, 5 sky blue and 3 deep green marbles. If 2 marbles are drawn at random from the basket, then what is the probability that both are white?
A. 7/3
B. 1/11
C. 6/1
D. 2/1
Solutions

52. The India-Nepal Treaty of Peace and Friendship came into force in the year ______.
A. 1970
B. 1980
C. 1960
D. 1950
Solutions
The Correct answer is 1950.
Key Points
It has been a cornerstone for the special relationship between India and Nepal, though it has also been a subject of debate and discussion in recent years regarding its relevance and implications.
The India-Nepal Treaty of Peace and Friendship of 1950 is a bilateral treaty between India and Nepal that established a close strategic relationship between the two South Asian neighbours.
This treaty allowed free movement of people and goods between the two nations and a close relationship and collaboration on matters of defense and foreign affairs.
It also facilitated national treatment for the nationals of the other country in terms of residence and participation in economic activities, among other benefits.
The treaty was signed on July 31, 1950, by then Indian ambassador to Nepal, Chandreshwar Prasad Narayan Singh, and Mohan Shamsher Jang Bahadur Rana, the Prime Minister and Foreign Minister of Nepal at the time.
53. The climate of India has broadly been described as ________.
A. monsoon type
B. temperate type
C. extreme type
D. moderate type
Solutions
The correct answer is monsoon type.
Key Points
The monsoon climate is critical for India’s water resources, agriculture, and overall climate patterns.
The climate of India is primarily influenced by the Monsoon winds.
The monsoon type climate is characterized by a distinct wet and dry season.
India receives a majority of its annual rainfall during the monsoon season, which typically lasts from June to September.
The Southwest Monsoon brings most of the rainfall to India, originating from the Indian Ocean.
The retreating monsoon season in late September to November also contributes to rainfall, particularly in the eastern parts of India.
The variation in the monsoon leads to fluctuations in agriculture, affecting the entire economy.
54. Vipin started from point A, walked 7 km to East to reach point B. He then took a left and walked for 2 km to reach C. From there, he took a right turn and walked for 5km to reach D. From D, he walked Northwards 10 km to reach E. Then he took a right turn and walked 3 km to reach F. What is the shortest distance between B&E?
A. 13 km
B. 14 km
C. 15 km
D. 16 km
Solutions
The path followed by Vipin from A to F can be traced as below:

From the diagram, we can form a right angled triangle to find out the shortest distance between B and E as given below:

Now, in the given triangle,
BE 2 = 5 2 + 12 2 = 25+144 = 169
Then BE = 13
Hence, 13 km is the shortest distance between B and E.
55. If the mirror is placed on the line AB, then which of the answer figure is the right image of the given figure?

A. 
B. 
C. 
D. 
Solutions
If a mirror is placed along the line AB, then option 2 is the mirror image of the given figure.

Hence, option (2) is the correct mirror image of the given figure.
56. If A = {x : x is a multiple of 3}, B = {x : x is a multiple of 4} and C = {x : x is a multiple of 12}, then A ∩ (B ∩ C) is equal to
A. A
B. B
C. C
D. {x : x is a multiple of 144}
Solutions
Concept:
If A, B, and C are subsets of a set X. Then
- Commutative property: A ⋃ B = B ⋃ A
- Associative property: (A ⋃ B) ∪ C = A ⋃ (B ⋃ C)
- Distributive property: A ∪ (B ∩ C) = (A ∪ B) ∩ (A ∪ C) or A ⋂ (B ⋃ C) = (A ⋂ B) ⋃ (A ⋂ C)
Calculation:
The given problem is,
A = {x : x is a multiple of 3}
B = {x : x is a multiple of 4}
C = {x : x is a multiple of 12}
If we look closely at the set C, we will observe that C = A ∩ B
This is because L.C.M of (3,4) is 12
Now, let’s come back to the question
A ∩ (B ∩ C) = A ∩ (B ∩ (A ∩ B)) , since C = A ∩ B
= A ∩ (A ∩ B)
= A ∩ B
= C
Hence, A ∩ (B ∩ C) = C
57.

A. 191
B. 157
C. 127
D. 147
Solutions


58. Which of the following is NOT a type of Mail merge document?
A. Envelopes
B. Catalogue
C. Macros
D. Form letters
Solutions
The correct answer is Macros.
Key Points
- Mail merge allows the author to create multiple documents or letters at once thereby saving time and effort.
- It automates sending bulk mail to several recipients . It works with two documents i.e., a data file and a letter template.
- The data file includes the recipient’s details , this file can be a spreadsheet or a database file containing separate fields for each different type of information to be merged with this letter.
- When the mail merge is started, the recipient’s details are fetched from the database file and placed in the empty fields of the Letter template.
Additional Information
Macros are a series of commands that are grouped to execute tasks automatically.
There are four types of mail merge documents namely Form letters, mailing labels, Envelopes and catalogues .
Envelopes provide the name and address of the recipients.
The catalogue reproduces the content of the main document for each record without adding a page or section break.
59. Consider a LAN in which all computers are connected to a central switch. What is the network topology of this LAN?
A. Mesh
B. Star
C. Ring
D. Bus
Solutions
The correct answer is “Star” .
Key Points
- Bus Topology: In the bus topology networking system, all the devices are connected to a single bus or cable . If the cable breaks down, then it will affect all computers.
- Ring Topology: In the ring topology networking system, two neighbouring computers are connected with each other and form a ring . Data pass in a uni-directional way.
- Star Topology: In the star topology networking system, all the devices are connected to a single device called a hub/ central switch . In the star network, all the data/information is passed through the hub/central switch . If one device fails its connection, then it won’t affect the other devices.
- Mesh Topology: In the mesh topology networking system, all the devices and the networking device are all inter-connected .
Thus the correct answer is Star .
60. In semiconductors, ______ depends upon both the electric field and carrier concentration.
A. diffusion current
B. drift current
C. drift velocity
D. both diffusion and drift current
Solutions
Solution: Option 2
- Drift current in the diode is the combined effect of movement of the minority charge carrier and majority charge carriers and also on the electric field applied to the diode.
- Drift current is due to the motion of charge carriers when a force exerted on them by an electric field.
- In the p-n junction diode, electrons are the majority charge carriers in the n-region and holes are the majority charge carriers in the p-region.
- When an electric field is applied to the diode there is more number of covalent bonds break and the concentration of charge carriers also increases in both region (p-type, n-type), and hence they affect the drift current in the diode.
Drift current Idrift = Jdrift × A
Where Jdrift = drift current density
A = area of the semiconductor
Now, Jdrift = σ ⋅ E
σ = conductivity, and is expressed as:
σ = (nqμn + p.qμp)
n = no. of electrons in n region
p = no. of holes in p-region
q = charge on electrons and holes
μp = mobility of holes
μn = mobility of electrons
E = electric field
The drift current will be:
Idr = (nq.μn + p.qμp) ⋅ E A
61. The distance travelled by an object is expressed by s = A + Bt + Ct2 where t is the time. The dimensions of A, B and C respectively are
A. [L], [LT -1], [LT -2]
B. [L], [L] , [LT -2]
C. [L], [L -1], [LT]
D. [T], [LT -2], [LT -2]
Solutions
EXPLANATION:
- Distance is a measure of length and hence it’s dimensional formula is [L].
In the given expression:
⇒ s = A + Bt + Ct 2, the terms A, Bt, and Ct 2 are added, and hence all of them will have the dimensional formula of distance.
In the term Ct 2, t represents time and has the dimensional formula [T 2]. Thus, C[T 2] = [L] ⇒ C = [LT -2 ]
A is independent of any other variables and thus its dimensional formula is [L] .
In the term Bt, t represents time and has the dimensional formula [T]. Thus, B[T] = [L] ⇒ B = [LT -1 ]
62. Which of the following option of the Insert tab of MS PowerPoint 365 contains an ‘Equation’ object?
A. Text
B. Illustrations
C. Add-ins
D. Symbols
Solutions
Explanation:
In MS PowerPoint 365, the ‘Equation’ option is found under:
Insert Tab → Symbols group → Equation
- The Symbols group contains:
- Equation
- Symbol
This allows users to insert mathematical expressions and symbols into their slides.
63. Ten capacitors, each of capacitance 10 μF are first connected in series and then in parallel. The ratio of equivalent capacitance in series to equivalent capacitance in parallel is
A. 1/100
B. 100
C. 1/10
D. 10
Solutions

64. Which type of meters work as integrating instruments?
A. Ammeters
B. Ohmmeters
C. Wattmeters
D. Watt-hour meters
Solutions
Explanation:
- Integrating instruments measure the total quantity of electricity over time.
- A watt-hour meter integrates power (watts) over time to give energy consumed (in watt-hours).
Other Options:
- Ammeters → Measure instantaneous current
- Ohmmeters → Measure resistance
- Wattmeters → Measure instantaneous power
Final Answer: Watt-hour meters
65. The turns ratio of a transformer used in half-wave rectifier is n1 ∶ n2 = 12 ∶ 1. The primary is connected to the power mains of 220 V, 50 Hz. Assuming the diode resistance in forward bias to be zero, calculate the dc voltage across the load
A. 8.24 V
B. 4.12 V
C. 2.8 V
D. 16.48 V
Solutions


66. In the given figure, the diodes are ideal and Vi = 10Sinωt. The minimum and maximum values of the output signals are ______ and ______, respectively.

A. -8 V, 7V
B. -4 V, 5V
C. -10 V, 6V
D. -8 V, 8V
Solutions
Calculation:
Case 1: Positive Half (0 < Vi < 4)
D1 OFF, D2 OFF
Vo = Vs
Case 2: Positive Half ( 4 < Vi < 10)
D1 ON, D2 OFF


The minimum and maximum values of the output signals are -8V and +7V respectively.
67. Study the following information carefully and answer the question based on it.
In the following figure, circle represents maths, rectangle represents science and triangle represents addition.
Which set of letters represents both maths and addition but not science?

A. D
B. A
C. I, F and H
D. F
Solutions
According to the given information;

Here, F represents both maths and addition but not science.
Hence, ‘F’ i s the correct alternative.
68. In question given below consists of two statements numbered I and II. You have to decide whether the data provided in the statements are sufficient to answer the question.
How much was the total sale of Ramesh?
Statements:
I. Ramesh sold 6000 units of product Z each costing Rs. 40.
II. Ramesh sold no other product.
A. I alone is sufficient while II alone is not sufficient
B. II alone is sufficient while I alone is not sufficient
C. Either I or II is sufficient
D. Both I and II are necessary
Solutions
I. Ramesh sold 6000 units of product Z each costing Rs. 40.
Total sales of product Z = 6000 × 40 = 2400000
But we can’t say anything about the total sales because there can be other products also.
II. Ramesh sold no other product.
From the above statement, we know that there is no other product sold by Ramesh.
So, the total sales of product Z are the total sales of Ramesh.
So, both I and II are necessary.
69. Which of the following binary numbers could be referred to as a nibble?
A. 11010
B. 1001
C. 100
D. 10
Solutions
Explanation:
A nibble is defined as a group of 4 binary digits (bits).
Let’s check each option:
- 11010 → 5 bits
- 1001 → 4 bits (This is a nibble)
- 100 → 3 bits
- 10 → 2 bits
Final Answer: 1001
70. Consider the following statements and select the correct answer from the codes given below:
Assertion (A): Reciprocal of resistivity is called specific conductance.
Reason (R): Reciprocal of resistance is called the thermal conductivity.
A. Both A and R are true, and R is the correct explanation of A.
B. Both A and R are true and R is not the correct explanation of A.
C. A is true but R is false
D. A is false but R is true
Solutions
Explanation:
Assertion (A): “Reciprocal of resistivity is called specific conductance.”
- True
- The reciprocal of resistivity (ρ) is called conductivity (σ) or specific conductance:

Reason (R): “Reciprocal of resistance is called the thermal conductivity.”
- False
- Reciprocal of resistance (R) is called electrical conductance, not thermal conductivity.
- Thermal conductivity is a completely different physical property related to heat transfer, not electricity.
Final Answer: A is true but R is false
71. In each of the questions below are given two statements followed by four conclusions. You have to take the given statements to be true even if they seem to be at variance with commonly known facts. Read all the conclusions and then decide which of the given conclusions logically follow from the given statements disregarding commonly known facts.
Statements:
Some workers are hardworking.
No talented is worker.
Conclusions:
I. Some talented are hardworking.
II. Some talented are workers.
III. No worker is hardworking.
IV. No talented is hardworking.
A. Either II or III follows
B. Only II follows
C. Either I or IV follows
D. None follows
Solutions
Given Statements:
- Some workers are hardworking.
→ This means there is at least some overlap between workers and hardworking. - No talented is worker.
→ There is no overlap between talented and workers.
Evaluate Each Conclusion:
Conclusion I: Some talented are hardworking.
- Not definite from given statements.
- There’s no link established between talented and hardworking.
- Doesn’t follow
Conclusion II: Some talented are workers.
- This directly contradicts the second statement: No talented is worker.
- Doesn’t follow
Conclusion III: No worker is hardworking.
- This contradicts the first statement: Some workers are hardworking.
- Doesn’t follow
Conclusion IV: No talented is hardworking.
- From the second statement: No talented is worker and some workers are hardworking, we cannot conclude whether any talented is hardworking.
- But it contradicts only if any overlap between talented and hardworking is proved, which is not the case here.
- So not definitely true, but logically complementary to conclusion I.
Logical Relationship:
- Conclusion I and IV form a complementary pair:
- Either some talented are hardworking or no talented is hardworking must be true, but both cannot be true simultaneously.
- Hence, “Either I or IV” logically follows.
Final Answer: Either I or IV follows
72. In the following question, select the odd letter pair from the given alternatives.
A. KJ – ON
B. PO – TS
C. UT – YX
D. ML – QO
Solutions
According to the English alphabet series and its positional value:

The logic follows here is:

Thus, “ML – QO” is the odd letter pair.
73. A thin disc and a thin ring, both have mass M and radius R. Both rotate about axes through their centre of mass and are perpendicular to their surfaces at the same angular velocity. Which of the following is true?
A. The ring has higher kinetic energy
B. The disc has higher kinetic energy
C. The ring and the disc have the same kinetic energy
D. Kinetic energies of both the bodies are zero since they are not in linear motion
Solutions


74. How many number are the between 1000 to 10000 which are divisible by 7 but not 11?
A. 1069
B. 969
C. 1169
D. 1269
Solutions
Given:
Number are the between 1000 to 10000 which are divisible by 7 but not 11.
Calculation:
1000 divided by 7 gives us about 142.85, so the next whole number divisible by 7 would be 143 ×7 = 1001.
10000 divided by 7 gives us about 1428.57,
so the previous whole number divisible by 7 would be 1428 ×7 = 10000.
So the numbers we’re concerned with are the ones multiplied by 7 from 143 to 1428, inclusive.
There are 1428 – 143 + 1 = 1286 numbers in this range.
The range of numbers divisible by 11 and 7 within our limits (1000 – 10000) would be those which can be achieved by multiplying 7 and 11 and some other integer.
Let’s find the closest number divisible by 77 (since 711 = 77) after 1000. 1000 divided by 77 gives us about 12.98, so the next whole number divisible by 77 would be 1377 = 1001.
10000 divided by 77 gives us about 129.87, so the previous whole number divisible by 77 would be 129 × 77 = 9943.
There are 129 – 13 + 1 = 117
So the total number of elements that are divisible by 7 and not by 11 in the range is 1286 – 117 = 1169.
The correct answer is option 3 i.e. 1169.
75. Assume that each atom of copper contributes one free electron. If the current flowing through a copper wire of 1 mm diameter is 1.1 A, the drift velocity of electrons will be (density of Cu = 9 gm/cm3, At. wt. of Cu = 63)
A. 0.3 mm/s
B. 0.5 mm/s
C. 0.1 mm/s
D. 0.2 mm/s
Solutions


76. Match List I with List II
| List – I | List – II | ||
| A. | Select all | I. | Ctrl + B |
| B. | Print screen | II. | Ctrl + A |
| C. | Bold | III. | Ctrl + N |
| D. | Open new blank document | IV. | PrtScrn |
Choose the most appropriate answer from the options given below:
A. A – I, B – III, C – IV, D – II
B. A – IV, B – I, C – III, D – II
C. A – II, B – IV, C – I, D – III
D. A – III, B – II, C – IV, D – I
Solutions
The correct answer is ‘A – II, B – IV, C – I, D – III’ .
List I contains tasks to be performed and List II contains keyboard shortcuts to perform the tasks. The correct match will be as follows:
Key Points
| Task | Keyboard Shortcut |
| Select all | Ctrl + A |
| Print screen | PrtScrn |
| Bold | Ctrl + B |
| Open new blank document | Ctrl + N |
77. A conducting sphere is charged. If the electric field at a distance 20 cm from the centre of the sphere is 1.2 × 103 NC-1 and points radially inwards, the net charge on the sphere is:
A. 4.5 × 109C
B. -4.5 × 10-9C
C. 1.7 × 109C
D. -5.3 ×10-9 C
Solutions


78. 1A 6 volt battery is connected to the terminals of a 3 m long wire of uniform thickness and resistance of 100Ω. The difference of potential between two points on the wire separated by a distance of 50 cm will be
A. 1.5 volt
B. 3 volt
C. 3.5 volt
D. 1.0 volt
Solutions
Calculation:
Given
The resistance of wire R = 100Ω.
Potential difference V = 6 V
Current

Potential difference across 50cm = (Current across 50 cm resistor) × (Resistance of 50 cm resistor)

79. To which state of India does the classical dance Kathakali belong?
A. Kerala
B. Tamil Nadu
C. Karnataka
D. Andhra Pradesh
Solutions
Correct Answer: Kerala
Explanation:
- Kathakali is known for its elaborate costumes, face makeup, and expressive gestures.
- It is a dance-drama that combines storytelling, music, and acting, often based on epics like the Ramayana and Mahabharata.
- Performers undergo rigorous training, including facial muscle control and eye movements.
This dance form is a vibrant part of Kerala’s cultural heritage.
80. In MS Word, If you press PgUp Key from the keyboard. It _______.
A. Moves the cursor one line up
B. Moves the cursor one screen up
C. Moves the cursor one page up
D. Moves the cursor one paragraph up
Solutions
Moves the cursor one screen up
Explanation:
- The PgUp key scrolls the document up by one screenful (i.e., the amount of content visible in the window).
- It does not necessarily move up by a full printed page or paragraph.
- This helps in quickly navigating through long documents without using the mouse or scroll bar.
Correct Answer: Moves the cursor one screen up
81. In varactor diodes, the junction capacitance is controlled by ______ supply in _________ mode.
A. external, forward biased
B. external, reverse biased
C. internal, forward biased
D. internal, reverse biased
Solutions
external, reverse biased supply.
Explanation:
- A varactor diode (also known as varicap diode) operates in the reverse-biased mode.
- In reverse bias, no current flows, but the depletion layer width changes with applied voltage.
- This change affects the junction capacitance, which is used in tuning circuits (like RF filters or oscillators).
- The applied external reverse voltage controls this capacitance.
Correct Answer: external, reverse biased
82. If -(2/3) is a root of the equation kx2 – 13x – 10 = 0, the the value of k is:
A. 4
B. 2
C. 1
D. 3
Solutions
Option 4
Given:
kx2 – 13x – 10 = 0
and one root of this equation is −2/3.


83. A solid of density 2500 kg/m3 is found to weigh 0.45 kgf in air. If 3/4 volume of solid is completely immersed in brine solution of density 1150 kg/m3. Find the apparent weight of solid in brine. (g = 10m/s2)
A. 0.19475 kgf.
B. 0.29475 kgf.
C. 0.39475 kgf.
D. 0.49475 kgf.
Solutions



84. Which one set of letters when sequentially placed at the gaps in the given letter series shall complete it?
RSTU__RS__UY__STUXR__TUW
A. TRZS
B. ZTRS
C. ZTSR
D. RZTS
Solutions
Given series: RSTU__RS__UY__STUXR__TUW
Checking options one by one:
1) RSTU T / RS RUY / ZSTUX / R STUW → doesn’t follow any pattern
2) RSTU Z / RS TUY / RSTUX / R STUW → follows a pattern
3) RSTU Z / RS TUY / SSTUX / R RTUW → doesn’t follow any pattern
4) RSTU R / RS ZUY / TSTUX / R STUW → doesn’t follow any pattern
Hence, the correct term is ZTRS.
85. The internal energy change for a system is + 20 Cal and the work done is – 200 Cal. Find the heat exchanged between the system and the surrounding.
A. 220 Cal
B. 220 Cal
C. 180 Cal
D. + 180 Cal
Solutions

Correct answer: 180 Cal (released)
86. A p-n junction diode acts as a ____________ when operates in a reverse biased region.
A. Zener diode
B. On switch
C. Off switch
D. Capacitor
Solutions
Correct Answer: Off switch
Explanation:
- Forward Bias: Diode conducts → behaves like an ON switch.
- Reverse Bias: Diode does not conduct → behaves like an OFF switch.
- Zener Diode: Special type of p-n junction that conducts in reverse after a certain breakdown voltage.
- Capacitor: Not a correct analogy here. Though junction has capacitance, it’s not the primary function.
So, the p-n junction diode in reverse bias = OFF switch.
87. How many terms of the AP 4, 11, 18, ________ will make the sum 795?
A. 13
B. 15
C. 16
D. 14
Solutions

88. If the gravitational force between two objects were proportional to 1/R (and not as 1/R 2), where R is separation between them, then a particle in circular orbit under such a force would have its orbital speed v proportional to:
A. 1/R2
B. R0
C. R1
D. 1/R
Solutions

89. If 2 and -3 are the roots of a quadratic equation, then the equation is:
A. x2 + x + 6 = 0
B. x2 – x – 6 = 0
C. x2 – x + 6 = 0
D. x2 + x – 6 = 0
Solutions
Formula used:
Consider a quadratic equation whose roots are α and β.
ax2 + bx + c = 0
Sum of roots:
α + β = -b/a
Product of roots:
α β = c/a
A quadratic equation can be written in terms of roots as
x2 – (sum of roots) x + (product of roots) = 0
Calculation:
α + β = 2 – 3 = -1
αβ = -6
x2 – (sum of roots) x + (product of roots) = 0
x2 – (-1) x + (-6) = 0
x2 + x – 6 = 0
The answer is x2 + x – 6 = 0
90. Tropical Sawanah climate region is related to which of the following states?
A. Rajasthan
B. Himachal Pradesh
C. Punjab
D. Maharashtra
Solutions
Maharashtra
Explanation:
Rajasthan has a desert (arid) climate, Himachal Pradesh has a mountain (temperate) climate, and Punjab has a subtropical climate.
The Tropical Savanna climate (also known as Aw climate in Köppen classification) is characterized by distinct wet and dry seasons.
It is typical of central and parts of southern India, including Maharashtra, parts of Madhya Pradesh, Chhattisgarh, and Karnataka.
91. Which of the following is a correct format of Email address?
A. name@website@info
B. name@website.com
C. www.nameofebsite.com
D. name.website.com
Solutions
The correct format of an Email address is:
Explanation:
An email address typically follows the format:
For example: john.doe@gmail.com
gmail.com → domain name (website)
john.doe → username
92. In ΔABC, ∠A = 5x – 60°, ∠B = 2x + 40°, ∠C = 3x – 80°. Find m∠A.
A. 75°
B. 90°
C. 80°
D. 60°
Solutions

93. Match List I with List II
| List – I | List – II | ||
| A. | Twisted pair cable | I. | Unguided Media |
| B. | HTTP | II. | Switching technique |
| C. | Satellite communication | III. | Guided Media |
| D. | Circuit | IV. | Protocol |
Choose the most appropriate answer from the options given below:
A. A – III, B – IV, C – II, D – I
B. A – I, B – II, C – III, D – IV
C. A – I, B – IV, C – III, D – II
D. A – III, B – IV, C – I, D – II
Solutions
The correct answer is ‘A – III, B – IV, C – I, D – II’.
Key Points
Circuit switching in a network operates in a similar way as the telephone works.
Twisted pair cable
Guided media is defined as the physical medium through which the signals are transmitted.
Twisted pair is a guided media made up of a pair of cables twisted with each other.
A twisted pair cable is cheap as compared to other transmission media.
HTTP
HTTP stands for HyperText Transfer Protocol.
It is aprotocolused to access the data on theWorld Wide Web.
The HTTP protocol can be used to transfer the data in the form of plain text, hypertext, audio, video, and so on.
Satellite communication
An unguided transmission transmits the electromagnetic waves without using any physical medium.
Satellite communication is an unguided media used in mobile and wireless communication applications.
Circuit
Circuit switching is a switching technique that establishes a dedicated path between sender and receiver.
In the Circuit Switching Technique, once the connection is established then the dedicated path will remain to exist until the connection is terminated.
94. __________ flag is used for signed arithmetic operations.
A. Sign
B. Zero
C. Auxiliary carry
D. Parity
Solutions
Explanation:
In microprocessors and assembly-level programming, flags are special indicators that reflect the outcome of arithmetic or logical operations.
The Sign Flag (S):
- It is used in signed arithmetic operations.
- After an arithmetic operation, if the most significant bit (MSB) of the result is
1, it indicates the result is negative, so the Sign flag is set (S = 1). - If MSB is
0, it means the result is positive, so the Sign flag is cleared (S = 0).

95. In 8085, multiplexed address bus and data bus are separated via ______ signal
A. IO/MR
B. DMA
C. ALE
D. INTR
Solutions
Explanation:
In the 8085 microprocessor, the lower-order address bus (A0–A7) is multiplexed with the data bus (D0–D7) to save pins.
To separate the address from the data, the microprocessor uses the:
ALE (Address Latch Enable) Signal
- ALE is a control signal that goes high during the first part of the machine cycle.
- When ALE = 1, it indicates that the data bus (AD0–AD7) is carrying address information.
- This address is latched using external hardware (like the 74LS373 latch) and held for the rest of the operation.
Other Options:
- IO/MR: Differentiates between I/O and memory operations.
- DMA (Direct Memory Access): Used for high-speed data transfer bypassing the CPU.
- INTR (Interrupt Request): A general interrupt request signal.
Thus, the correct signal for separating multiplexed address and data bus is ALE.
96. Which assumptions are implied from the below statement?
Statement: Rakesh booked train tickets one month in advance.
Assumptions:
I: Railway tickets can be booked one month in advance.
II: Rakesh prefers train journey over the plane journey.
A. Only I is implicit.
B. Only II is implicit.
C. Both I and II are implicit.
D. Neither I nor II is implicit.
Solutions
The above statement states us the fact that Rakesh had booked his train tickets one month in advance.
From the information above we can assume that railways allow the passengers to book tickets one month in advance from their date of journey.
So, Assumption I is implicit.
On the other hand, we cannot assume that Rakesh prefers the train journey over the plane journey.
No information is provided about the preferences of Rakesh.
So, Assumption II is not implicit.
Hence , Only Assumption I is implicit.
97. The following table gives the number of different types of batteries sold by a company over the years (numbers in hundreds).
| Type of battery → | 7 AH | 32 AH | 35 AH | 55 AH |
| Year ↓ | ||||
| 2018 | 20 | 30 | 40 | 50 |
| 2019 | 40 | 35 | 45 | 45 |
| 2020 | 50 | 40 | 40 | 40 |
| 2021 | 40 | 50 | 50 | 45 |
| 2022 | 45 | 45 | 35 | 55 |
What is the difference in the number of 7AH batteries sold in 2021 and 2022?
A. 200
B. 700
C. 300
D. 500
Solutions
Calculation:
The number of 7 AH batteries sold in 2021 is 40 (in hundreds).
The number of 7 AH batteries sold in 2022 is 45 (in hundreds).
Difference = 45 – 40 = 5 (in hundreds).
Therefore, the difference in the number of 7 AH batteries sold between 2021 and 2022 is 500.
98. Let, A = {(n, 2n): n ϵ N} and B = {(2n, 3n): n ϵ N}. What is (A ∩ B) equal to?
A. {(2n, 3n): n ϵ N}
B. {(n, 2n): n ϵ N}
C. {(2n, 5n): n ϵ N}
D. ϕ
Solutions
Calculation:
A = {(n, 2n): n ϵ N} when N is 1, 2, 3, ……….
= {(1, 2), (2, 4), (3, 6), ………}
B = {(2n, 3n): n ϵ N} when N is 1, 2, 3, ……….
= {(2, 3), (4, 6), (6, 9), ………}
There is no member common to both the sets
A ∩ B = ϕ
∴ A ∩ B has no set common.
99. Who was appointed as subadar of Awadh in 1722, who founded a state which was one of the most important to emerge out of the break-up of the Mughal Empire?
A. Alivardi Khan
B. Burhan-ul-Mulk Saadat Khan
C. Murshid Quli Khan
D. Nizam-ul-Mulk Asaf Jah
Solutions
Explanation:
- Burhan-ul-Mulk Saadat Khan was appointed Subadar of Awadh (Oudh) in 1722 by the Mughal Emperor.
- He laid the foundation of the state of Awadh, which later became one of the most significant successor states after the decline of the Mughal Empire.
- Awadh evolved into a semi-independent kingdom with its own strong military and administration.
Other Options:
- Alivardi Khan – Nawab of Bengal (not Awadh).
- Murshid Quli Khan – First Nawab of Bengal.
- Nizam-ul-Mulk Asaf Jah – Founded the state of Hyderabad, not Awadh.
Thus, the correct answer is: Burhan-ul-Mulk Saadat Khan.
100. In what form is the energy derived from the food that we eat is stored in our body?
A. Maltose
B. Glucose
C. Glycogen
D. Starch
Solutions
Explanation:
The energy derived from the food we eat is stored in our body in the form of glycogen.
- Glycogen is a polysaccharide that acts as the main storage form of glucose in humans and animals.
- It is primarily stored in the liver and muscles, and it can be broken down into glucose when the body needs energy.
Other Options:
- Glucose – It is the immediate form of sugar in the blood but not stored.
- Starch – This is how plants store energy, not animals.
- Maltose – A disaccharide sugar formed during digestion but not stored.
Therefore, the correct answer is: Glycogen
