1.India’s 2nd five year plan was based on the?
A. Harrod–Domar model.
B. Mahalanobis Model.
C. John Sandy and Sukhamoy Chakraborty’s model.
D. None of these.
Solutions
India’s 2nd five year plan was based on the P.C. Mahalanobis Model.
P.C. Mahalanobis an economic development model developed by the Indian statistician Prasanta Chandra Mahalanobis in 1953.
India’s 2nd five year plan covered the period from 1st April 1956 to 31st March 1961.
The Second Five year Plan stressed rapid industrialisation and the public sector.
2. Who among the following personalities has written the National Song ‘Vande Mataram’?
A. Sarojini Naidu
B. Bankim Chandra Chattopadhyay
C. Rabindra Nath Tagore
D. Sri Aurobindo
Solutions
Indian poet Bankim Chandra Chattopadhyay was the composer of Vande Mataram.
Vande Mataram has been written in highly Sanskritized Bengali, personifying Bengal as a mother goddess and inspiring activists during the Indian Independence Movement.
He was also the author of the 1882 Bengali language novel ‘Anandamath’, which is one of the landmarks of modern Bengali and Indian literature.
On 24 January 1950, the Constituent Assembly of India adopted “Vande Mataram” as a national song.
3. Which one of the following substances is normally found in urine?
A. Blood proteins
B. Creatinine
C. Red blood cells
D. White blood cells
Solutions
Creatinine is normally found in urine. High levels of creatinine in the bloodstream and urine can be an indicator of kidney disease.
Creatinine is a waste product that is produced by the muscles from the breakdown of creatine, a compound used for energy storage in muscle cells.
Creatinine is filtered out of the blood by the kidneys and excreted in the urine.
The amount of creatinine in the urine can be used to estimate the glomerular filtration rate (GFR), which is a measure of how well the kidneys are functioning.
4. Which acid is present in citrus fruits such as lemons and oranges?
A. Citric acid
B. Lactic acid
C. Acetic acid
D. Hydrochloric acid
Solutions
Citric acid is a weak organic acid that is naturally present in citrus fruits, including lemons and oranges. Lactic acid is present in dairy products, acetic acid is present in vinegar, and hydrochloric acid is a strong mineral acid that is not typically found in food.
Citric acid is an organic compound with the chemical formula HOC(CH₂CO₂H)₂.
5. Which base is commonly used in soap making?
A. Sodium hydroxide
B. Ammonium hydroxide
C. Calcium hydroxide
D. Magnesium hydroxide
Solutions
Sodium hydroxide sometimes called caustic soda or lye, is a strong base that is commonly used in soap-making to react with fats and oils to form soap. Ammonium hydroxide used in household cleaners, photography, and fertilizers. Calcium hydroxide and magnesium hydroxide are bases that are used for other purposes, such as in agriculture or medicine.
6. Which of the following Vedic texts mentioned the eastern and western seas for the first time?
A. Tandya Brahmana
B. Satapatha Brahmana
C. Gopath Brahmana
D. Kaustiki Brahmana
Solutions
The mention of the eastern and western seas for the first time in Vedic literature can be found in the Satapatha Brahmana.
This Brahmana is associated with the Yajurveda and contains detailed explanations and rituals. It provides some of the earliest geographical references in Vedic texts.
7. Who tried the organize revolt by Indian Sepoys and Revolutionaries around 1913?
A. Bagha Jatin
B. Aurobindo Ghosh
C. Ras Behari Bose
D. Sachindra Nath Sanyal
Solutions
Ras Behari Bose was one of the key figures who attempted to organize a revolt by Indian sepoys (soldiers) and revolutionaries around 1913.
He was actively involved in revolutionary activities against British colonial rule in India and played a significant role in organizing and planning revolts.
8. Where and when was the Ghadar Party founded?
A. United States of America, 1913
B. England, 1917
C. Denmark, 1921
D. Scotland, 1925
Solutions
In 1913, the Pacific Coast Hindustan Association was founded by Lala Hardayal, with Sohan Singh Bhakna as its president. This organization later came to be known as the Ghadar Party.
The Ghadar Party played a significant role in promoting revolutionary activities against British colonial rule in India.
9. Who among the following leaders dominated the Lucknow Pact in December, 1916?
A. Jawahar Lal Nehru
B. Bal Gangadhar Tilak
C. Moti Lal Nehru
D. Madan Mohan Malviya
Solutions
The Lucknow Pact of 1916 was an agreement between the Indian National Congress and the Muslim League, reached during a joint session of both parties held in Lucknow in December 1916.
Lucknow Pact, (December 1916), agreement made by the Indian National Congress headed by Bal Gangadhar Tilak and the All-India Muslim League led by Muhammad Ali Jinnah.
During the 1916 Lucknow session, the president of the Indian National Congress was Ambica Charan Mazumdar.
10. Which of the following governor generals used to call himself as Bengal Tiger?
A. Lord Canning
B. Warren Hastings
C. Lord Cornwallis
D. Lord Wellesley
Solutions
Lord Wellesley remained Governor General of Fort Williams from 1798 to 1805. He described himself as Bengal Tiger.
During the tenure of Lord Wellesley (1798-1803), several significant developments and events took place:
He implemented the Subsidiary Alliance system, which was a major policy to establish British influence over Indian princely states.
The Madras Presidency was officially formed during his administration, reorganizing British governance in South India.
Lord Wellesley was responsible for leading the Fourth Anglo-Mysore War in 1799, which resulted in the death of Tipu Sultan, the ruler of Mysore.
He initiated the first subsidiary treaty with the Nizam of Hyderabad, strengthening British control in that region.
Lord Wellesley established Fort William College in Calcutta in 1800, which played a significant role in training and educating civil servants for the British East India Company.
11. Question: ‘A + B’ means ‘A is the husband of B’.
‘A % B’ means ‘A is the father of B’.
‘A $ B’ means ‘A is the mother of B’.
If ‘P + Q $ R % S $ T + U’, then which of the following statements is INCORRECT?
A. NQ is the maternal grandmother of S.
B. S is the mother-in-Iaw of U.
C. R is the son of P.
D. R is the maternal grandfather of T.
Solutions

12. Select the option that is related to the fourth number in the same ways as the first number is related to the second number and the fifth number is related to the sixth number.
47 : 129 :: ? : 89 :: 39 : 152
A. 28
B. 59
C. 66
D. 63
Solutions

13. Select the number from among the given options that can replace the question mark(?) in the following series.
17, 58, 181, 550, ?
A. 1672
B. 1657
C. 1426
D. 1473
Solutions

14. Select the correct option that indicates the arrangement of the given words in the order in which they appear in an English dictionary.
1. Telephone
2. Telegram
3. Telangana
4. Telegraph
5. Telescopes
A. 3, 1, 2,5,4
B. 2, 3, 1, 5, 4
C. 3, 2, 4,1,5
D. 3, 2, 1, 4,5
Solutions
Correct Order: 3,2,4,1,5
Telangana, Telegram, Telegraph, Telephone, Telescopes
15. In a certain code language, ‘Abhishek’ is coded as ‘189’ and ‘Pawan’ is coded as ‘165’. How will ‘Mayank’ be coded in that language.
A. 196
B. 195
C. 175
D. 183
Solutions
The pattern is
Abhishek = (1+2+8+9+19+8+5+11) ×3 =189
Pawan = (16+ 1+ 23+ 1+ 14) × 3 = 165
Similarly, Mayank= (13+1+25+1+14+11) ×2=195
16. Select the number-pair in which the two number are related in the same way as are the two numbers of the following.
9: 810
A. 5: 150
B. 7: 350
C. 21: 444
D. 3: 35
Solutions
9:9³ + 9² = 729 + 81 = 810
5:5³+5² = 125 + 25= 150
17. Which two signs should be interchanged in the following equation to make equation correct?
105 × 5 ÷ 3 – 29 + 75= 109
A. ÷ and ×
B. – and ÷
C. + and ×
D. + and –
Solutions
105 × 5 ÷ 3 – 29 + 75 = 109
Change ÷ & ‘×’
⟹ 105 ÷ 5 × 3 – 29 + 75 = 109
⟹ 21 × 3 – 29 + 75 = 109
⟹ 63 – 29 + 75 = 109
⟹ 138 – 29 = 109
⟹ 109 = 109
18. If a mirror is placed on the line MN, then which of the answer figures is the right image of the given figure?

A. 
B. 
C. 
D. 
Solutions
Option d is correct.
19. Find the number of triangles in the given figure.

A. 38
B. 35
C. 32
D. 31
Solutions
Option d is correct.
20. A piece of paper is folded and punched as shown below in the question figures. From the given answer figures, indicate how it will appear when opened.

A. 
B. 
C. 
D. 
Solutions
Option A is correct.
21. Select the set in which the number are related in the same way as are the number of the following set.
(12,144 ,1728)
A. (13, 169, 2177)
B. (11, 121, 1331)
C. (17, 289, 4813)
D. (21, 421, 9261)
Solutions

22. Select the combination of letters when they are arranged in the gaps of the given letter will complete the given series.
h_ l l_ _ e l _ o _ _ _ l _
A. eohlheol
B. eolhlheo
C. jolhlheo
D. eohlhelo
Solutions

23. Pointing to a woman, a child said, “she is the mother of my father’s sister”. How is the woman related to this child?
A. Son
B. Grandmother
C. Daughter
D. None of these
Solutions

24. How many points will be on the face opposite to the face which contains 5 points?

A. 5
B. 4
C. 6
D. 1
Solutions

25. Which number will replace the question mark(?)
5, 10, 13, 52, 57, ?
A. 63
B. 341
C. 342
D. 340
Solutions

26. Which of the following is NOT an open source software?
A. Adobe Photoshop
B. Firefox
C. Word Press
D. Libre Office
Solutions
Adobe Photoshop is proprietary software developed by Adobe Inc., whereas Firefox, WordPress, and LibreOffice are open source.
27. Which of the following is an application software?
A. Windows NT
B. Ubantu
C. AutoCAD
D. Android
Solutions
AutoCAD is application software used for computer-aided design and drafting, while the others are operating systems.
28. Which protocol is used for file transfer?
A. FTP
B. HTTP
C. POP3
D. HTTPS
Solutions
FTP (File Transfer Protocol) is specifically used for transferring files over the internet.
29. Verdana is a type of :
A. Font Style
B. Font Size
C. Font Alignment
D. Font Art
Solutions
Verdana is a typeface, making it a style of font.
30. The instructions or data fetched from the memory, is stored in the ________________ to decode and execute.
A. MAR
B. MDR
C. PC
D. ROM
Solutions
The Memory Data Register (MDR) stores data fetched from memory before it is processed.
31. _______________ converts the analogue voice signals into digital and then transmitting them over the broadband line.
A. Video conferencing
B. VOIP
C. Chatting
D. Website
Solutions
VOIP (Voice Over Internet Protocol) converts analog voice signals to digital for transmission over the internet.
32. Consider the excel formula for the excel sheet

What will be the output in column no.5?
A. F/F/F
B. T/T/F
C. F/T/T
D. T/T/T
Solutions
The Excel formulas in column E compare values in columns A and C. The results are False (F) for row 1, and True (T) for rows 2 and 3. Hence, the correct answer is F/T/T.
33. All the different components which make up the processor have to be condensed to fit in the smart phone. It is known as _______________ .
A. Touch on a chip
B. Memory on a chip
C. Processor on a chip
D. System on a chip
Solutions
System on a Chip (SoC) integrates all components of a computer or other electronic system into a single chip.
34. ________________ is an example of impact printers.
A. Laser printer
B. Inkjet printer
C. Deskjet printer
D. Dot matrix printer
Solutions
Dot matrix printers are impact printers, while the others are non-impact printers.
35. A child has to cross road and reach the school opposite to his house. The child looks on right and left before crossing the road. On observing that no vehicle is coming, he crosses the road and reaches school. What action of algorithm is represented by the child in the above situation?
A. Input
B. Output
C. Selection
D. Repetition
Solutions
The child’s decision-making process represents a selection operation in algorithm terms.
36. Class 9th student, Mahi visits the bank for the first time along with her father. She observes that father is issued with a small book which her father tells that it is a cheque book. She opens it and finds some preprinted information on it. Some of the information printed is same on all the pages but one number is printed in a serial order. She tries to change it. But she is unable to do it. Why she is not able to change it? Identify the specialized feature of the cheque.
A. OMR Code
B. BAR Code
C. QR Code
D. MICR Code
Solutions
MICR (Magnetic Ink Character Recognition) Code is used for the secure processing of cheques.
37. How many layers are there in OSI Model?
A. 3
B. 7
C. 4
D. 6
Solutions
The OSI Model has 7 layers, from physical up to the application layer.
38. LCD panels or flat panel display uses the property of ________________.
A. Fiter
B. Thickness
C. Light
D. Size
Solutions
LCD panels use the property of liquid crystals to modulate light.
39. ________________ is a complete software of a third party that is installed on the host computer and can be used by the browser for multiple functionalities.
A. Firewall
B. Add on
C. Plug-in
D. Extension
Solutions
A plug-in is a software component that adds a specific feature to an existing computer program.
40. ‘Organising the data in a software so that the information is relative to multiple files using a search method.’ Which are the most important features of the software that enable to filter the data. Identify the best option for it.
A. Access, Query
B. Word, Find
C. PowerPoint, Selection
D. Access, Find
Solutions
Access and Query are features used in databases to organize and filter data effectively.
41. Binary file contains machine readable characters in _________ and __________ format.
A. 1,0
B. Alphabets and Numbers
C. Special characters and Numbers
D. Alphabets and Special characters
Solutions
Binary files consist of data in binary format, represented by 1s and 0s.
42. Every NIC Card attached to the node of a network has a unique MAC address. This MAC address is of_______________ bit address.
A. 48
B. 96
C. 128
D. 256
Solutions
A MAC address is a unique identifier assigned to network interfaces, consisting of 48 bits.
43. When a user initiates multiple process to the computer then the computer follows FIFO method. The expansion of FIFO is
A. Formula In Formula Out
B. First In First Out
C. Figure In Figure Out
D. Flash In Flash Out
Solutions
FIFO (First In First Out) is a method where the first process started is the first to be completed.
44. Pen Drive is one of the most popularly used device and can be used in _____________ port.
A. SSD
B. USB
C. UBS
D. SD
Solutions
Pen Drives are used in USB (Universal Serial Bus) ports.
45. Virtual memory is a memory management technique where –
A. Main memory can be used as secondary memory
B. Only secondary memory is used
C. Secondary memory can be used as main memory
D. Data transfer is restricted between main memory and secondary memory
Solutions
Virtual memory allows a computer to use secondary storage as if it were the main memory.
46. What is the smallest number that must be added to 1780 to make it a perfect square ?
A. 39
B. 49
C. 59
D. 69
Solutions

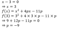
47.

A. – 9
B. – 3
C. – 1
D. 1
Solutions

48. The least number of four digits which is a perfect square is :
A. 1204
B. 1024
C. 1402
D. 1420
Solutions

49. Consider the following statements :
1. Every integer is a rational number.
2. Every rational number is a real number.
Which of the above statements is/are correct?
A. 1 only
B. 2 only
C. Both 1 and 2
D. Neither 1 nor 2
Solutions

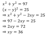
50. The sum of the squares of two numbers is 97 and the square of their difference is 25. The product of the two numbers is :
A. 45
B. 36
C. 54
D. 63
Solutions

51.

A. 48.33
B. 30
C. 45.50
D. 54
Solutions

52. In ∆ABC, AB=9cm, BC=12cm and AC=15cm. What is the value of sinA+cosC+tanC?
A. 131/60
B. 61/60
C. 11/60
D. 141/60
Solutions

53. In a triangle PQR, Point S lies on PQ and point T and U lie on QR such that SU is parallel to PR and ST is parallel to PU. If QT = 4cm, UR = 3cm, then find the length (in cm) of TU.
A. 3cm
B. 2cm
C. 5cm
D. 7cm
Solutions

54. Rajesh and Radhika can do a work in 20 days and 25 days respectively. They started doing the work together but after 6 days Radhika had to leave. Then Rajesh working with a new partner Ritika and both completed the remaining work in 4 days. If Ritika works alone then in how many days, she can do 50% of the same work?
A. 5 days
B. 6.65days
C. 7.69 days
D. 9 days
Solutions
Let the total work = LCM of (20 and 25) = 100 units
Rajesh efficiency = 5 unit/day
Radhika efficiency = 4 units/day
Rajesh and Radhika work together 6 days, then completed work = 9 × 6 = 54 units.

55. If one of the angles of the triangle is 780, then the angle between the bisector of the other two interior angle is:
A. 1300
B. 1450
C. 1200
D. 1290
Solutions

56.

A. 526
B. 253
C. 322
D. 309
Solutions

57. If A = {x : x is a multiple of 4} and B = {x : x is a multiple of 6}, Then, A ∩ B consist of all multiples of:
A. 6
B. 20
C. 12
D. 4
Solutions
A = {4, 8, 12, 16, 20, 24,…..}
B = {6, 12, 18, 24, 30,……..}
So, A ∩ B = {12, 24, 36,….}
= {x : x is a multiple of 12}
Note : L.C.M of 4 and 6 is 12.
58. A wheel makes 180 revolutions in one minute. How many radians does it turn in 1 second?
A. π
B. 2 π
C. 6 π
D. 360°
Solutions

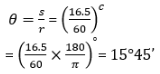
59. The length of the pendulum is 60 cm. the angle through which it swings when its tip describes an arc of length 16.5 cm, is:
A. 15°15’
B. 15°45’
C. 30°15’
D. none of these
Solutions

60.

A. 2π
B. 3 π
C. π
D. 5 π
Solutions

61.

A. 25
B. 16
C. 9
D. none of these
Solutions

62. The value of (sin 50° cos 10° + cos 50° cos 80°) is:
A. 1
B. 2
C. 
D.4
Solutions

63.

A. three proper linear factors
B. two proper linear factors
C. no proper linear factor
D. one proper linear factor
Solutions

64. How many words can be formed from the letters of the word ‘LAUGHTER’ so that the vowels always come together?
A. 4000
B. 4320
C. 3400
D. 5000
Solutions
here, in the given word there are three vowels
Consider the vowels as one letter so the number of letters considering vowel as one are 6.
Now the number of words formed in which vowels are together
= 6!×3! = 4320
65. The equation of a line through the point (4, – 6) and parallel to y – axis, is:
A. x – 4 = 0
B. y + 6 = 0
C. y + 4 = 0
D. x – 6 = 0
Solutions
any line parallel to y-axis is of the form, x = a
If it passes through (4, – 6), then its equation is x = 4 or x – 4 = 0
66. Which of the following is a fundamental unit?
A. Newton
B. Joule
C. Kilogram
D. Pascal
Solutions
Kilogram is one of the seven base units in the International System of Units (SI). Newton, Joule, and Pascal are derived units.
67. The unit ‘becquerel’ (Bq) is used to measure.
A. Radioactivity
B. Magnetic field
C. Luminous flux
D. Capacitance
Solutions
The becquerel (Bq) is the SI unit of radioactivity. It is named after Henri Becquerel, who discovered radioactivity in 1896. The becquerel is defined as one disintegration per second, which means it measures the rate at which a quantity of radioactive material decays.
Radioactivity is the process by which unstable atomic nuclei lose energy by emitting radiation. This can occur in the form of alpha particles, beta particles, gamma rays, or other particles. The rate at which these decay events occur is measured in becquerels. For instance, if a sample has a radioactivity of 1 Bq, it means that one atomic nucleus in the sample decays and emits radiation every second.
To summarize:
Becquerel (Bq): The SI unit of radioactivity.
Measurement: One disintegration per second.
Named After: Henri Becquerel.
Usage: Indicates the decay rate of a radioactive substance.
This unit is crucial in fields such as nuclear physics, radiology, and environmental science, where understanding the activity of radioactive materials is essential for safety and analysis.
68. What is the dimensional formula of work?
A. 
B. 
C. 
D. 
Solutions

69. If the mass of an object is 10 kg, what is its weight on Earth? 
A. 10 N
B. 98 N
C. 9.8 N
D. 100 N
Solutions
Weight is given by W=mg For an object with a mass of 10 kg, and g of 9.8 m/s², W=10×9.8=98N
70. What is the work done when a force of 20 N moves an object 3 meters in the direction of the force?
A. 60 J
B. 23 J
C. 40 J
D. 6 J
Solutions
Work is calculated using the formula W= F × d
Here, W=20 N×3 m
=60 J
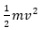
71. The energy possessed by a body by the virtue of its motion is called ______
A. Kinetic energy
B. Potential energy
C. Total energy
D. Motion energy
Solutions
Kinetic energy is the energy that a body possesses due to its motion. It is given by the formula:
Kinetic Energy: 
where m is the mass of the body and v is its velocity. This energy is directly proportional to both the mass of the object and the square of its velocity. Kinetic energy is a fundamental concept in physics, describing the energy that an object has because of its motion.
72. The unit of energy has been named after ______
A. James Prescott Joule
B. John Prescott Joule
C. Jammie Joule
D. Jessy Joule
Solutions
The joule (J), the SI unit of energy, is named after James Prescott Joule, a British physicist who made significant contributions to the understanding of energy, heat, and thermodynamics. Joule’s work on the mechanical equivalent of heat helped establish the principle of conservation of energy, which is a fundamental concept in physics.
73. When a body falls freely under gravity, then the work done by the gravity is ___________
A. Positive
B. Negative
C. Zero
D. Infinity
Solutions
When a body falls freely under the influence of gravity, the gravitational force acts in the direction of the motion. Work done by a force is given by the product of the force and the displacement in the direction of the force. Since the displacement of the falling body is in the same direction as the gravitational force, the work done by gravity is positive.
74. 4 resistors of equal value, when connected in series across 250″ ” V supply volts dissipate 25 Watt. If same resistors are connected in parallel, the power dissipation will be
A. 25 Watt
B. 100Watt
C. 200Watt
D. 400 Watt
Solutions

75. According to Ohm’s law, if current (I) increases and potential difference (V) remains constant, then:
A. Resistance decreases
B. Resistance increases
C. Potential difference decreases
D. More than one of the above
Solutions

76. What is the field (H) due to toroid having N turns and length l carrying a filamentary current I?
A. 
B. 
C. 
D. 
Solutions

77. Two inductors of 5H and 4H have mutual inductance of 2.5H between them. The coupling coefficient is
A. 1.78
B. 0.125
C. 0.56
D. 4.47
Solutions

78. Self-inductance is analogously called:
A. Reluctance
B. Permeance
C. Electromagnetic inertia
D. Resistance
Solutions

79. When applied with a unidirectional voltage, an inductor behaves virtually like a:
A. Depends on the magnitude of voltage applied
B. Short circuit
C. Depends on the polarity of voltage applied
D. open circuit
Solutions
When applied with a unidirectional voltage, an inductor behaves virtually like a short circuit.
In DC supply (unidirectional voltage), the current and voltage are constant. If we apply DC supply across an inductor, then there is no change in voltage and the current gradually increases, due to which the steady state voltage across the inductor is zero. Hence, it virtually act as a short circuit.
80. The error committed by a person in the measurement are _______
A. Random error
B. Instrumental error
C. Gross error
D. Environmental
Solutions
The error committed by a person in the measurement are called gross error
Gross error → gross error occur when a mistake is made while recording data or taking observations in a wrong manner without bothering about the source of errors and the precautions or using wrong value of the observations in calculations.
81. Accuracy of an instrument means _______
A. Repeatability of the measured value
B. Closeness of the indicated by it to the correct value of measured
C. Smallest change in the value of measured that can be detected by the instrument
D. speed with which the instruments reading approaches the final value
Solutions
Accuracy means closeness of the indicated by it to the correct value of measured or it is the closeness with which an instrument reading approaches the true value of the quantity being measured i.e. conformity to truth.
82. More power is required to operate a moving-iron meter than a PM-MC meter because of the magnetic circuit’s high ____
A. Resistance
B. Reluctance
C. Retentivity
D. Resilience
Solutions
Moving iron meter has large magnetic reluctance as compared to PMMC meter. That’s why more power is required to operate the moving iron meter.
83. In a PMMC-type instrument, which type of damping is employed?
A. No damping
B. Fluid friction damping
C. Air friction damping
D. Eddy current damping
Solutions
In a PMMC type instrument, Eddy current damping is used.
Air friction damping → moving iron instrument
Fluid friction damping → Electrostatic type
Fluid friction damping is always greater than air friction damping because of more viscosity.
84. In Kelvin’s double bridge, the unknown resistance is given by:
A. 
B. 
C. 
D. 
Solutions
In Kelvin’s double bridge, the unknown resistance R is given by

85. High resistances are provided with a guard terminal. This guard terminal used to:
A. To eliminate the effect of leads
B. Guard the resistance against stray electrostatic fields
C. Bypass the leakage current
D. Guard the resistance against overloads
Solutions
The guard terminal used to bypass the leakage current.
Guard terminal provides a return path for the surface leakage current that, as we have seen, can otherwise lead to a substantial error in the insulation resistance measurement.
86. Which of the following are true for cathode ray?
A. It travels along straight lines
B. It emits X-ray when strikes a non-metal
C. It is an electromagnetic induced wave
D. It is not deflected by magnetic field
Solutions
Properties of cathode rays- 1 They travel linearly – They have a negative electric charge – They have particle property – Magnet can deflect them – Charge/mass ratio of the rays is constant They travel from the cathode to the anode. Their properties are independent from the electrodes and gas present in the cathode ray tube.
87. A transducer that converts measurand into the form of pulse is called the transducers.
A. Active
B. Analog
C. Digital
D. Pulse
Solutions
The transducer which convert input signal into the output signal in the form of pulser with 0 and 1 as discrete values are called digital transducers
Eg: Encoder digital resolvers digital tachometers etc.
88. What is the relation between scale factor and sensitivity of a transducer?
A. Sensitivity is equal to scale factor
B. Scale factor is inverse of sensitivity
C. Sensitivity is double of scale factor
D. None of the above
Solutions
The relation between the scale factor and sensitivity of a transducer is that the scale factor is inversely proportional to the sensitivity. This means that as the sensitivity of a transducer increases, the scale factor decreases, and vice versa.
Scale Factor is a ration of input (angular velocity) and output value. The deviation of the scale factor to the ideal output is called scale factor error, which is normally displayed in percentage (%).
89. Conduction band and Valence band overlap in
A. Conductor
B. Semiconductor
C. Insulator
D. Both (a) and (b)
Solutions
The conduction band and valence band overlap in conductors, not in semiconductors or insulators. In conductors, the valence band is partially filled with electrons, and there is no significant energy gap between the valence band and the conduction band. This overlapping allows electrons to move freely between the bands, resulting in high electrical conductivity.
On the other hand, in semiconductors, there is a small energy gap between the valence band and the conduction band. The valence band is fully occupied with electrons, while the conduction band is empty or only partially filled. This energy gap limits the movement of electrons and makes the conductivity of semiconductors lower than that of conductors.
Insulators have a larger energy gap between the valence band and the conduction band compared to semiconductors. The valence band is fully occupied, and the conduction band is empty. Due to the large energy gap, insulators have very low conductivity.
90. The forbidden energy gap for germanium is ____
A. 1.14 eV
B. 0.3 eV
C. 0.7 eV
D. 0.1 eV
Solutions
The forbidden energy gap for germanium is 0.7 eV. The energy gap defined as difference between conduction band and valence band.
Alternate information: the forbidden energy gap for silicon is 1.1 eV.
91. Which of the following has the highest mobility?
A. Electron
B. Proton
C. Neutron
D. None of above
Solutions
Electron has the highest mobility. The electron mobility greater than hole mobility because the effective mass of electron is smaller than effective mass of hole.
92. Resistance of semiconductor by adding impurities
A. Increase
B. Decrease
C. First increase, then decrease
D. No change
Solutions
by adding impurities Resistance of semiconductor is decrease. Impurities such as Arsenic, Antimony, Phosphorous are added in N-type semiconductors. Impurities such as Aluminium, Gallium and Indium are added in P-type semiconductors.
93. Which of the following is a self-complementing code?
A. 8421 code
B. Excess-3 code
C. Pure binary code
D. Array code
Solutions
Excess-3 code is a self-complementing code.
In Excess-3 code, each decimal digit is represented by adding 3 to its corresponding 8421 BCD (Binary Coded Decimal) code. This results in a self-complementing property because to obtain the 9’s complement of a digit, you can simply invert all the bits. This makes arithmetic operations like addition and subtraction simpler and eliminates the need for separate subtraction logic.
94. Which of the following is true with respect to ASCII?
A. It is an eight-bit code
B. It is a seven bit code
C. It is a four bit code
D. None of these
Solutions
It is a seven-bit code
ASCII (American Standard Code for Information Interchange) is a character encoding standard that uses seven bits to represent each character. ASCII originally used seven bits to represent characters, allowing for 128 different characters (2^7 = 128). Later extensions like Extended ASCII used eight bits, but the original ASCII standard itself uses seven bits to represent characters.
95. Which of the following sets does not contain universal gates?
A. NOT, OR and AND Gates
B. XNOR, NOR and NAND Gates
C. NOR and NAND Gates
D. XOR, NOR and NAND Gates
Solutions
NOT, OR, and AND gates do not comprise universal gates.
Universal gates are gates that can be used to implement any other type of logic gate. NAND and NOR gates are universal gates because you can use them to construct all other basic gates like NOT, AND, OR, and XOR.
NOT, OR, and AND gates, which are not universal gates, so this set does not contain universal gates.
96. In 8085 microprocessor, how many interrupts are maskable.
A. One
B. Two
C. Three
D. Four
Solutions
the 8085 micro processor has five hardware interrupts viz.
INTR, RST 5.5, RST 6.5, RST 7.5 and TRAP (4.5). first four are maskable interrupts and last TRAP (4.5) is non maskable.
97. Which one of the following is used for serial I/O transfer in 8085 Based system?
A. 8255
B. 8251
C. 8259
D. 8279
Solutions
The 8251 is a programmable communication interface chip that provides serial communication capabilities in microprocessor-based systems. It is commonly used for serial data transmission and reception in systems based on the Intel 8085 microprocessor.
98. 8051 is __________ Bit microcontroller.
A. 4
B. 8
C. 16
D. 32
Solutions
8051 is 8 bit micro controller 8051 micro controller designed by INTEL in 1981. It is an 8-bit micro controller, and 40 pin configuration.
99. The logical instruction that affect the carry flag during its execution is_______
A. ORL A
B. XRL A
C. RL A
D. ANL A
Solutions
The logical instruction that affect the carry flag during its execution is RL A. The RL (Rotate Left) instruction rotates the contents of the accumulator (A) left by one bit position. The bit that is rotated out of the most significant bit position (bit 7) is transferred to the carry flag (CY), and the carry flag is shifted into the least significant bit position (bit 0). This means that the carry flag is updated based on the value of the most significant bit before the rotation.
100. Which of the following instructions uses implied addressing mode?
A. JMP
B. CMA
C. ADC
D. SBB
Solutions
CMA (Complement Accumulator) instruction is the one that uses implied addressing mode. It complements (flips) all the bits in the accumulator without specifying any explicit operand or memory location.
