1. The sum of 3 numbers is 106. The ratio of the first to second is 5:6 and that of second to third is 9 : 10. Find the second number.
A. 54
B. 27
C. 18
D. 36
Solution
Given:
The sum of three numbers = 106.
The ratio of the First number to the Second number is 5 : 6.
The ratio of the Second number to the Third number is 9 : 10.
Calculation:
Let the three numbers be A, B and C. Then,
A : B = 5 : 6 and B : C = 9: 10
A : B : C = 15:18:20
(15 + 18 + 20) → 106
53 → 106
18 → 106/53 × 18 = 36
∴ The second number is 36.
2. A shopkeeper marks an article 24% above its cost price and allows a 15% discount on the marked price. If he earns a profit of Rs. 27 by selling the article, then the selling price of the article is:
A. Rs. 522
B. Rs. 508
C. Rs. 527
D. Rs. 517
Solution
Given
Market Price = cost price + 24% of cost price
Discount = 15%
Formula used
Selling price = Market Price – Discount
Profit = Selling price – Cost Price
when Selling price > Cost price
Calculation
Let the cost price is Rs.x
Market price = x + 24% of x
⇒ 124x/100
Discount = 15% of (124x/100)
⇒ 1860x/10000
Selling price = (124x/100) – (1860x/10000)
⇒ (12400x – 1860x)/10000
⇒ 10540x/10000
Profit = selling price – cost price
27 = (10540x/10000) – x
⇒ 27 = (10540x – 10000x)/10000
⇒ 27 = 540x/10000
x = (27 × 10000)/540
x = 500
Selling price = 500 + 27
⇒ Rs. 527
∴ The selling price of the article is Rs.527
3. The average weight of A, B, and C is 52 kg. If the average weight of B and C is 44 kg and that of C and A is 46 kg, then what will be the weight of C?
A. 24 kg
B. 38 kg
C. 36 kg
D. 68 kg
Solution
Given:
Average weight of A, B, C = 52 kg
Average weight of B, C = 44
Average weight of A, C = 46
Formula used:
Average = Sum of observations/Total number of observations
Calculation:
Total weight of A, B, C = 52 × 3 = 156 kg —-(1)
Total weight of B, C = 44 × 2 = 88 kg —-(2)
Total weight of A, C = 46 × 2 = 92 kg —-(3)
From (1) – (2) we get,
A = 68 kg
Put A in (3) C + 68 = 92
⇒ C = 24 kg.
∴ The weight of C is 24 kg.
4. Find the area of an equilateral triangle, each of whose sides measures 12 cm.
A. 36√3 cm2
B. 3√3 cm2
C. 24/√3 cm2
D. 72/√3 cm2
Solution
Given:
Each side of an equilateral triangle measures 12 cm.
Formula Used:
The area AA of an equilateral triangle with side length aa is given by:

5. A room is in the shape of a cuboid, with dimensions of 12m × 10m × 3m. What is the cost of painting the four walls of the room at the rate of Rs. 50 per m2?
A. Rs. 15600
B. Rs. 15000
C. Rs. 6600
D. Rs. 7500
Solution
Given:
TDimention of cuboid = 12m × 10m × 3m
Formula used:
Area of four walls of room = 2 (l + b) × h
Calculation:
⇒ The area of four walls of room = 2 (12 + 10) × 3 = 132 m2
So, the cost of the painting wall of the room = 132 × 50∴ The cost of painting the walls of the room is Rs. 6600
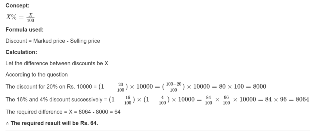
6. Applied to a bill for Rs. 10000 the difference between a discount of 20% and two successive discounts of 16% and 4% is:
A. Rs. 19.36
B. Rs. 64
C. Rs. 72
D. Rs. 22.32
Solution
Given:
The bill amount = Rs. 10000
Concept:

7. A train crosses two platforms of length 500 m and 800 m in 80 seconds and 120 seconds respectively, then find the length of the train.
A. 150 m
B. 180 m
C. 100 m
D. 250 m
Solution
Given:
A train crosses a 500 m platform in 80 seconds
A train crosses a 800 m platform in 120 seconds
Formula used:
STrain = (LTrain + LPlatform)/T
Where, T is Time taken, LTrain is Lenght of the train
LPlatform is Length of Platform, STrain is the Speed of train
Calculations:
Let the length of the train be L
According to the question, we have
Speed of the train is same in both cases i.e., while crossing two platforms
⇒ (L + 500)/80 = (L + 800)/120
⇒ (L + 500)/(L + 800) = 80/120
⇒ (L + 500)/(L + 800) = 2/3
⇒ 3(L + 500) = 2(L + 800)
⇒ 3L + 1500 = 2L + 1600
⇒ L = 100 m
∴ The length of the train is 100 m.
8. A sum of money is distributed among P, Q, R and S in the ratio 3 : 4 : 5 : 6, respectively. If R gets ₹500 more than Q, then the sum of all their shares (in ₹) is:
A. 8,000
B. 9,000
C. 7,500
D. 6,000
Solution
Given:
The ratio of the share of P, Q, R, and S respectively = 3 : 4 : 5 : 6
Calculation:
Let the share of P. Q. R. S. and T be 3x, 4x, 5x, and 6x respectively
According to the question
⇒ 5x – 4x = 500
⇒ x = 500
The sum of all share = 3x + 4x + 5x + 6x = 18x = 18 × 500 = 9000
∴ The required result will be 9000.
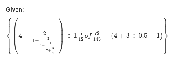
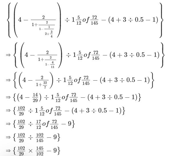
9.

A. -2
B. 3
C. 1
D. -4
Solution
Given:

Concept used:

Calculation:

⇒ {5 – 9}
⇒ – 4
∴ Required answer is – 4
10. From a 100 kg mixture of tea and impurity, 25 kg of the mixture is taken out and replaced with same quantity of impurity. This process is repeated one more time and now the ratio of tea to impurity in the mixture becomes 9 : 11, then what is the initial ratio of tea to impurity in the mixture?
A. 5 : 2
B. 4 : 1
C. 3 : 2
D. 7 : 4
Solution
Given:
From a 100 kg mixture of tea and impurity, 25 kg of the mixture is taken out and replaced with same quantity of impurity. This process is repeated one more time and now the ratio of tea to impurity in the mixture becomes 9 : 11
Concept :
Let there is a mixture of Milk and Water.
Let Wo and Wr be the amount of water in the mixture originally and the amount of water in the mixture after the replacements have taken place respectively.
Then Wr/Wo = (1 – R/M)n ,
where R is the amount of mixture replaced by milk in each of the the steps, M is the total volume of the mixture and n is the number of times the cycle is repeated.
Calculation:
Let tea and impurity in the mixture initially is ‘x’ and ‘100 – x’ respectively.
Now,
99+11=x[1−25100]210099+11=x[1−25100]2100
45 =x×91645 =x×916
⇒ x = 80∴ Required ratio = x : (100 – x) = 80 : 20 = 4 : 1
11. A bought an item for Rs.1620 with discount of 10% on marked price. If marked price of an item is 20% above the cost price of an item. Find the profit A had.
A. Rs.140
B. Rs.120
C. Rs.150
D. Rs.110
Solution
Formula:
Selling price = Marked price × (100 – discount %)/100
Profit = selling price – cost price
Calculation:
Marked price = 1620 × 100/90 = Rs.1800
Cost price = 1800 × 100/(120) = Rs.1500
∴ Profit A had = 1620 – 1500 = Rs.120
12. An equal sum of money was lent to P and Q at 8.6% per annum for a period of 7 years and 8 years, respectively. If the difference in interest paid by them was Rs. 172, then the sum lent to each was:
A. Rs. 185
B. Rs. 3,000
C. Rs. 2,150
D. Rs. 2,000
Solution
Given:
An equal sum of money was lent to P and Q at 8.6% per annum for a period of 7 years and 8 years, respectively.
Difference in interest paid by them = Rs. 172
Formula used:

⇒ P=2000P=2000
∴ The correct answer is option (4).
13. The income of a person first increased by 10% and then it is decreased by 10%. What is the change in his income?
A. 2% (increase)
B. 1% (decrease)
C. 5% (decrease)
D. 2% (decrease)
Solution
Given:
The income of a person first increased by 10% and then it is decreased by 10%.
Formula used:
New Income = Original Income × (1 + Increase Rate) × (1 – Decrease Rate)
Calculations:
Let the original income be ₹100.
After a 10% increase:
New Income = 100 × (1 + 10/100)
⇒ New Income = 100 × 1.1
⇒ New Income = ₹110
After a 10% decrease on ₹110:
New Income = 110 × (1 – 10/100)
⇒ New Income = 110 × 0.9
⇒ New Income = ₹99
Change in income = New Income – Original Income
⇒ Change in income = 99 – 100
⇒ Change in income = -₹1
Percentage change = (Change in income / Original Income) × 100
⇒ Percentage change = (-1 / 100) × 100
⇒ Percentage change = -1%
∴ The correct answer is option (2).
14. The average of all 24 numbers is
The average of first 10 numbers is
and the average of last 10 numbers is
. The 11th number is 2.5 less than the 13th number and the average of 12th and 14th number is 35.75. Then, find the value of 13th number?
A. 31.5
B. 32.5
C. 33.5
D. 34.5
Solution
The sum of the values of all 24 numbers = 24 ×
= 24 × 33.50 = 804
The sum of first 10 numbers = 10 ×
= 10 × 32.5 = 325
The sum of the last 10 numbers = 10 ×
= 10 × 34.5 = 345
The sum of 12th and 14th numbers = 2 × 35.75 = 71.50
Let the value of 13th number is k, then the 11th number will be (k – 2.5)
According to question,
Sum of first 10 Number + 11th Num. + 12th Num + 13th Num + 14th Num + Sum of last 10 Number = 840
325 + (k – 2.5) + k + 71.50 + 345 = 804
⇒ 2k + 741.5 – 2.5 = 804
⇒ 2k + 739 = 804
⇒ 2k = 65
⇒ k = 65/2
⇒ k = 32.5
∴ The value of 13th number is 32.5
15. Study the given graph and answer the question that follows.
The graph shows the number of employees who used different modes of transport in the year 2010.
What is the respective ratio between the number of employees who used Bike to the number of employees who used Metro?

A. 4:5
B. 2:1
C. 3:2
D. 5:2
Solution
Given:
Number of employees who used Bike = 300
Number of employees who used Metro = 150
Formula used:

16. P and Q together can finish a piece of work in 4 days. If P alone can finish the work in 12 days, then what are the number of days required for Q alone to finish the work?
A. 4 days
B. 6 days
C. 5 days
D. 8 days
Solution
Given:
P and Q together can finish a work in 4 days.
P alone can finish the work in 12 days.
Calculation:
Let the total work be the LCM of 4 and 12, which is 12 units.
Work done by P and Q together in 1 day = 12 units / 4 days = 3 units/day.
Work done by P alone in 1 day = 12 units / 12 days = 1 unit/day.
Work done by Q alone in 1 day = (P+Q)’s 1 day work – P’s 1 day work = 3 units/day – 1 unit/day = 2 units/day.
Number of days Q takes to finish the work alone = Total work / Q’s 1 day work = 12 units / 2 units/day = 6 days.
∴ Q alone can finish the work in 6 days.
17. Find the difference between the digits of the greatest number that can exactly divide 144 and 216?
A. 2
B. 4
C. 3
D. 5
Solution
Given:
Two numbers: 144 and 216
Concept:
We need to find the Greatest Common Divisor (GCD) and then the difference between its digits.
Solution:
GCD of 144 and 216 = 72
Difference between the digits of 72 = |7 – 2| = 5
Therefore, the difference between the digits of the greatest number that can exactly divide 144 and 216 is 5.
18. Find the percentage of material wasted in converting a cylinder of base diameter 10 cm and height 20 cm into a cone of equal base, but double the height of the cylinder.
A. 25%
B. 33.3%
C. 20%
D. 35%
Solution
Radius of the cone and cylinder (r) = 10/2 = 5 cm
Height of the cylinder h = 20 cm
Height of the cone H = 40 cm
As we know;
Volume of cylinder (V1) = πr2h
Volume of cone (V2) = (1/3) πr2H
Ratio of V1 and V2 = πr2h : (1/3) πr2H = 20 : (1/3) × 40 = 3 : 2
Let volume of cylinder V1 = 3 unit
Volume of cone V2 = 2 unit
Wastage volume = 3 – 2 = 1 unitPercentage of wastage volume = (1/3) × 100 = 33.33%
19. Monica takes 9 hrs 15 minutes in walking a distance and riding back to the same place where she started. She could walk both ways in 11 hrs 12 minutes. The time taken by her to ride back both ways is:
A. 7 hrs 18 min
B. 7 hrs 35 min
C. 7 hrs 45 min
D. 7 hrs 15 min
A. B
B. A
C. D
D. C
Solution
Total time to cover and back the same place by walking = 11 hrs 12 min
Total time to cover only one way by walking = (11 hr 12 min)/2 = 5 hr 36 min
Total time to cover only one way by riding = 9 hr 15 min – 5 hr 36 min = 3 hr 39 min∴ Total time to cover and back the same place by riding = (3 hr 39 min) × 2 = 7 hr 18 min.
20. Study the given table and answer the question that follows.
The table shows loan disbursed (in Rs. crores) by four banks in different years.
| Years | |||||
| Banks | 1992 | 1993 | 1994 | 1995 | 1996 |
| P | 20 | 25 | 47 | 31 | 72 |
| Q | 28 | 35 | 20 | 43 | 39 |
| R | 31 | 32 | 24 | 18 | 15 |
| S | 33 | 18 | 29 | 34 | 44 |
| Total | 112 | 110 | 120 | 126 | 170 |
What was the percentage increase of disbursement of loans of all banks together from 1994 to 1995?
A. 8%
B. 7%
C. 5%
D. 10%
Solution
Given:
The table shows loan disbursed (in Rs. crores) by four banks in different years.
Formula used:
Percentage Increase = ![]()
Calculation:
Old Value (1994) = 120
New Value (1995) = 126
⇒ Percentage Increase = ![]()
⇒ Percentage Increase = 6/120×100
⇒ Percentage Increase = 0.05 × 100 = 5%
∴ The correct answer is option 3.
21. Select the option that is related to the fifth letter-cluster in the same way as the second letter-cluster is related to the first letter-cluster and the fourth letter-cluster is related to the third letter-cluster.
EXPLAIN : AEILNPX :: MEDICAL : AEICDLM :: PRIVACY : ?
A. AICPRYV
B. AICPRVY
C. AICRPVY
D. ACIPVRY

The logic followed here is:
Logic: First Vowels are placed in order then Consonants is placed in Alphabetical order.
For, EXPLAIN : AEILNPX

For, MEDICAL : AEICDLM

Similarly, for PRIVACY :

Hence, the correct answer is “Option 2”.
22. In certain coding method, the word HRDP is encoded as XHTF. What is the code word for the word LVHW?
A. YLMX
B. YMXL
C. BLXM
D. BMLX
Solution
The pattern followed here is:

According to the alphabetical positions of the letters,

Similarly,

Hence, ‘BLXM’ is the correct answer.
23. In the question below are given two statements followed by two conclusions numbered I and II. You have to take the given statements to be true even if they seem to be at variance with commonly known facts. Read all the conclusions and then decide which of the given conclusions logically follows from the given statements disregarding commonly known facts.
Statements:
All hens are guns.
Some guns are cats.
Conclusions:
I. Some hens are cats.
II. No hen is cat.
A. Only I follows.
B. Only II follows.
C. Either I or II follows.9% answered correctly
D. Neither I nor II follows.
Solution
The least possible Venn diagram for the given statements is as follows

Conclusions:
I. Some hens are cats → False (as there is no direct relation given between hen and cat, so no definite conclusion could be drawn)
II. No hen is a cat → False (as there is no direct relation given between hen and cat, so no definite conclusion could be drawn)
Conclusion I and II form a complementary pair.
Hence, either I or II follows.
Key Points
Conditions for Either – Or
- Subject and predicate should be the same.
- Both individual conclusions should be false.
- One conclusion should be positive and one conclusion should be negative.
- There should either be one of the following pairs present in the conclusions.
- All + Some not
- Some + No
24. If a mirror is placed on the line AB, then which of the answer figures is the right mirror image of the given figure?

A.

B.

C.

D.

Solution
The logic follows here is :-
If a mirror is placed on the line AB, then we will get this mirror image :

Thus, the correct answer is ‘option 4’.
25. Directions: Study the following information and answer the questions given below:
A, B, C, D, E, F, and G are all seated on a wall, looking east. C is directly to right of D. E is B’s neighbor, who is at the far end. Between E and F is G. Third from the southern end is D.
Identify the individual who should switch places with C such that he receives the third position from the northern end.
A. G
B. F
C. B
D. D
Solution
As per the given information, the sitting arrangement is as follows:
1. E is B’s neighbour, who is at the far end.
Case:1

Case:2

2. Between E and F is G and D is Third from the southern end.

3. C is directly to the right of D and the remaining A is in the end.

Here, if C switches place with G, then C receives the third position from the northern end.
Hence, the correct answer is “Option (1)”.
26. In a certain code language, ‘DEACTIVATION’ is written as ‘CAEDAVITNOIT’. How will ‘FACILITATION’ be written in that language?
A. ICFTAAILNOIT
B. ICFAATILNOIT
C. ICFTILAANOIT
D. ICAFATILNOIT
Solution
The logic followed here is :-
‘DEACTIVATION’ is written as ‘CAEDAVITNOIT’.

Similarly,
‘FACILITATION’ will be written as :

Hence, the correct answer is “ICAFATILNOIT”.
27. Complete the following series by replacing the question mark (?) given in the series.
AZ, CX, EV, ?, IR
A. FT
B. HT
C. GS
D. GT
Solution

Given series,
AZ, CX, EV, ?, IR
Here two different series are followed
For the first letter in the group
A + 2 = C + 2 = E + 2 = G + 2 = I
For the second letter in the group
Z − 2 = X − 2 = V − 2 = T − 2 = R
Therefore, the group formed is GT.
Hence, the correct is GT.
28. Two statements are given followed by two conclusions numbered I and II. Assuming the statements to be true, even if they seem to be at variance with commonly known facts, decide which of the conclusions logically follow(s) from the statements.
Statements:
Some cars are fast.
Some fast are slow.
Conclusions:
I. Some cars are not slow.
II. Some slow are fast.
A. Both conclusions I and II follow
B. Only conclusion II follows
C. Neither conclusion I nor II follows
D. Only conclusion I follows
Solution
The least possible Venn diagram for the given statements is as shown below :-

Conclusions:
I. Some cars are not slow → False (As Some cars are fast and Some fast are slow so, Some cars are not slow is false)
II. Some slow are fast → True (As Some fast are slow so, Some slow are fast is true)
∴ Here, Only conclusion II is true.
Hence, the correct answer is “Only conclusion II follows”.
29. Seven persons are sitting around a circular dining table facing the towards the centre. S is sitting to the immediate left of Y and third to the right of R. R is sitting to the immediate left of A and immediate right of P. A is sitting to the immediate left of D. Q is sitting to the immediate left of P. If D exchanges seat with Y and P with Q, then who is sitting to the immediate right of D?
A. P
B. S
C. Q
D. R
Solution
Given : Seven persons are sitting around a circular dining table facing the towards the centre.
Explanation :
1) S is sitting to the immediate left of Y and third to the right of R.
2) R is sitting to the immediate left of A and immediate right of P.

3) A is sitting to the immediate left of D.
4) Q is sitting to the immediate left of P.

So, according to the question If D exchanges seat with Y and P with Q :-

Thus, according to the final arrangement P is sitting to the immediate right of D.
Hence, “P” is the correct answer.
30. Select the option that is related to the third word in the same way as the second word is related to the first word.
Japan : Yen :: Bangladesh : ?
A. Dinar
B. Rupee
C. Peso
D. Taka
Solution
The logic followed here is:
Logic: The second word represents the currency of the respective country.
Japan : Yen → Yen is the currency of Japan.
Similarly:
Bangladesh : Taka → Taka is the currency of Bangladesh.
Hence, the correct answer is “Option 4”.
31. The sequence of folding a piece of paper and the manner in which the folded paper has been cut is shown in the following figures. How would this paper look when unfolded ?

A.

B.

C.

D.

Solution
After unfolding the paper the figure formed is as shown below :

Hence, the correct answer is “Option 3”.
32. Which of the following numbers will replace the question mark (?) in the given series?
0, 7, 26, 63, 124, 215, ?
A. 342
B. 344
C. 340
D. 343
Solution
The pattern followed here is:-

Hence, the correct answer is “342”.
33. Read the given statements and answer the question below.
N is shorter than L, but taller than O. M is taller than N, but shorter than L. L is not as tall as K. Based on the height, who is in the middle?
A. O
B. M
C. L
D. K
Solution
According to the question-
1) N is shorter than L, but taller than O.
O < N < L
2) M is taller than N But shorter than L.
O < N < M < L
3) L is not as tall as k, the final arrangement is.
O < N < M < L < K
According to the height M is the middle person.
Hence, the correct answer is “M”.
34. In a certain code language, if the code for EXCEL is 44 and the code for WORD is 56, then what will be the code for HEAVEN in the same language?
A. 49
B. 61
C. 55
D. 58
Solution

The pattern followed here is :
Sum of the positional value of the letters – total number of letter = number
EXCEL → Total number of letter is 5.
E(5) + X(24) + C(3) + E(5) + L(12) = 5 + 24 + 3 + 5 + 12 = 49.
Sum of the positional value of the letters – total number of letter = number
49 – 5 = 44
And,
WORD → Total number of letter is 4.
W(23) + O(15) + R(18) + D(4) = 23 + 15 + 18 + 4 = 60.
Sum of the positional value of the letters – total number of letter = number
60 – 4 = 56
Similarly,
HEAVEN → Total number of letter is 6.
H(8) + E(5) + A(1) + V(22) + E(5) + N(14) = 8 + 5 + 1 + 22 + 5 + 14 = 55.
Sum of the positional value of the letters – total number of letter = number
55 – 6 = 49
Hence, HEAVEN will be written as “49”.
35. Find the missing number:
2, 7, ____, 23, 34, 47
A. 13
B. 14
C. 15
D. 12
Solution
Given: 2, 7, ____, 23, 34, 47
The logic follows here is:

Hence, the correct answer is “14”.
36. In a certain code language, ‘471’ means ‘Hair is White’, ‘726’ means ‘White Her Cow’, and ‘639’ means ‘Cow gives Milk’. What is the code for ‘Her’ in that language?
A. 7
B. 1
C. 4
D. 2
Solution
The logic followed here is :

Therefore, the code of ‘her’ is 2.
Hence, “2” is the correct answer.
37. In the following question, select the figure which can be placed at the sign of question mark (?) from the given alternatives.

A.

B.

C.

D.

Solution

The, correct answer is option 2.
38. Select the option in which the numbers shares the same relationship in set as that shared by the numbers in the given set.
(NOTE: Operations should be performed on the whole numbers, without breaking down the numbers into its constituent digits.
E.g.13 – Operations on 13 such as adding/subtracting /multiplying etc. to 13 can be performed. Breaking down 13 into 1 and 3 and then performing mathematical operations on 1 and 3 is not allowed)
(12, 144, 1728)
(6, 36, 216)
A. (11, 121, 1000)
B. (14, 196, 2197)
C. (10, 100, 1000)
D. (8, 64, 729)
Solution
The logic followed here is:
Logic: (1st number)2 = 2nd number,
(1st number)3 = 3rd number.
Now,
for, (12, 144, 1728)
⇒ (12)2 = 144,
⇒ (12)3 = 1728.
for, (6, 36, 216)
⇒ (6)2 = 36,
⇒ (6)3 = 216.
Similarly, for (10, 100, 1000)
⇒ (10)2 = 100,
⇒ (10)3 = 1000.
Hence, the correct answer is “Option 3”.
39. Direction: Select the option that is related to the third term in the same way as the second term is related to the first term.
36: 18 :: 49 : ?
A. 38
B. 45
C. 90
D. 26
Solution
The logic is here:
36 → 3 + 6 = 9 → 9 × 2 = 18
Similarly,
49 → 4 + 9 = 13 → 13 × 2 = 26
Hence, 26 is correct answer.
40. Select the figure that will replace the question mark (?) in the following figure series.

A.

B.

C.

D.

Solution
The logic followed here is:
The Figure is moving 45 degrees Clockwise with a mirror image to itself.

Hence, the correct answer is Option4.
41. Which articles of the Indian constitution address fundamental rights?
A. Article 12 to 35
B. Article 5 to 35
C. Article 12 to 40
D. Article 5 to 11
Solution
The correct answer is Article 12 to 35.
Key Points
- Fundamental Rights are enshrined in Part III of the Indian Constitution, which consists of Articles 12 to 35.
- These articles provide for the basic rights and freedoms that every citizen of India is entitled to, irrespective of their religion, race, caste, sex, or place of birth.
- Some of the important fundamental rights guaranteed by the Indian Constitution include the Right to Equality, Right to Freedom of Speech and Expression, Right to Life and Personal Liberty, Right to Education, and Right to Constitutional Remedies.
- The fundamental rights are enforceable by the courts, and any law or action that violates them can be challenged in the courts of law.
Additional Information
- Article 5 to 35 – This option is incorrect as Article 5 deals with the Citizenship of India and not fundamental rights.
- Article 12 to 40 – This option is incorrect as Article 36 to 40 deal with the Directive Principles of State Policy and not fundamental rights.
- Article 5 to 11 – This option is incorrect as Article 11 deals with the Power of Parliament to regulate the right of citizenship by law and not fundamental rights.
42. Which of the following represents the chemical formula for sulphur hexafluoride?
A. S2F6
B. SF6
C. SF2
D. S6F
Solution
The Correct answer is SF6.
Key Points
- Sulphur hexafluoride (SF6) is an inorganic, colorless, odorless, non-flammable, and non-toxic gas.
- The chemical formula SF6 represents a molecule consisting of one sulfur (S) atom and six fluorine (F) atoms.
- It belongs to the class of compounds known as hexafluorides, where six fluorine atoms are bonded to a central atom.
- Sulphur hexafluoride is widely used as an insulating gas in high-voltage electrical equipment such as circuit breakers, switchgear, and transformers.
- Its exceptional dielectric properties make it highly effective in preventing electrical discharges.
- It is also utilized in the production of semiconductors and in various scientific applications such as tracer gas studies.
- SF6 is considered a greenhouse gas with a high global warming potential, and its use is regulated to minimize environmental impact.
- The structure of SF6 is octahedral, meaning the six fluorine atoms are symmetrically arranged around the central sulfur atom.
Additional Information
- S2F6
- S2F6 is not the correct formula for sulphur hexafluoride. It represents a different chemical compound, disulfur hexafluoride, where two sulfur atoms are bonded together with six fluorine atoms.
- Disulfur hexafluoride is much less common than SF6 and has different chemical and physical properties.
- SF2
- SF represents sulphur difluoride, which consists of one sulfur atom bonded to two fluorine atoms. It is different from sulphur hexafluoride.
- SF2 is not widely used as an insulating gas and does not exhibit the same dielectric properties as SF6.
- S6F
- S6F is not a valid chemical formula. It does not correspond to any known stable compound and is likely an incorrect representation.
43. Kathak dance is known as combination of _________.
A. Music and narrative only
B. Music and drama only
C. Music and dance only
D. Music, dance and narrative
Solution
The correct answer is Music, dance and narrative
Key Points
- Kathak is a classical dance form originating from northern India.
- It is known for its intricate footwork, spins, and expressive gestures.
- Kathak incorporates music, dance, and narrative elements to convey stories, often from ancient Indian epics and mythology.
- The narrative aspect of Kathak is delivered through mime and facial expressions, making it a unique blend of various artistic components.
Additional Information
- The name Kathak is derived from the Sanskrit word ‘Katha’ meaning story, and ‘Kathakar’ meaning storyteller.
- Historically, Kathak dancers, known as Kathakars, used to travel and narrate stories through dance and music.
- The dance form evolved during the Bhakti movement and later under the patronage of Mughal rulers, which added Persian influences to its style.
- Kathak is one of the eight recognized classical dance forms of India, and it continues to be a popular performance art both in India and globally.
44. The most common carrier of communicable diseases is
A. Ant
B. Housefly
C. Dragonfly
D. Spider
Solution
The correct answer is Housefly.
Key Points
Concept:
- Illness/Diseases: It is a state of experience by the body when one or more of the control systems of the body are not functioning normally.
- Communicable disease: The diseases which are infectious or transmissible from a body to body through biological agents in humans and animals. Ex- Influenza, Ebola, Covid-19, etc.
- Non-communicable disease: The disease that is not transmissible directly from one person to another through biological agents, Ex- Astana, Diabetes, etc.
Explanation:
- The most common carrier of communicable diseases is Houseflies.
- Flies collect pathogens on their legs and mouths when females lay eggs on decomposing organic matter such as feces, garbage, and animal corpses.
- House flies carry diseases on their legs and the small hairs that cover their bodies.
- It takes only a matter of seconds for them to transfer these pathogens to food or touched surfaces.
45. Lok Sabha has a fixed term of ______ years and can be dissolved by the President at any time.
A. 5
B. 12
C. 8
D. 10
Solution
The correct answer is 5.
Key Points
- 5 years is the tenure of Lok Sabha members.
- Lok Sabha is composed of representatives of the people chosen by direct election on the basis of adult suffrage.
- The term of a member of parliament of Lok Sabha (dissolved) is five years from the date appointed for its first meeting.
- During a state of emergency, the term however can be extended by the Parliament of India by law for a period not exceeding one year at a time.
Additional Information
- On 26 January 1950, the Indian constitution came into force and the first general elections (under the new constitution) were held in 1951-1952.
- The 1st Lok Sabha was constituted on 17 April 1952 and had 489 constituencies, thereby the first set of elected members of parliament of Lok Sabha in India.
- The maximum permitted strength of members of parliament in the Lok Sabha is 550.
- The first instance of a member of parliament equivalent in India dates back to 9 December 1946, the day the Constituent Assembly of India was formed with the purpose of drafting a constitution for India.
46. The proteins and lipids, essential for building the cell membrane, are manufactured by
A. endoplasmic reticulum
B. golgi apparatus
C. plasma membrane
D. mitochondria
Solution
The correct answer is endoplasmic reticulum.
Explanation:
Endoplasmic reticulum
- Endoplasmic reticulum (ER) is an extensive network of membrane-enclosed tubules and cisternae located near the nucleus and golgi apparatus.
- It is exclusively present in a eukaryotic cell.
- Endoplasmic reticulum is a large and dynamic structure continuously involved in protein synthesis, calcium storage and lipid metabolism.
- Based on the presence or absence of ribosomes, endoplasmic reticulum may either be rough endoplasmic reticulum and smooth endoplasmic reticulum.
- Smooth endoplasmic reticulum (SER):
- These are smooth because they do not bear ribosomes on their surface.
- It is present in cells where they act as a major site for the synthesis of lipids.
- Rough endoplasmic reticulum (RER):
- They have rough membranes because they bear ribosomes attached to their surfaces.
- They are actively being seen in the cells which have their involvement in the synthesis and secretion of proteins.

Additional InformationGolgi apparatus:
- Golgi Apparatus is a dark-stained reticular structure located near the cell nucleus.
- This was later found to be present in other cell types and named as Golgi apparatus or the Golgi complex.
- It is a membrane-bound cell organelle consisting of a series of flattened membranous sacs that look like stacked pouches called cisternae.
Plasma membrane:
- It is the innermost layer of the cell envelope.
- It is semi-permeable in nature and is responsible for the interaction of the cell with the outside environment.
- It helps in the regulation of the exchange of specific materials between the cytoplasm and extracellular material.
Mitochondria:
- Mitochondria are membrane-bound cell organelles that are required to eukaryotic cells for aerobic respiration.
- These are also known as the powerhouse of the cell.
- There are two membranes in a mitochondrion: the outer and inner membranes.
- Out of which outer membrane is smooth and forms the continuous boundary of the organelle.
- The inner membrane is semipermeable to some metabolites.
47. Transparency International was formed in which year?
A. 1995
B. 1993
C. 1960
D. 1945
Solution
The correct answer is 1993.
Key Points
- Transparency International was formed on 4 May 1993.
- It is a German registered association by former employees of the World Bank.
- It is headquartered in Berlin, Germany.
- Delia Ferreira Rubio is its Chairman.
Additional Information
- Its notable publications include the Global Corruption Barometer and the Corruption Perceptions Index.
- Its purpose is to take action to combat global corruption with civil societal anti-corruption measures and to prevent criminal activities arising from corruption.
- It is a member of G20 Think Tanks, UNESCO Consultative Status, United Nations Global Compact, Sustainable Development Solutions Network.
- It was number 9 of 100 in the Top Think Tanks Worldwide (non-U.S.) category and number 27 of 150 in the Top Think Tanks Worldwide (U.S. and non-U.S.) category, according to the 2016 Global Go To Think Tank Index Report.
48. The Ashokan inscriptions of Afghanistan are written in Aramaic and ______ scripts.
A. Greek
B. Devanagari
C. Sharada
D. Ol Chiki
Solution
The correct answer is Greek.
Key Points
- The Ashokan inscriptions in Afghanistan are distinct because they are written in Aramaic and Greek scripts, showcasing the cultural and linguistic diversity of the Mauryan Empire.
- The inscriptions demonstrate the influence of Hellenistic culture in the region due to Alexander the Great’s conquests and subsequent Greco-Bactrian rule.
- These bilingual inscriptions served as a means to communicate Ashoka’s edicts to the local population, many of whom were familiar with Greek and Aramaic.
- The Rock Edicts found in Kandahar, Afghanistan, are among the most significant examples of these inscriptions in Greek and Aramaic.
- The use of multiple scripts by Ashoka reflects his policy of religious tolerance and administrative inclusivity.
Additional Information
- Aramaic Script:
- An ancient script that originated in the Near East and was widely used as a lingua franca in the Achaemenid Persian Empire.
- It was adopted in regions under Persian influence, including parts of Afghanistan during Ashoka’s reign.
- Greek Script:
- A script associated with the Greek language, introduced to the region during the conquests of Alexander the Great.
- Its presence in Ashokan inscriptions highlights the cultural exchanges between India and the Hellenistic world.
- Mauryan Empire:
- Established by Chandragupta Maurya in 321 BCE, it became one of the largest empires in ancient India.
- Ashoka the Great, the third emperor, is renowned for his efforts to spread Buddhism and promote ethical governance.
- Edicts of Ashoka:
- A series of inscriptions on rocks and pillars that outline Ashoka’s policies, ethical principles, and promotion of Dhamma.
- They are written in multiple languages and scripts, including Brahmi, Kharosthi, Greek, and Aramaic.
49. Which of the following crops that spread to northern India in the early years of the 17th century was NOT mentioned in the Ain-i-Akbari in the lists of crops in northern India?
A. Tobacco
B. Wheat
C. Arhar
D. Jowar
Solution
The correct answer is Tobacco.
Key Points
- Tobacco was introduced to India by the Portuguese in the late 16th century and became popular in the early 17th century.
- The Ain-i-Akbari, written by Abu’l-Fazl in the late 16th century, does not mention tobacco as it was not known in northern India at that time.
- The Ain-i-Akbari is a detailed document recording the administration of the Mughal emperor Akbar, including lists of crops grown in India during his reign.
- By the time tobacco became widespread in northern India, the Ain-i-Akbari had already been completed.
Additional Information
- Tobacco Introduction:
- Tobacco was brought to India by Portuguese traders in the 16th century.
- It quickly became popular in the Mughal court and among the general population.
- Ain-i-Akbari:
- The Ain-i-Akbari is part of the Akbarnama, a chronicle of Akbar’s reign.
- It was written by Abu’l-Fazl, one of Akbar’s court historians.
- The document provides a detailed account of the administration, culture, and economy of Akbar’s empire.
- Crops in Ain-i-Akbari:
- The Ain-i-Akbari lists various crops such as wheat, barley, and pulses like arhar grown in northern India during Akbar’s reign.
- It does not mention tobacco because it was not introduced or widespread at the time.
- Portuguese Influence:
- The Portuguese were responsible for introducing several new crops to India, including tobacco, maize, and cashew nuts.
- The introduction of these crops had a significant impact on Indian agriculture and cuisine.
50. India has won two gold medals at the 45th Chess Olympiad in September 2024. Where did this Chess Olympiad take place?
A. Paris, France
B. Moscow, Russia
C. Budapest, Hungary
D. Berlin, Germany
Solution
The correct answer is Budapest, Hungary.
Key Points
- The 45th Chess Olympiad was held in Budapest, Hungary.
- India secured gold medals in both the open and women’s categories.
- The open team, featuring players like Arjun Erigaisi and Gukesh D, claimed their first-ever gold after a critical win and China dropping points.
- The women’s team, led by Harika Dronavalli, dominated Azerbaijan to secure their victory.
- This achievement marked India’s first gold in the open section.
- PM Modi praised the teams for their stellar performances on social media.
Important Points
- The Indian men’s team won gold after a decisive victory in the final round.
- The women’s team defeated Azerbaijan to clinch their gold medal.
- This historic win is seen as a new chapter in India’s sporting history.
51. In January 2024, in which city was the Atal Setu inaugurated?
A. Kolkata
B. Chennai
C. New Delhi
D. Mumbai
Solution
The correct answer is Mumbai.
In News
- PM Modi set to inaugurate ‘Atal Setu’, the longest sea bridge in India in Mumbai.
Key Points
- Prime Minister Narendra Modi is set to inaugurate the Mumbai Trans Harbour Link (MTHL), named Atal Setu, which is the longest sea bridge in India.
- The inauguration ceremony is scheduled to take place in the city of Mumbai on January 12.
- The MTHL, stretching 22 km with six lanes, connects Sewri in Mumbai to Nhava Sheva in Uran taluka in Raigad district.
- This mega infrastructure project, costing ₹18,000 crore, is named after former Prime Minister Atal Bihari Vajpayee.
- The Mumbai Police has issued rules for travel on the MTHL, including a maximum speed limit of 100 kmph for four-wheelers, while motorbikes, autorickshaws, and tractors are not allowed on the sea bridge.
- The bridge aims to significantly streamline travel, allowing motorists to cover the distance between Mumbai and Navi Mumbai in just 20 minutes, a journey that currently takes 2 hours.
52. Which Article of the Indian Constitution states that the State shall endeavor to secure for the citizens a uniform civil code throughout the territory of India?
A. Article 55
B. Article 40
C. Article 52
D. Article 44
Solution
The correct answer is Article 44.
Key Points
- Article 44 of the Indian Constitution states that “the State shall endeavour to secure for the citizens a uniform civil code (UCC) throughout the territory of India.”
- The desirability of a uniform civil code is consistent with human rights and the principles of equality, fairness and justice.
- Uniform Civil Code in India is a widely debated topic lately since the first petition was filed in 2019 to seek for framing of a UCC to promote national integration and gender justice, equality, and dignity of women.
Additional Information
- The Uniform Civil Code (UCC) calls for the formulation of one law for India, which would be applicable to all religious communities in matters such as marriage, divorce, inheritance, adoption.
- The code comes under Article 44 of the Constitution, which lays down that the state shall endeavour to secure a Uniform Civil Code for the citizens throughout the territory of India.
- It is based on the premise that there is no connection between religion and law in modern civilization.
- Article 40
- Organize village panchayats and endow them with necessary powers and authority to enable them to function as units of self-government
- Article 55
- It tells about MANNER OF ELECTION OF PRESIDENT.
- The election of the President shall be held in accordance with the system of proportional representation by means of the single transferable vote and the voting at such election shall be by secret ballot.
- ARTICLE 52: THE PRESIDENT OF INDIA
- There shall be a President of India.
53. Which instruments made in Miraj have received Geographical Indication (GI) tags?
A. Veena and Mridangam
B. Sitar and Tanpura
C. Flute and Tabla
D. Harmonium and Sarod
Solution
The correct answer is Sitar and Tanpura
In News
- Made-in-Miraj sitars and tanpuras received geographical indication (GI) tags, highlighting the unique craftsmanship of string instruments in Miraj.
Key Points
- Craftsmen in Miraj have been renowned for their exceptional sitars and tanpuras for nearly 200 years, contributing to the town’s musical legacy.
- The GI tags were granted on March 30, distinguishing Miraj Musical Instrument Cluster for sitar and Soultune Musical Instrument Producer Company for tanpura.
- Mohsin Mirajkar, head of the Miraj Musical Instrument Cluster, expressed that the GI tags would enhance Miraj’s identity as a “music city” exporting string instruments.
- Mubin Mirajkar, head of Soultune Musical Instrument Producer Company, highlighted the usage of locally available wood and thick-skinned pumpkin gourds from specific areas for crafting the instruments.
- Approximately 25 families of hereditary craftsmen, spanning multiple generations, continue to specialize in making various string musical instruments in Miraj.
- Instruments crafted by Miraj craftsmen include tanpura, sitar, dilruba, sarangi, taus, rudraveena, and surbahar, showcasing the town’s rich musical heritage.
54. In badminton, how high above the ground is the net positioned at the edges?
A. 5.1 feet
B. 5.3 feet
C. 5.2 feet
D. 5.4 feet
Solution
The Correct answer is 5.1 feet.
Key Points
- In badminton, the net is positioned at a height of 5 feet 1 inch (5.1 feet) at the edges and 5 feet at the center.
- The height difference ensures the net remains taut and evenly stretched across its width.
- The standard net height is regulated by the Badminton World Federation (BWF), the global governing body for badminton.
- This standard ensures uniformity in net height across all official matches, both amateur and professional.
- The height of 5.1 feet at the edges and 5 feet at the center is suitable for both singles and doubles matches.
- The dimensions and height of the net are crucial for gameplay as they determine the trajectory of the shuttlecock during rallies.
- The net is usually made of nylon or polyester, with a dark color to ensure visibility against various backgrounds.
- This height specification plays a critical role in ensuring a fair and standardized game, adhering to the principles of sportsmanship and competition rules.
Additional Information
- Badminton World Federation (BWF):
- The BWF is the international governing body for the sport of badminton.
- It was founded in 1934 and is headquartered in Kuala Lumpur, Malaysia.
- The BWF is responsible for organizing major international tournaments like the BWF World Championships and the Thomas & Uber Cups.
- Shuttlecock Trajectory:
- The height of the net influences the flight path of the shuttlecock, requiring players to maintain precision and control during shots.
- The design ensures fair play by challenging the players’ skills in clearing the net during smashes, drops, and lifts.
55. At which position did India finish in the overall medal tally at the 2024 Paris Olympics?
A. 50th
C. 60th
C. 71st
D. 80th
Solution
The correct answer is 71st
In News
- India concluded the 2024 Paris Olympics with a total of 6 medals, finishing 71st in the overall medal tally, a decline from their 48th-place finish at the 2020 Tokyo Olympics.
Key Points
- Despite hopes of achieving double-digit medals, India secured 1 silver and 5 bronze medals, facing several close fourth-place finishes and the disqualification of wrestler Vinesh Phogat from a potential gold medal match.
- Shooter Manu Bhaker opened India’s medal count with a bronze in the women’s 10m air pistol event and added another bronze in the 10m air pistol mixed team event with Sarabjot Singh, becoming the first post-independence Indian athlete to win two medals at the same Olympics.
- Swapnil Kusale won India’s third bronze medal in the men’s 50m rifle three-position event, while the Indian men’s hockey team secured a bronze by defeating Spain, marking their 13th overall Olympic medal in hockey.
- Neeraj Chopra, India’s “golden boy,” secured a silver medal in the men’s javelin throw, although he was unable to defend his 2020 Tokyo Olympics gold medal.
- The final medal for India came from Aman Sehrawat, who won bronze in the men’s 57kg freestyle wrestling event, becoming the youngest Indian to win a medal at the Summer Olympics.
56. According to 2011 Census, among the following states which has the highest population density?
A. Maharashtra
B. Bihar
C. Uttar Pradesh
D. Tamil Nadu
Solution
The correct answer is Bihar.
Key Points
- Bihar has the highest population density according to the 2011 Census data.
- The density is measured in terms of the number of persons per square kilometer.
- Bihar’s population density is 1,106 persons per square kilometer, which is significantly higher than the national average of 382 persons per square kilometer.
- Maharashtra has a population density of 365 persons per square kilometer, Uttar Pradesh has 828 persons per square kilometer, and Tamil Nadu has 555 persons per square kilometer.
- Bihar’s high population density can be attributed to a combination of factors such as high fertility rates, low contraceptive use, and lack of family planning awareness.
- It is worth noting that population density is not the only factor that determines a state’s population growth and development.
- Other factors such as economic growth, urbanization, and social development also play a crucial role.
Additional Information
- Maharashtra is the second most populous state in India and has a population of over 112 million people.
- It is also one of the wealthiest states in the country and contributes significantly to the national GDP.
- Uttar Pradesh is the most populous state in India with a population of over 200 million people.
- It is also one of the poorest states in the country with a low human development index.
- Tamil Nadu is the sixth most populous state in India and has a population of over 72 million people.
- It is a highly urbanized state and has a diverse economy with a strong manufacturing and services sector.
57. Where is Brabourne Stadium is located__________?
A. Delhi
B. Mumbai
C. Guwahati
D. Bangalore
Solution
The correct answer is Mumbai.
Key Points
- The Brabourne Stadium is a cricket ground in Mumbai in Western India.
- The Brabourne Stadium was built on a piece of land reclaimed from the sea which Lord Brabourne, Governor of Bombay, presented to the Cricket Club of India after being tempted with an offer of immortality in the bargain.
- It was officially opened on December 7, 1937, followed by a match between the CCI and Lord Tennyson’s team.
Additional Information
| LOCATION | STADIUM |
| Mumbai | Wankhede StadiumBrabourne Stadium |
| Cuttack | Barabati Stadium |
| Kanpur | Green Park Stadium |
| Hyderabad | Lal Bahadur Shastri Stadium |
| Jaipur | Sawai Mansingh Stadium |
58. Which dancing legend was the youngest recipient of Padma Bhushan in 1992?
A. Anuradha Pandey
B. Sonal Mansingh
C. Uday Shankar
D. Pandit Birju Maharaj
Solution
The correct answer is Sonal Mansingh.
Key Points
- Indian classical dancer Sonal Mansingh is a Bharatanatyam and Odissi dancing style guru.
- After her arangetram in Mumbai in 1962, Sonal Mansingh began her dance career. In 1977, she launched the Centre for Indian Classical Dances (CICD) in New Delhi.
- She has also received the President of India’s nomination to serve as a Rajya Sabha member.
- She received numerous awards, including the Padma Bhushan (1992), Sangeet Natak Akademi Award in 1987, and the Padma Vibhushan, India’s second-highest civilian award, in 2003, making her the second woman dancer in India to receive such an honour after Balasaraswati.
Additional Information
- Mallika Sarabhai:
- Famous Kuchipudi and Bharatnatyam dancer Mallika Sarabhai hails from Ahmedabad, Gujarat. Vikram Sarabhai, a well-known space physicist, and Mrinalini Sarabhai, a well-known dancer, are her parents.
- Yamini Krishnamurthy:
- Indian dancer Yamini Krishnamurthy specializes in Kuchipudi and Bharatanatyam.
She holds the honor of being the Tirumala Tirupati Devasthanam’s Asthana Nartaki (resident dancer). She was also referred to as the “torch bearer” of the Kuchipudi dancing style.
- Indian dancer Yamini Krishnamurthy specializes in Kuchipudi and Bharatanatyam.
- Shovana Narayan:
- Indian Kathak dancer Shovana Narayan is also a career officer for the Indian Audit and Accounts Service. She has received the Padma Shri and performs both domestically and abroad. Birju Maharaj served as her trainer.
59. Which of the following statements is NOT correct about fundamental duties in the Indian Constitution?
A. They are made to value and preserve the rich heritage of our composite culture.
B. They are made to cherish and follow the noble ideals which inspired our national struggle for freedom.
C. They are made to develop the scientific temper, humanism and the spirit of inquiry and reform.
D. They are made justiciable in nature.
Solution
The correct answer is They are made justiciable in nature.
Key Points
- Fundamental Duties
- Part IV-A (Article 51-A) deals with Fundamental Duties.
- This part is added by the 42nd amendment in 1976.
- This feature is borrowed from the USSR Constitution.
- It contains originally 10 duties.
- Now it contains 11 duties after the 86th amendment act, 2002.
- Fundamental Duties are non-justiciable and hence can’t be taken to a court of law.
Additional Information
- List of Fundamental Duties:
- Abide by the Constitution and respect the national flag & National Anthem
- Follow the ideals of the freedom struggle
- Protect the sovereignty, unity and integrity of India
- Defend the country and render national services when called upon
- Promote harmony and spirit of common brotherhood
- Value and preserve the rich heritage of the country’s composite culture
- Protect and improve the natural environment
- Develop scientific temper and humanism
- Safeguard public property
- Strive for excellence
- Duty of all parents/guardians to send their children in the age group of 6-14 years to school.
60. Presence of which phenomenon leads to weakening of trade winds in a region?
A. Coriolis force
B. Mango Shower
C. El Nino
D. La Nina
Solution
The correct answer is El Nino.
Key Points
- El Nino is a phenomenon that leads to weakening of trade winds in a region.
- During El Nino, the sea surface temperatures in the Pacific Ocean near the Equator become warmer than usual, which affects the atmospheric circulation and leads to weakening of trade winds.
- Trade winds are the prevailing easterly winds that blow towards the Equator in the tropics, and they are important for navigation and weather patterns.
Additional Information
- Coriolis force is a phenomenon that influences the direction of winds and ocean currents, but it does not directly lead to weakening of trade winds.
- Mango Shower is a meteorological phenomenon that occurs in some parts of India during the pre-monsoon season, and it is not related to trade winds.
- La Nina is a phenomenon that is opposite to El Nino, and it leads to strengthening of trade winds in a region.
- Hence, the statement “Presence of which phenomenon leads to weakening of trade winds in a region?” is correctly answered by option 3, El Nino.
61. Magha Saaji is celebrated as Makar Sankranti in which of the following states?
A. Madhya Pradesh
B. Gujarat
C. Himachal Pradesh
D. Goa
Solution
The correct answer is Himachal Pradesh.
Key Points
- Himachal Pradesh:
- Locals in Himachal Pradesh observe Magha Saaji as Makar Sankranti.
- Sankranti is known locally as Saaji, and the month is called Magha.
- People visit the temples on this day to seek the Lord’s blessings and take a plunge in the area’s sacred rivers.
Additional Information
| Important Festivals of North East India | |
| State | Festivals |
| Arunachal Pradesh | Boori Boot, Myoko, Dree, Pongtu, Losar, Monpa festival |
| Assam | Ambubachi, Bhogali Bihu, Baishagu, Dehing Patkai |
| Mizoram | Chapcharkut Festival |
| Nagaland | Hornbill festival, Tsukheneye, Sekreny |
| Meghalaya | Nongkrem festival, Khasis festival, Wangla |
| Manipur | Yaoshang, Porag, Chavang Kut |
| Tripura | Kharchi Puja |
62. Which of the following dance forms is also known as the ‘Royal Dance of Ladakh’?
A. Yak dance
B. Koshan dance
C. Jabro dance
D. Shondol dance
Solution
The correct answer is Shondol dance.
Key Points
- Shondol is a famous dance, which used to be performed by artists for the King of Ladakh on a special occasion
- It was organized by the Live to Love India, Drukpa Charitable Trust, and Young Drukpa Association.
- Shondol is a famous dance, which artists used to perform for the king of Ladakh.
Additional Information
- Ladakh became a Union Territory on 31st October 2019.
- The Indian union territory of Ladakh has seven districts, including the five new districts that were recently approved by the Ministry of Home Affairs:
Zanskar, Drass, Sham, Nabra, Changthang, Leh, and Kargil. - It is renowned for its remote mountain beauty and distinct culture.
- With the bifurcation of Jammu and Kashmir into two Union Territories, India has 28 States and 8 UTs.
- Lieutenant Governor of Ladakh, Brig. (Dr.) B. D. Mishra (Retd.), was called on by Chairman/CEC Adv.
63. Dr N Rajam is known for playing the ______.
A. veena
B. guitar
C. violin
D. flute
Solution
The correct answer is Violin.
Key Points
- N. Rajam is an Indian violinist who performs Hindustani classical music.
- She remained a professor of Music at Banaras Hindu University, later she became head of the department and the dean of the Faculty of Performing Arts of the University.
- She was born in 1938.
Important Points
- Famous Indian music instruments player:
| Musical Instrument | Persons |
| Santoor | Pt Shiv Kumar Sharma, Bhajan Sopori |
| Flute | Hari Prasad Chaurasia, Pannalal Ghosh |
| Veena | Zia Mohiuddin Dagar, Ayyagari Syamasundaram, Doraiswamy |
| Saarangi | Shakoor Khan, Pt Ram Narayan |
| Tabla | Zakir Hussain, Allah Rakha, Sabir Khan, Pt. Kishan Maharaj |
| Sitar | Pt Ravi Shankar, Budhaditya Mukherjee |
| Shehnai | Bismillah Khan, Krishna Ram Chaudhary |
| Sarod | Allauddin Khan, Ali Akbar Khan |
64. In the Great Stupa at Sanchi there are _______ gateways known as ‘Toranas’ at the cardinal points to the compass.
A. 4
B. 6
C. 2
D. 8
Solution
The correct answer is 4.
Key Points
- The Great Stupa at Sanchi is one of the oldest stone structures in India and an important Buddhist monument.
- It was originally commissioned by Emperor Ashoka in the 3rd century BCE.
- The stupa has four elaborately carved gateways known as ‘Toranas’ at the cardinal points of the compass.
- These gateways are intricately decorated with sculptures depicting various events of the Buddha’s life and Jataka tales.
- The Toranas symbolize the entrance to a sacred space and are significant in Buddhist architecture.
Additional Information
- Emperor Ashoka:
- A major patron of Buddhism, Ashoka played a critical role in the spread of Buddhism across Asia.
- He erected numerous stupas and pillars inscribed with Buddhist teachings and edicts.
- Stupa:
- A stupa is a dome-shaped structure erected as a Buddhist shrine.
- It typically contains relics of the Buddha or other holy figures and serves as a place of meditation.
- Jataka Tales:
- These are a voluminous body of literature native to India concerning the previous births of Gautama Buddha in both human and animal form.
- The tales are used to convey moral lessons and are important in Buddhist teaching.
- Buddhist Architecture:
- Buddhist architecture includes various structures such as stupas, viharas (monasteries), chaityas (prayer halls), and temples.
- These structures are designed to support the practice and teachings of Buddhism.
65. Roshan Kumari is an exponent of which Indian classical dance form?
A. Kathak
B. Odissi
C. Bharatanatyam
D. Kathakali
Solution
The correct answer is Kathak.
Key Points
- Indian classical dancer, actor, and choreographer Roshan Kumari is from India.
- She is regarded by many as one of the most prominent performers of the Kathak Indian classical dance style.
- She is a Jaipur Gharana devotee.
- She is the creator of Mumbai’s Nritya Kala Kendra, an institute devoted to developing Kathak.
Additional Information
- Odissi:
- The important ancient dance known as odissi was created in the temples of the Indian state of Odisha, which located on the country’s east coast.
- Bharatanatyam:
- A significant type of Indian classical dance that has its roots in Tamil Nadu is bharatanatyam.
- Kathakali:
- A significant type of classical Indian dance is kathakali.
- It belongs to the “story play” art form.
66. Direction: Choose the most appropriate meaning of the underlined phrase.
Many analysts are tipping stable, blue-chip companies to weather the storm.
A. to deal with a simple situation without being harmed
B. to deal with a situation without thinking
C. to deal with a difficult situation without being harmed
D. to deal with a simple situation without harming anyone else
Solution
The correct answer is “to deal with a difficult situation without being harmed.”
Key Points
- The phrase “to weather the storm” is an idiomatic expression that means to endure a difficult or challenging situation, often a metaphorical one, with resilience and perseverance. (किसी कठिन या चुनौतीपूर्ण स्थिति को, अक्सर एक रूपक के रूप में, लचीलेपन और दृढ़ता के साथ सहना)
- It implies successfully navigating through tough times, facing adversity, or overcoming obstacles.
- Example: Despite facing numerous financial challenges, the small business managed to weather the storm.
- Therefore, the correct answer is Option 3.
67. Which part of the given sentence has an error ?
Little effort (A)\ has been done (B)\ to solve (C)\ the problem.(D)
A. Little effort
B. has been done
C. to solve
D. the problem
Solution
The correct answer is has been done.
Key Points
- In the given statement the error is in part B of the sentence as efforts are made and not done.
- In part b, done should be replaced by made.
Thus, the correct sentence will be: Little effort has been made to solve the problem.
68. Select the most appropriate option to substitute the underlined segment in the given sentence. If there is no need to substitute it, select ‘No substitution’.
The mother is slept while the child was playing.
A. is asleep
B. No substitution
C. was asleep
D. was slept
Solution
The correct answer is option 3) i.e. ‘was asleep’.
Key Points
- The sentence is written in past tense as indicated by the phrase “the child was playing”.
- When we construct sentences, the verb tenses should be consistent throughout especially when the actions or states being described are happening concurrently.
- In the given sentence, the mother’s sleeping and the child’s playing are happening at the same time, so the verbs describing these actions should be in the same tense.
- So the verb phrase describing the mother’s state should also be in the past tense.
- Thus, the correct substitution would be ‘was asleep’ .
- Therefore, the correct answer is Option 3.
Correct sentence – The mother was asleep while the child was playing.
69. Select the most appropriate word for the given group of words.
arrange for something to take place at a time later than that first scheduled
A. cancel
B. stop
C. postpone
D. withdraw
Solution
The correct answer is Option 3.
Key Points
- Postpone means to delay an event from its scheduled time.
- Eg. The meeting was postponed by the authorities.
Thus, Postpone can substitute the given group of words.
70. Choose the part of the following sentences that is grammatically incorrect :
Summer is a hot season but summer of last year was very hot.
A. Summer is a hot season
B. but summer
C. of last year
D. was very hot.
Solution
The correct answer is “but summer.”
Key Points
- In the given sentence, the “summer” when used for the first time is used in a general sense. Hence, it will not take an article before it.
- But, the “summer” used for the second time is specified as the summer of the last season.
- Thus, we will use the definite article “the” before “summer” in the sentence.
- The definite article (the) is used before a noun to indicate that the identity of the noun is known to the reader.
- Example: The apple you gave me was juicy and delicious.
- The correct sentence: Summer is a hot season but the summer of last year was very hot.
Hence, the correct answer is option 2.
71. In the following question, four words are given out of which only one word is correctly spelt. Select the correctly spelt word.
A. Insuniate
B. Insinuate
C. Insiniate
D. Insunuate
Solution
The correct spelling among the above given options is ‘Insinuate‘.
Insinuate means to suggest or hint (something bad) in an indirect and unpleasant way.
Hence, option 2 is correct.
72. Directions: Select the wrongly spelt word.
A. Beleive
B. Ascetic
C. Aquatic
D. Aptitude
Solution
The correct answer is Beleive.
Key Points
- Let usexplore the options:-
- ‘Ascetic’ means a person who follows an ascetic life.
- ‘Beleive’: There is no such word in English or we can say that there is some spelling mistake in this word.
- The correct spelling is ‘Believe‘ and it means accept that (something) is true, especially without proof.
- ‘Aquatic’ means relating to water.
- ‘Aptitude’ means a natural ability to do something.
Hence, the wrongly spelt word is Beleive.
Additional Information
- Example of ‘Believe’ in a sentence:-
- The superintendent believed Lancaster’s story.

- आइए हमविकल्पों कापता लगाएं : –
- ‘Ascetic’ का अर्थ है, वह व्यक्ति जो तपस्वी जीवन का अनुसरण करता है।
- ‘Beleive’ : अंग्रेजी में ऐसा कोई शब्द नहीं है या हम कह सकते हैं कि इस शब्द में कुछ वर्तनी की गलती है।
- सही वर्तनी ‘ Believe ‘ है और इसका मतलब है कि स्वीकार करें (कुछ) सच है, विशेष रूप से सबूत के बिना।
- ‘Aquatic’ का अर्थ है पानी से संबंधित।
- ‘Aptitude’ ’का मतलब है कुछ करने की स्वाभाविक क्षमता।
इसलिए, गलत वर्तनी वाला शब्द Beleive है।
73. Directions : Each question in this section has three parts (a), (b) and (c). Find out whether there is any error in any part and mark your responses accordingly.
Everybody, (a) / it must be admitted (b) / has their ups and downs (c) / no error (d)
A. a
B. b
C. c
D. d
Solution
The correct answer is “c“.
Key Points
- The sentence “Everybody, it must be admitted, has their ups and downs” contains an error in part (c) regarding agreement in number between the pronoun and the antecedent.
- The antecedent “everybody” is an indefinite pronoun that is always singular, even though it seems to refer to more than one person.
- Therefore, the correct pronoun to refer to “everybody” should also be singular.
- The correct sentence should be: “Everybody, it must be admitted, has his or her ups and downs.”
- Hence, the correct answer will be Option 3.
Mistake Points
- Please note that in recent years, it has become more accepted in informal and even some formal writing to use “their” as a singular pronoun, especially as a way to avoid gendered language.
- However, for strict grammatical purposes and in formal writing, it’s still often recommended to use “his or her.”
74. Directions: Select the most appropriate meaning of the underlined idiom in the given sentence.
The eradication of coronavirus is still a far cry.
A. very fast
B. very near
C. very easy
D. very distant
Solution
The correct answer is ‘very distant.‘
Key Points
- Underlined Idiom: A far cry means a long distance away from something or very distant. (किसी चीज से बहुत दूर या बहुत दूर)
- Example: Stuck at the airport in Delhi, a far cry from Cochin.
- From the given options, the fourth option is the most appropriate meaning of the given idiom.
- The option ‘very distant’ means a long way away in space or time. (स्थान या समय की दृष्टि से काफ़ी दूर)
Hence, the correct answer is option 4.
Mistake Points
- We may think from the phrase “A far cry” that it is all about someone crying somewhere.
Additional Information
- This expression is believed to have its source in measuring one’s distance from an enemy in terms of shouting. Sir Walter Scott indicated (The Legend of Montrose, 1819) that it was a proverbial expression of the Campbell clan, which meant that their ancient hereditary domains lay beyond the reach of invaders.
75. Direction: Select the segment of the sentence that contains the grammatical error. If there is no error, mark ‘No error’ as your answer.
Since she talks politely with everyone, (A)/ therefore she is liked (B)/ by all her students. (C)/ No error (D)
A. A
B. B
C. C
D. D
Solution
The correct answer is B.
Key Points
- A conjunction is a word that is used for joining other words, phrases or sentences.
- Correlative conjunctions are pairs of words that connect two parts of a sentence that have an equal value or correlate with each other.
- Examples: too…to, neither…nor, hardly…when, no sooner…than, etc.
- The conjunctions ‘since’, ‘because’ and ‘as’ are subordinating conjunctions and are not paired with therefore/thus/hence/so/then.
- Example: As they were already late, they decided to go by car.
Since he couldn’t meet their expectation, he had to leave the job.
- Example: As they were already late, they decided to go by car.
- So, ‘therefore’ should be omitted from part B of the given sentence.
Correct sentence: Since she talks politely with everyone, she is liked by all her students.
Additional Information
- A subordinating conjunction joins a subordinate clause to the main clause.
- The conjunctions ‘since’, ‘because’ and ‘as’ denote a cause.

- एक conjunction एक शब्द है जो अन्य शब्दों, वाक्यांशों या वाक्यों को जोड़ने के लिए उपयोग किया जाता है।
- Correlative conjunctions ऐसे शब्दों के जोड़े हैं जो एक वाक्य के दो हिस्सों को जोड़ते हैं जिनका एक समान मूल्य होता है या एक दूसरे के साथ सहसंबंधित होता है।
- उदाहरण: too…to, neither…nor, hardly…when, no sooner…than, etc.
- ‘Because’, ‘since’ और ‘as’ subordinating conjunction होते हैं और therefore/thus/hence/so/then के साथ युग्मित नहीं होते हैं।
- उदाहरण: As they were already late, they decided to go by car.
Since he couldn’t meet their expectation, he had to leave the job.
- उदाहरण: As they were already late, they decided to go by car.
- इसलिए, ‘therefore’ को दिए गए वाक्य के भाग B से छोड़ दिया जाना चाहिए।
76. Direction: Select the most appropriate meaning of the given idiom.
All in one piece
A. Suddenly
B. Without damage
C. Early
D. The whole day
Solution
The correct answer is ‘Without damage.’
Key Points
- The meaning of the idiom ‘All in one piece‘ is without being hurt or damaged.
- Idiom ‘All in one piece‘ का अर्थ है चोट या क्षतिग्रस्त हुए बिना।
- Example: It was a difficult trip, but we all made it home in one piece.
- Therefore, the most appropriate meaning of the given idiom is “without damage.”
- Thus, the correct answer is Option 2.
Additional Information
- Let us see the meanings of the given idioms:
- Bite the bullet: decide to do something difficult or unpleasant that one has been putting off or hesitating over.
- Call it a day: Stop working on something.
77. Select the most appropriate option to fill in the blank.
The latest ______ I have bought is a dishwasher.
A. gadget
B. apparatus
C. tool
D. implement
Solution
The correct answer is “gadget“
Key Points
- Let’s look at the meaning of the given words.
- gadget: a small mechanical or electronic device or tool, especially an ingenious or novel one.
- apparatus: the technical equipment or machinery needed for a particular activity or purpose.
- tool: a device or implement, especially one held in the hand, used to carry out a particular function.
- implement: a tool, utensil, or another piece of equipment that is used for a particular purpose.
- In the given sentence, the speaker is referring to the dishwasher which is an electronic device.
- Hence, the correct answer is option 1.
The complete sentence is: The latest gadget I have bought is a dishwasher.
78. Direction: Select the segment of the sentence that contains the grammatical error. If there is no error, mark ‘No error’ as your answer.
Both her mother as well as her father (A)/ always supported her (B)/ in whatever she did. (C)/ No error (D)
A. A
B. B
C. C
D. D
Solution
The correct answer is A.
Key Points
- A conjunction is a word that is used for joining other words, phrases or sentences.
- Correlative conjunctions are pairs of words that connect two parts of a sentence that have an equal value or correlate with each other.
- Examples: too…to, neither…nor, hardly…when, no sooner…than, etc.
- We must use the correct pair of correlatives.
- The correct pair is ‘both…and’ and not ‘both…as well as’.
- Example: Both Peter and his wife are contesting the upcoming elections.
- So, in the given sentence, ‘as well as’ should be replaced with ‘and’ to make it grammatically correct.
Correct sentence: Both her mother and her father always supported her in whatever she did.
Additional Information
- ‘As well as’ is a coordinating conjunction that connects two nouns, pronoun, etc.
- Example: Daily exercises make you healthy as well as active.
Hinglish
- एक conjunction एक शब्द है जो अन्य शब्दों, वाक्यांशों या वाक्यों को जोड़ने के लिए उपयोग किया जाता है।
- Correlative conjunctions ऐसे शब्दों के जोड़े हैं जो एक वाक्य के दो हिस्सों को जोड़ते हैं जिनका एक समान मूल्य होता है या एक दूसरे के साथ सहसंबंधित होता है।
- उदाहरण: too…to, neither…nor, hardly…when, no sooner…than, etc.
- हमें correlatives की सही जोड़ी का उपयोग करना चाहिए।
- सही जोड़ी है ‘both…and’ ना कि ‘both…as well as’।
- उदाहरण: पीटर और उनकी पत्नी दोनों आगामी चुनाव लड़ रहे हैं।
- तो, दिए गए वाक्य में, ‘as well as’ को ‘and’ से बदल दिया जाना चाहिए।
79. In the following question, the sentence is given with a blank to be filled in with an appropriate word. Select the correct alternative out of the four and indicate it by selecting the appropriate option.
He was __________ his friend when he saw me.
A. in
B. on
C. with
D. over
Solution
The correct answer is ‘with’.
Key Points
- The above sentence is an example of a preposition.
- A preposition is a word used to link nouns, pronouns, or phrases to other words within a sentence.
- As per the general rule, the preposition ‘with‘ is used to say that people or things are in a place together or are doing something together.
- When talking about position, ‘with’ is used to indicate being together or being involved.
- Example:
- He lives with his grandmother. (correct)
- He lives in/on his grandmother. (incorrect)
- According to the explanation and example that are given above, ‘with’ is the correct choice for the given blank.
Correct sentence: He was with his friend when he saw me.
80. Choose the correct option:
A place where bees and their hives are kept is called:
A. apiary
B. aviculture
C. aviary
D. aviator
Solution
The correct answer is apiary.
Key Points
- Apiary: a place where bees are kept; especially : a collection of hives or colonies of bees kept for their honey.
Thus, option 1 is the correct answer choice.
Confusion Points
- Aviary: a place for keeping birds confined
81. Fill in the blank with appropriate verb in agreement with its subject.
John and Lee ______ to go to the films.
A. like
B. have like
C. likes
D. are liking
Solution
The correct answer is – “like”
Key Points
- From the given option, the most appropriate answer is ‘like”.
- When two nouns are joined by ‘and’ it will take plural verb after it as here John and lee are two different persons.
- Option 2 doesn’t make any correct structure of any tense. So, it is incorrect option.
- Option 3 likes is a singular verb. So it will make an error in the sentence.
- Option 4 can be used only the event is going on while speaking and it is not the case in the given question.
Correct Sentence: John and Lee like to go to the films.
82. Choose the most appropriate synonym of the given word.
Definite
A. regularity
B. rule
C. richness
D. certain
Solution
The correct answer is ‘certain‘.
Key Points
- Definite mean determined; not vague or general.( निश्चित, स्पष्ट, निश्चयवाचक)
- For example:- We’ll need a definite answer by Tuesday.
- Certain means able to be firmly relied on to happen or be the case; specific but not explicitly named or stated.(खास, किसी, विश्वसनीय)
- For example:- I feel certain (that) you’re doing the right thing.
Hence, certain is similar in meaning to the word definite.
Additional Information
- The meaning of the other given words are as follows:-
- Regularity– the state or quality of being regular.( नियमितता)
- Rule– one of a set of explicit or understood regulations or principles governing conduct or procedure within a particular area of activity.( नियम)
- Richness– the state of existing in or containing plentiful quantities of something desirable.( प्राचुर्य)
83. Select the most appropriate option to substitute the underline segment in the given sentence.
It was apparent that the girl was heading into a serious disaster.
A. heading along
B. heading for
C. heading down
D. heading out
Solution
The correct answer is: heading for
Key Points
- Replace ‘heading into’ with ‘heading for’ to make the sentence correct.
- We use ‘for’ to talk about a purpose or a reason for something.
- If someone is ‘heading for’ something, it is likely to happen to them soon.
- Example – It appears that the rebels are heading for victory.
- We use ‘into’ in a sentence to move or guide someone or something into some place or thing.
Therefore, the most appropriate option is option 2.
Corrected sentence: It was apparent that the girl was heading for a serious disaster.
Additional Information
- Along refers to moving in a constant direction on a road, path, or any more or less horizontal surface.
- ‘Heading down’ or ‘Going down’ refers to proceeding or going to some specific destination or event.
- ‘Heading out’ is often used in reference to a planned departure or as a way to announce one’s exit.
84. Select the most appropriate option to substitute the underlined segment in the given sentence. If there is no need to substitute it, select No Improvement.
My favourite novelist in all was Charles Dickens, who really left his mark on me.
A. No improvement
B. My favourite novelist of all
C. My favourite novelist between all
D. My favourite novelist at all
Solution
The correct answer is option 2) i.e. My favourite novelist of all.
Explanation:
- Let us explore the options:
- The preposition ‘in‘ is used for showing where someone or something is. The prepositional phrase “in all” means in total number; altogether.
- The preposition ‘of‘ is used for concerning or showing someone or something. The prepositional phrase “of all” is used for denoting the least likely or expected.
- The preposition ‘between‘ is used for stating which two people or things are similar or different.
- The prepositional phrase “at all” (used for emphasis) in any way; to any extent.
- From the context of the sentence, the preposition ‘of’ should be used in place of ‘in’.
- Hence, the option “My favourite novelist of all” is correct.
Extra- Bites-
- A preposition is a word governing, and usually preceding, a noun or pronoun and expressing a relation to another word or element in the clause.
Correct Sentence: My favourite novelist of all was Charles Dickens, who really left his mark on me.
85. Fill in the blanks with suitable Article from the given alternatives.
In April last year, _______ Reserve Bank of India issued a directive on Storage of Payment System Data.
A. No Article
B. an
C. a
D. the
Solution
The correct answer is – “The”.
Key Points
- From the given option, the most appropriate answer is “The”.
- Definite Article “The” is used before specific and Particular nouns that are already known.
- For eg. The Sun rises in the east.
- The Persian gulf, The USA , etc.
- The given sentence is talking about Reserve Bank of India (RBI) that is known in our India, so it take Article “The” before it.
- Indefinite article “A” and “An” is used before singular unspecific nouns.
- For eg. – This is a table.
She is an excellent student.
Correct Sentence: In April last year, the Reserve Bank of India issued a directive on Storage of Payment System Data.
86. In the following passage, some words have been deleted. Read the passage carefully and select the most appropriate option to fill in each blank.
The ancient Egyptians (1) _________ pyramids as tombs for their pharaohs. These colossal structures served as monuments and (2) __________ constructed with limestone and granite. The main purpose of the pyramids (3) _________ to safeguard the pharaoh’s body and possessions in the afterlife. The (4) _________ famous pyramid, the Great Pyramid of Giza, is a testament to the architectural brilliance (5) __________ the ancient Egyptians.
Question:
Select the most appropriate option to fill in blank no. 1.
A. make
B. built
C. construct
D. structure
Solution
The correct answer is ‘built‘.
Key Points
- The passage describes a historical activity performed by the ancient Egyptians regarding pyramid construction.
- The verb form needed here is the simple past tense because it refers to a completed action in history.
- “Built” is the correct past tense verb indicating the construction of something in the past.
- Other options like “make“, “construct“, and “structure” do not fit the grammatical and contextual requirement. “Make” is present tense, “construct” is the base form, and “structure” is a noun.
Therefore, the correct answer is ‘Option 2‘.
Complete Passage: The ancient Egyptians built pyramids as tombs for their pharaohs. These colossal structures served as monuments and were constructed with limestone and granite. The main purpose of the pyramids was to safeguard the pharaoh’s body and possessions in the afterlife. The most famous pyramid, the Great Pyramid of Giza, is a testament to the architectural brilliance of the ancient Egyptians.
Additional Information
- Make: A present tense verb that does not fit the past narrative.
- Construct: The base form of the verb; incorrect without proper tense adjustment.
- Structure: A noun, not a verb, thus grammatically inappropriate here.
Was the solution helpful?YesNoPrevious
87. In the following passage, some words have been deleted. Read the passage carefully and select the most appropriate option to fill in each blank.
The ancient Egyptians (1) _________ pyramids as tombs for their pharaohs. These colossal structures served as monuments and (2) __________ constructed with limestone and granite. The main purpose of the pyramids (3) _________ to safeguard the pharaoh’s body and possessions in the afterlife. The (4) _________ famous pyramid, the Great Pyramid of Giza, is a testament to the architectural brilliance (5) __________ the ancient Egyptians.
Question:
Select the most appropriate option to fill in blank no. 2.
A. had been
B. were
C. is
D. was
Solution
The correct answer is ‘were‘.
Key Points
- The passage is written in the past tense, describing historical facts about the construction of pyramids by ancient Egyptians.
- The word “constructed” in the passive voice requires a helping verb in the past tense to agree with the subject “structures“, which is plural.
- “Were” is the correct past tense helping verb for plural subjects in passive voice sentences.
- Other options do not fit: “had been” suggests a past perfect tense unnecessarily complicating the sentence, “is” and “was” are singular or present tense, making them grammatically incorrect here.
Therefore, the correct answer is ‘Option 2‘.
Complete Passage: The ancient Egyptians built pyramids as tombs for their pharaohs. These colossal structures served as monuments and were constructed with limestone and granite. The main purpose of the pyramids was to safeguard the pharaoh’s body and possessions in the afterlife. The most famous pyramid, the Great Pyramid of Giza, is a testament to the architectural brilliance of the ancient Egyptians.
Additional Information
- Had been: Past perfect tense, not needed as no two past events are being compared.
- Is: Present tense, inconsistent with the passage’s past narration.
- Was: Singular past tense, incorrect for the plural subject “structures.”
Was the solution helpful?YesNoPrevious
88. In the following passage, some words have been deleted. Read the passage carefully and select the most appropriate option to fill in each blank.
The ancient Egyptians (1) _________ pyramids as tombs for their pharaohs. These colossal structures served as monuments and (2) __________ constructed with limestone and granite. The main purpose of the pyramids (3) _________ to safeguard the pharaoh’s body and possessions in the afterlife. The (4) _________ famous pyramid, the Great Pyramid of Giza, is a testament to the architectural brilliance (5) __________ the ancient Egyptians.
Question:
Select the most appropriate option to fill in blank no. 3.
A. is
B.was
C. are
D. were
Solution
The correct answer is ‘was‘.
Key Points
- The passage describes historical facts about the pyramids, so the past tense is appropriate.
- The subject “purpose” is singular, so the verb should also be singular.
- “Was” is the singular past tense form of the verb “to be,” correctly matching the singular subject “purpose” and maintaining the past narrative of the passage.
- Other options do not fit: “is” and “are” are present tense, and “were” is plural past tense, all inconsistent with the singular noun and past context.
Therefore, the correct answer is ‘Option 2‘.
Complete Passage: The ancient Egyptians built pyramids as tombs for their pharaohs. These colossal structures served as monuments and were constructed with limestone and granite. The main purpose of the pyramids was to safeguard the pharaoh’s body and possessions in the afterlife. The most famous pyramid, the Great Pyramid of Giza, is a testament to the architectural brilliance of the ancient Egyptians.
Additional Information
- Is: Incorrect as it is present tense, while the passage refers to historical context.
- Are: Incorrect because “purpose” is singular and the passage is in past tense.
- Were: Incorrect as it is plural past tense, while “purpose” is singular.
Was the solution helpful?YesNoPrevious
89. In the following passage, some words have been deleted. Read the passage carefully and select the most appropriate option to fill in each blank.
The ancient Egyptians (1) _________ pyramids as tombs for their pharaohs. These colossal structures served as monuments and (2) __________ constructed with limestone and granite. The main purpose of the pyramids (3) _________ to safeguard the pharaoh’s body and possessions in the afterlife. The (4) _________ famous pyramid, the Great Pyramid of Giza, is a testament to the architectural brilliance (5) __________ the ancient Egyptians.
Question:
Select the most appropriate option to fill in blank no. 4.
A. little
B. most
C. least
D. very
Solution
The correct answer is ‘most‘.
Key Points
- The blank describes the degree of fame of the pyramid, and the Great Pyramid of Giza is recognized as the most famous of all pyramids.
- “Most” is the superlative form used to highlight the highest degree of a quality, in this case, fame.
- Other options do not fit logically: “little” and “least” imply minimal fame, and “very” would be grammatically awkward without an adjective following it (e.g., “very famous”).
- Thus, “the most famous pyramid” correctly refers to the Great Pyramid of Giza.
Therefore, the correct answer is ‘Option 2‘.
Complete Passage: The ancient Egyptians built pyramids as tombs for their pharaohs. These colossal structures served as monuments and were constructed with limestone and granite. The main purpose of the pyramids was to safeguard the pharaoh’s body and possessions in the afterlife. The most famous pyramid, the Great Pyramid of Giza, is a testament to the architectural brilliance of the ancient Egyptians.
Additional Information
- Little: Implies a small degree, incorrect in context.
- Least: Superlative of little, meaning the smallest amount; opposite of what is meant.
- Very: An intensifier that requires an adjective (“very famous”), but the structure here needs a determiner and superlative (“the most famous”).
Was the solution helpful?YesNoPrevious
90. In the following passage, some words have been deleted. Read the passage carefully and select the most appropriate option to fill in each blank.
The ancient Egyptians (1) _________ pyramids as tombs for their pharaohs. These colossal structures served as monuments and (2) __________ constructed with limestone and granite. The main purpose of the pyramids (3) _________ to safeguard the pharaoh’s body and possessions in the afterlife. The (4) _________ famous pyramid, the Great Pyramid of Giza, is a testament to the architectural brilliance (5) __________ the ancient Egyptians.
Question:
Select the most appropriate option to fill in blank no. 5.
A. on
B. off
C. in
D. of
Solution
The correct answer is ‘of‘.
Key Points
- The phrase “the brilliance of the ancient Egyptians” is a possessive expression indicating that the brilliance belongs to the ancient Egyptians.
- “Of” is the correct preposition to show possession or association.
- Other options do not fit:
- On: Refers to position or surface, not appropriate here.
- Off: Indicates separation or removal, which does not fit the context.
- In: Refers to location, which is incorrect when describing possession or origin of brilliance.
- The phrase “architectural brilliance of the ancient Egyptians” means the architectural excellence displayed by them.
Therefore, the correct answer is ‘Option 4‘.
Complete Passage: The ancient Egyptians built pyramids as tombs for their pharaohs. These colossal structures served as monuments and were constructed with limestone and granite. The main purpose of the pyramids was to safeguard the pharaoh’s body and possessions in the afterlife. The most famous pyramid, the Great Pyramid of Giza, is a testament to the architectural brilliance of the ancient Egyptians.
Additional Information
- “Of” is commonly used to show ownership, origin, or association, making it the correct choice here.
- Examples: “the beauty of nature,” “the wisdom of the philosophers.”
